A Simple Criterion for Estimating the Grid Level of Detail for RANS Methods
- Autores: Gavrilov A.A.1, Dekterev A.A.2, Shebelev A.V.3
-
Afiliações:
- Kutateladze Institute of Thermophysics, Siberian Branch of the Russian Academy of Sciences
- Kutateladze Institute of Thermophysics, Siberian Branch of the Russian Academy of Sciencesж Siberian Federal University
- Siberian Federal University
- Edição: Volume 63, Nº 4 (2023)
- Páginas: 533-547
- Seção: General numerical methods
- URL: https://journals.rcsi.science/0044-4669/article/view/136152
- DOI: https://doi.org/10.31857/S0044466923040087
- EDN: https://elibrary.ru/IPEKCA
- ID: 136152
Citar
Texto integral
Resumo
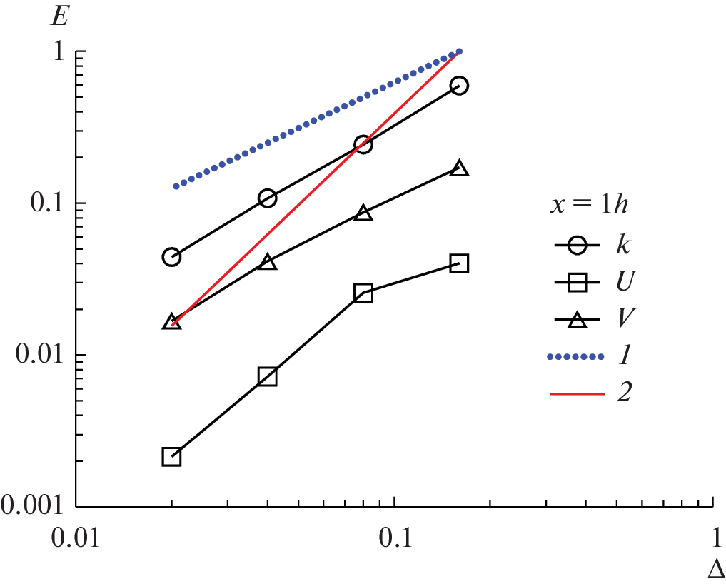
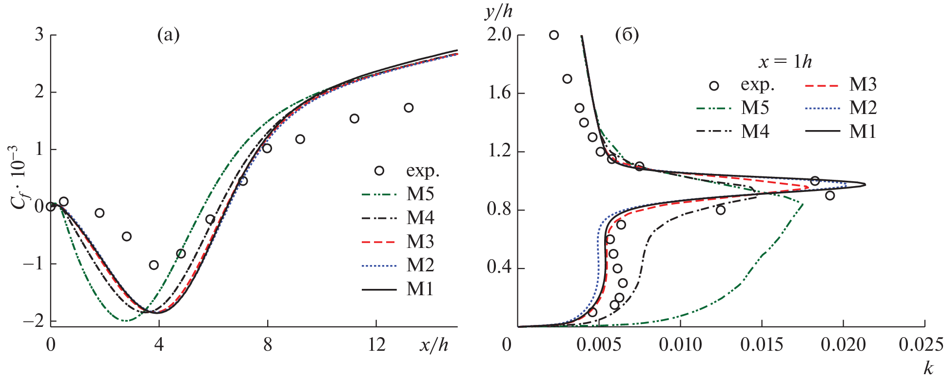
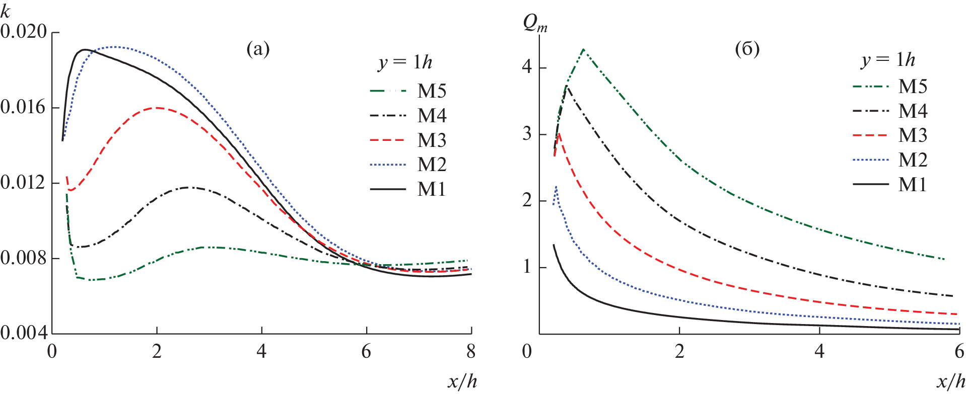
A simple criterion for evaluating the grid resolution needed to obtain a grid-independent solution of turbulent flow problems in the framework of statistical approach to turbulence simulation is proposed. The criterion is derived on the basis of an a posteriori estimate of the local interpolation error of the field of turbulent kinetic energy. A good resolution should ensure a small local interpolation error of the discrete turbulent kinetic energy. The equation for the transport of turbulent kinetic energy and realizability conditions for the turbulent stress tensor made it possible to reduce the estimation of relative interpolation error to an explicit formula for the estimate of the maximal grid step required for obtaining a grid-independent solution. The proposed criterion is applied to a steady problem for a flow past a backward facing step and to the problem of unsteady flow around a half-circular profile arranged at a zero angle of attack for the Reynolds number Re = 45 000. A numerical study showed that the proposed criterion gives a good estimate of the grid resolution required for obtaining a grid-independent solution away from a wall. This criterion can be used both for estimating the grid independence of the solution and for adapting the computation grid.
Sobre autores
A. Gavrilov
Kutateladze Institute of Thermophysics, Siberian Branch of the Russian Academy of Sciences
Email: gavand@yandex.ru
630090, Novosibirsk, Russia
A. Dekterev
Kutateladze Institute of Thermophysics, Siberian Branch of the Russian Academy of Sciencesж Siberian Federal University
Email: dekterev@mail.ru
630090, Novosibirsk, Russiaж 660041, Krasnoyarsk, Russia
A. Shebelev
Siberian Federal University
Autor responsável pela correspondência
Email: aleksandr-shebelev@mail.ru
660041, Krasnoyarsk, Russia
Bibliografia
- Oberkampf W.L., Roy C.J. Verification and Validation in Scientific Computing, Cambridge Univ. Press, 2010.
- Habashi W.G., Dompierre J., Bourgault Y., Ait-Ali-Yahia D., Fortin M., Vallet M.G. Anisotropic mesh adaptation: towards user-independent, mesh-independent and solver-independent CFD. Part 1: general principles // Inter. J. Numer. Meth. Fluid. 2000. V. 32. P. 725–744.
- Pope S.B. Turbulent Flows. Cambridge Univ. Press, 2000.
- Picano F., Hanjalić K. Leray-α Regularization of the Smagorinsky-Closed Filtered Equations for Turbulent Jets at High Reynolds Numbers // Flow Turbulence Combust. 2012. V. 89. P. 627–650.
- Isaev S.A., Baranov P.A., Zhukova Yu.V., Usachov A.E., Kharchenko V.B. Correction of the shear-stress-transfer model with account of the curvature of streamlines in calculating separated flows of an incompressible viscous fluid // J. Engineer. Phys. Thermophys. 2014. V. 87. № 4. P. 1002.
- Hanjalić K., Popovac M., Hadžiabdić M. A robust near-wall elliptic relaxation eddy viscosity turbulence model for CFD // Inter. J. Heat Fluid Flow. 2004. V. 25. № 6. P. 1047–1051.
- Дектерев А.А., Гаврилов А.А., Минаков А.В. Современные возможности СFD кода SigmaFlow для решения теплофизических задач // Современная наука: исследования, идеи, результаты, технологии. 2010. Т. 2. Вып. 4. С. 117–122.
- Wilcox D.C. Turbulence Modeling for CFD. DCW Industries, Inc., La Canada, CA, 1993.
- Driver D.M., Seegmiller H.L. Features of Reattaching Turbulent Shear Layer in Divergent Channel Flow // AIAA J. 1985. V. 23. № 2. P. 163–171.
- Isaev S., Baranov P., Popov I., Sudakov A., Usachov A., Guvernyuk S., Sinyavin A., Chulyunin A., Mazo A., Demidov D., Dekterev A., Gavrilov A., Shebelev A. Numerical simulation and experiments on turbulent air flow around the semi-circular profile at zero angle of attack and moderate Reynolds number // Comput. Fluid. 2019. V. 188. P. 1–17. https://doi.org/10.1016/j.compfluid.2019.03.013
Arquivos suplementares














