Synthesis of copper(II) oxide nanoparticles by anion-exchange resin precipitation and production of their stable hydrosols
- Authors: Pavlikov A.Y.1, Saikova S.V.1,2, Samoilo A.S.1, Karpov D.V.1,2, Novikova S.A.2
-
Affiliations:
- Siberian Federal University
- Institute of Chemistry and Chemical Engineering, Krasnoyarsk Scientific Center (Federal Research Center), Siberian Branch of the Russian Academy of Sciences
- Issue: Vol 69, No 2 (2024)
- Pages: 245-257
- Section: НЕОРГАНИЧЕСКИЕ МАТЕРИАЛЫ И НАНОМАТЕРИАЛЫ
- URL: https://journals.rcsi.science/0044-457X/article/view/260714
- DOI: https://doi.org/10.31857/S0044457X24020121
- EDN: https://elibrary.ru/ZHCQGT
- ID: 260714
Cite item
Full Text
Abstract
Copper (II) oxide nanoparticles are promising materials for applications in catalysis, biomedicine and photovoltaics. It is also possible to use them for the preparation of nanocomposites and hybrid nanoparticles. This work presents a new method for the synthesis of CuO nanoparticles, which allows their one-step preparation without washing and heating. The proposed anion-exchange deposition method is simple, fast and easily reproducible under normal laboratory conditions. It is shown that anion-exchange precipitation of copper in the presence of the polysaccharide dextran-40 from copper chloride and sulphate solutions produces well crystallised hydroxychloride Cu2Cl(OH)3 and hydroxysulphate Cu4(SO4)(OH)6, respectively, and from copper nitrate a weakly crystallised Cu(OH)2 phase. In the absence of polysaccharide, copper oxide nanoparticles are formed irrespective of the nature of the anion of the parent salt. The obtained materials were used to obtain hydrosols with high aggregation and sedimentation stability over a wide pH range (from 5 to 11). These sols are stable for more than 3 months at a concentration of 2 g/l (the average hydrodynamic diameter of the particles is 245 nm; the average ζ-potential is -31.1 mV). Based on the study of the optical and electronic properties of the obtained hydrosols, it was found that they could be of interest for photocatalysis and application in optoelectronic devices.
Full Text
ВВЕДЕНИЕ
Оксид меди(II) является многофункциональным полупроводниковым материалом p-типа с относительно невысокой величиной запрещенной зоны (2.0–2.2 эВ). Небольшая энергия возбуждения валентных электронов в зоне проводимости, многообразие степеней окисления меди, дешевизна и нетоксичность CuO обеспечивают интерес к этому материалу и позволяют использовать его во многих областях науки и техники: в катализе [1], фотокатализе [2], биомедицине [3] , электронике [4], для создания газовых сенсоров [5], а также для получения нанокомпозитов и гибридных наночастиц [6, 7].
В последнее время появляются сообщения о получении двумерного (2D) оксида меди(II), который может быть использован для создания суперконденсаторов: в двумерном состоянии CuO обладает большой удельной поверхностью из-за более высокого аспектного отношения поверхности к объему и содержит большое количество активных центров для поглощения и хранения заряда. Также 2D-CuO может быть использован и в качестве шаблона для выращивания различных наноструктур с целью изготовления функциональных нанокомпозитов с настраиваемыми свойствами [8–10].
Наноразмерный оксид меди(II) представляет особый интерес для фотовольтаики в качестве замены неэкологичным и токсичным квантовым точкам на основе халькогенидов свинца и кадмия, а возможность допирования его другими металлами (цинк, никель и др.) позволяет варьировать ширину запрещенной зоны с целью достижения максимальной эффективности [11]. В то же время изготовление солнечных ячеек на основе наночастиц (НЧ) предполагает их равномерное нанесение на подложку, что в ряде случаев оказывается затруднительным из-за их агломерации. Образование агломератов и последующая седиментация – нежелательные явления и в других возможных сферах применения, таких как биомедицина или катализ. При этом данная проблема остается фактически нерешенной, а те немногочисленные работы, авторам которых удавалось синтезировать агрегативно- и седиментационно-устойчивые системы, предполагают сложные и плохо масштабируемые методики синтеза.
Существует несколько методов получения наночастиц CuO: золь-гель [12, 13] сонохимический [14, 15], гидротермальный методы [16] и соосаждение [17–19]. В настоящей работе для синтеза наноразмерных частиц оксида меди, подходящих для получения стабильных гидрозолей, предложен совмещенный реакционно-ионообменный процесс – анионообменное осаждение, которое можно рассматривать как случай ионного обмена, осложненного реакцией образования осадка [20, 21]. Оно включает две взаимосвязанные химические реакции: в первой реакции анионы раствора заменяются на противоионы анионита:
А− + R–OH → OH− + R–А,
где R–OH представляет собой анионообменную смолу АВ-17-8 в OH-форме, А – анион исходной соли (Cl–, NO3–, ½SO42–).
Второй процесс – осаждение ионов металлов в виде нерастворимых гидроксидов:
Cu2+ + 2OH− → Cu(OH)2.
Переход анионов используемых солей из раствора в фазу ионита и отсутствие ионов осадителя в растворе способствуют как смещению равновесия процесса и, соответственно, повышению степени осаждения и упрощению процедуры синтеза за счет исключения стадии отмывки осадка от примесных ионов, так и понижению ионной силы раствора. Проведение осаждения при низкой ионной силе и отсутствии местного пересыщения раствора способствует получению частиц с идентичным составом и размером, а также обеспечивает формирование стабильных коллоидных систем [21, 22]. Кроме того, полученные материалы обладают большой площадью поверхности и высокой реакционной способностью.
Для стабилизации наночастиц CuO применяют различные поверхностно-активные вещества (ПАВ), такие как цетилтриметиламмоний бромид [15, 23], поливинилпирролидон [24], полиэтиленгликоль [25], поливиниловый спирт [26, 27] и полисахариды (декстран, инулин, хитозан) [28, 29]. Однако для достижения стабильности золей наночастиц необходимо использовать большое количество стабилизаторов, что может негативно сказаться на реологических свойствах получаемых золей и препятствовать их дальнейшему применению. Недостатком использования высокомолекулярных соединений и ПАВ является также их биологическая несовместимость.
Ранее нами [30–33] были получены стабильные концентрированные гидрозоли серебра и магнетита с использованием цитрат-иона, который обладает высокой биосовместимостью и небольшим размером и способен эффективно связываться с поверхностью наночастиц оксидов переходных металлов за счет образования устойчивых в широком диапазоне pH поверхностных комплексов [34–37]. В данной работе для стабилизации гидрозолей CuO также использовали этот подход.
Цель настоящей работы – синтез наночастиц оксида меди(II) (CuO) путем анионообменного осаждения, получение стабильных коллоидных растворов на их основе, изучение агрегативной и седиментационной устойчивости, а также оптических и электронных свойств полученного гидрозоля.
ЭКСПЕРИМЕНТАЛЬНАЯ ЧАСТЬ
В работе использовали следующие реактивы: декстран-40 (М = 40 000 Да, PanReac AppliChem), Сu(NO3)2 ⋅ 3H2O, CuSO4 ⋅ 5H2O, CuCl2 ⋅ 2H2O (х. ч., Химреактивснаб), гелевый анионит АВ-17-8 (ГОСТ 20301-74, ПАО “АЗОТ”), содержащий в качестве ионогенных групп четвертичные триметиламмониевые группы. Анионит был переведен в ОН-форму, для чего исходный сорбент в хлоридной форме отмывали от мономеров 1 М раствором NaCl (т : ж = = 1 : 3), обрабатывали 5–6 раз 2 М раствором NаОН (т : ж = 1 : 3) по 1 ч, промывали водой до рН 6–7 и высушивали при температуре 60°С. Полная обменная емкость анионитов в OH-форме, установленная по 0.1 М раствору HCl, составила 1.5 ммоль-экв/г.
Наночастицы оксида меди получали методом анионообменного осаждения из солей хлорида, сульфата или нитрата меди(II). К 50 мл 0.08 M раствора солей добавляли предварительно набухший в воде анионит (1.5-ный молярный избыток). В качестве растворителя использовали дистиллированную воду или 10%-ный раствор полисахарида – декстрана (40 кДа) c кинематической вязкостью 5 × 10–6 м2/с. Синтез проводили при 60°С и перемешивании c частотой 180 об/мин в течение 20 мин. По истечении указанного времени с целью увеличения эффективности отслаивания осадка и снижения его доли на поверхности зерен анионита проводили ультразвуковую обработку (УЗ-ванна Сапфир, 35 кГц (Сапфир, Россия)) в течение 30 с. Для отделения анионита полученную суспензию пропускали через сито с диаметром отверстий 0.16 мм, промывали дистиллированной водой и трижды элюировали 1 М HCl. Полученные осадки отделяли центрифугированием и высушивали при 50°С. При синтезе в присутствии декстрана (40 кДа) полученный осадок прокаливали при температуре 350°С в течение 1 ч.
Выход полученного продукта определяли как отношение общего количества молей меди в осадке к общему количеству молей меди в исходном растворе. Концентрацию ионов меди в фазах раствора после осаждения осадка (после его растворения в 1 М HCl) и элюатах устанавливали методом атомно-абсорбционной спектроскопии (спектрометр AAnalyst 400, Perkin Elmer, США).
Исследования скорости анионообменного осаждения меди(II) проводили путем измерения электропроводности (λ) реакционных растворов с помощью кондуктометра Мультитест КСЛ-101 (НПП “СЕМИКО”, Россия). В ходе осаждения анионы раствора переходят в фазу анионита, замещаясь на ОН-ионы сорбента, а катионы Cu2+ связываются в гидроксид, что приводит к снижению λ. На основании данных по изменению электропроводности и химического анализа состава контактного раствора определяли степень осаждения металлов в текущий момент времени.
Стабилизацию коллоидного раствора наночастиц оксида меди осуществляли добавлением 50 мкл 1 М однозамещенного цитрата натрия (NaH2Cit) к суспензии оксида меди (0.1 г CuO в 10 мл воды) при 70°С в течение 2 ч при постоянном перемешивании (500 об/мин).
Фазовый состав образцов устанавливали на дифрактометре Shimadzu XDR-600 (Shimadzu Corporation, Япония) в СuKα-излучении, идентификацию фаз осуществляли с помощью картотеки базы данных PDF2. Уточнение параметров ячейки и определение размеров области когерентного рассеяния (ОКР) осуществляли в ПО Topas3 при помощи метода Ритвельда.
Измерения гидродинамических диаметров и ζ-потенциалов частиц проводили при помощи прибора Zetasizer Nano ZS (Malvern Panalytical, Великобритания). Для регистрации оптических спектров поглощения полученных гидрозолей в диапазоне длин волн 200–1000 нм использовали спектрофотометр GENESYS 10S UV-Vis (Thermo Scientific, США), измерения проводили в кварцевой кювете с длиной оптического слоя 1 см. Микрофотографии (ПЭМ) образцов получали на просвечивающем электронном микроскопе Hitachi 7700М (Hitachi Corporation, Япония) при ускоряющем напряжении 100 кВ. Регистрацию ИК-спектров проводили на ИК-Фурье-спектрометре Tensor 27 (Bruker, Германия). Термический анализ осуществляли при нагревании со скоростью 20 град/мин в атмосфере воздуха (50 мл/мин) на синхронном термическом анализаторе SDT Q600 (TA Instruments, США), совмещенном с ИК-Фурье-спектрометром Nicolet 380 (Thermo Electron Corporation, США) с интерфейсом TGA/FT-IR (приставка для анализа газовой фазы).
РЕЗУЛЬТАТЫ И ОБСУЖДЕНИЕ
Получение оксида меди с использованием анионообменного осаждения в присутствии декстрана
Анионообменное осаждение меди осуществляли из растворов различных ее солей: хлорида, нитрата и сульфата в присутствии полисахарида декстрана (40 кДа), который ранее показал себя как эффективный стабилизатор, предотвращающий агломерацию и агрегацию частиц [22, 38, 39].
Данные рис. 1а показывают, что независимо от природы аниона используемой соли скорость процесса анионообменного осаждения Cu2+ довольно высока: степень осаждения 98% достигается уже через 15 мин. В то же время максимальная скорость процесса наблюдается при использовании нитрата меди(II), это не согласуется с рядом селективности сильноосновных анионитов [21, 40] и, вероятно, объясняется тем, что в данном случае лимитирующей стадией анионообменного осаждения является не ионный обмен из растворов, а скорость формирования твердой фазы [41–43].
Рис. 1. Изменение степени анионообменного осаждения Сu2+ в присутствии декстрана со временем (а) и рентгенограммы полученных продуктов 1Д–3Д (б).
Как видно из данных табл. 1 и рис. 1б, фазовый состав продуктов анионообменного осаждения определяется анионом исходной соли. Так, в случае осаждения из растворов хлорида меди и сульфата меди образуются хорошо окристаллизованные гидроксосоли Cu2Cl(OH)3 (паратакамит, JCPDF № 87-679) и Cu4(SO4)(OH)6 (брошантит, JCPDF № 87-454), а при осаждении из нитрата меди происходит формирование слабоокристаллизованной фазы Cu(OH)2 (спертиниит, JCPDF № 80-656).
Таблица 1. Условия и результаты анионообменного осаждения Cu2+ в присутствии декстрана (время процесса – 20 мин, температура – 60°C)
Образец | Анион исходной соли | Фазовый состав продукта | Параметры элементарной ячейки, Å | Размер области когерентного рассеяния, нм | χ2 | ||
a | b | c | |||||
1Д | Cl– | Cu2Cl(OH)3 (R3) | 6.825 ± 0.002 | – | 14.048 ± 0.004 | 20.1 ± 0.4 | 1.113 |
2Д | SO42– | Cu4(SO4)(OH)6 (P121/a1) | 13.128 ± 0.003 | 9.828 ± 0.002 | 6.018 ± 0.001 | 50.5 ± 1.4 | 1.084 |
3Д | NO3– | Cu(OH)2 (Cmc21) | 2.951 ± 0.003 | 10.611 ± 0.002 | 5.304 ± 0.001 | 6.2 ± 0.1 | 1.056 |
Как известно, в ходе гидролиза ионов Cu2+ в слабощелочной среде формируются димеры [Cu2(OH)2(H2O)4]2+, которые легко вступают в электрофильную перегруппировку, сопровождаемую перескоком протона (оляция):
M–OH–M–OH → M–O–M–(H2O).
Если частичный заряд на образующейся молекуле воды отрицательный, то она удерживается катионом металла за счет кулоновских сил, происходит обратный переход протона, тогда OH-мостики стабильны и формируется фаза гидроксида металла. В обратном случае вода отщепляется, образуется оксид или оксогидроксид [44]. Как правило, получение золей гидроксида меди(II) – очень непростой и плохо воспроизводимый процесс вследствие довольно высокой скорости оляции, однако в присутствии декстрана вследствие процесса комплексообразования происходит перераспределение электронной плотности, что повышает стабильность фазы гидроксида меди. Взаимодействие декстрана с ионами Cu2+ в растворе неплохо изучено в литературе. В частности, в работе [45] показано, что декстран при pH > 7 способен образовывать стабильные комплекcы состава CuDxOH (константа устойчивости порядка 1015–1017). На основании нашего предыдущего исследования [22] и данных термического анализа (рис. 2) предполагаем, что декстран образует поверхностные комплексы с гидроксидом или основными солями Cu2+, это препятствует процессу их дальнейшей дегидратации.
Первой стадией анионообменного осаждения является переход сульфат- и хлорид-анионов из раствора в фазу анионита. Однако определенная нами ранее [21] эффективная константа обмена, рассчитанная путем обработки изотерм сорбции при 50%-ной загрузке анионита, невелика: 58.2 для обмена сульфат-ионов и 43.0 для хлорид-ионов. Анионы раствора в силу сильной координации с металлом могут переходить в фазу осадка (входят в состав двойного электрического слоя) на ранних стадиях процесса гидролиза, образуя молекулярные прекурсоры с анионами во внутренней сфере, термодинамика и кинетика процессов оляции и оксоляции которых значительно отличается. Если электроотрицательность аниона больше, чем у молекулы воды (2.49), то за счет смещения электронной плотности от H2O к аниону степень ионности связи металл–анион увеличивается, что приводит к ее разрыву, анион исключается из внутренней сферы комплекса. В обратном случае увеличивается степень ковалентности связи металл–анион, анион остается во внутренней координационной сфере металла [44]. Наиболее высокой электроотрицательностью обладают нитрат-ионы (2.76), поэтому они исключаются из фазы осадка. Электроотрицательность хлорид-ионов (2.4) меньше, чем у воды, поэтому формируется фаза Paratacamite ([Cu2Cl(OH)3], Ksp = 10–34.66), а электроотрицательность HSO4– близка к таковой для воды (2.6), что приводит к образованию Brochantite ([Cu4SO4(OH)6], Ksp = 10–68.66).
Согласно данным дифференциального термического и термогравиметрического анализа (ДТА-ТГА) и ИК-спектроскопии отходящих газов (рис. 2, 3), во всех полученных образцах присутствует адсорбированный декстран, который разлагается в температурном интервале 200–300°C с образованием воды и углекислого газа. Образец 3Д (табл. 1), полученный из нитрата меди(II), претерпевает дегидратацию при температуре >250°C и переходит в CuO (рис. 3в). (Заглавная буква “Д” в названии образцов означает, что образцы получены в присутствии полисахарида декстрана, 40кДа.) Термическое разложение Cu2Cl(OH)3 (образец 1Д, табл. 1) сопровождается также выделением HCl (рис. 2а, 3а), а брошантита Cu4(SO4)(OH)6 (образец 2Д, табл. 1) – SO2 (рис. 2б, 3б). Таким образом, для получения оксида меди продукты анионообменного осаждения необходимо прокаливать при 650°C для Cu2Cl(OH)3 (рис. 2а, 3а) и при 750°C для Cu4(SO4)(OH)6 (рис. 2б, 3б). Поскольку Сu(OH)2, полученный при осаждении из нитратных растворов, не содержит примесных ионов и его термическое разложение эффективно протекает уже при 350°C (рис. 2в, 3в), именно этот образец (3Д, табл. 1) использовали для дальнейших исследований.
Рис. 2. Термограммы (кривые ТГА, ДТА) образцов 1Д (а), 2Д (б), 3Д (в), полученных в ходе анионообменного осаждения Cu2+ в присутствии декстрана.
Рис. 3. Зависимость оптической плотности газов, выделяющихся при термическом анализе, от времени для образцов 1Д (а), 2Д (б), 3Д (в) (табл. 1), полученных в ходе анионообменного осаждения Cu2+ в присутствии декстрана.
Продукт термического разложения образца 3Д при 350°C в течение 60 мин представляет собой хорошо кристаллизованный оксид меди (рис. 4) с размером кристаллитов (определен нами при помощи РФА) 45.6 ± 0.7 нм, что значительно больше, чем ОКР исходного Cu(OH)2 (6.2 ± 0.1 нм). Увеличение ОКР мы связываем как с совершенствованием кристаллической структуры оксида меди в ходе температурной обработки, так и со спеканием наночастиц.
Рис. 4. Рентгенограмма образца, полученного после прокаливания образца 3Д в течение 60 мин при температуре 350°C.
Получение оксида меди с использованием анионообменного осаждения без полисахарида
Анализ литературных данных [46–48] показывает, что щелочное осаждение гидроксида меди зачастую сопровождается его дегидратацией с образованием смесей Cu(OH)2 и СuO, особенно в сильнощелочной среде и при повышенной температуре (>80°C). В присутствии декстрана процесс дегидратации Cu(OH)2 не протекает, вероятно, вследствие образования комплексов Cu2+ c декстраном [22, 49, 50].
На рис. 5 и в табл. 2 представлены результаты анионообменного осаждения ионов меди в отсутствие добавок полисахарида. Как и в присутствии декстрана, для практически полного анионообменного осаждения всех исследованных солей (остаточная концентрация ионов меди в растворе <2 × 10–4 моль/л, молярная доля металла в фазе ионита не более 1–2%) достаточно 15 мин. Однако в отсутствие полисахарида независимо от природы аниона исходной соли наблюдается образование монофазного продукта CuO. Этот результат является довольно неожиданным, поскольку значение pH в ходе анионообменного осаждения составляло 6–7, а температура не превышала 60°С.
Рис. 5. Изменение степени анионообменного осаждения Сu2+ в отсутствие полисахарида со временем (а) и рентгенограммы полученных продуктов 1–3 (б).
Таблица 2. Условия и результаты анионообменного осаждения Cu2+ без использования полисахарида (время процесса – 20 мин, температура – 60°C)
Образец | Анион исходной соли | Фазовый состав | Параметры элементарной ячейки, Å | Размер области когерентного рассеяния, нм | Выход продукта, % | χ2 | ||
a | b | c | ||||||
1 | Cl– | CuO (С12/c1) | 4.692 ± 0.002 | 3.427 ± 0.002 | 5.123 ± 0.004 | 14.1 ± 0.2 | 97.0 ± 0.6 | 1.072 |
2 | SO42– | 4.682 ± 0.002 | 3.423 ± 0.001 | 5.137 ± 0.002 | 16.8 ± 0.2 | 96.0 ± 0.6 | 1.099 | |
3 | NO3– | 4.698 ± 0.002 | 3.426 ± 0.002 | 5.129 ± 0.003 | 16.5 ± 0.2 | 98.0 ± 0.4 | 1.074 | |
Ранее нами было показано [51, 52], что формирование твердой фазы при анионообменном осаждении начинается на готовой поверхности – зернах анионита. При этом локальное значение щелочности вблизи поверхности зерна анионита, а также в окружающей зерно пленке вследствие поверхностных ОН-ионов смолы существенно отличается от ее величины в объеме раствора и может достигать весьма высоких значений. Возможно также образование поверхностных гидроксокомплексов меди [53]. Это приводит к дегидратации первоначально образовавшегося гидроксида меди и формированию в растворе наночастиц CuO.
Согласно данным ПЭМ (рис. 6а, 6б), образец 3, полученный после осаждения из нитрата меди(II), представляет собой субмикронные агломераты перьеобразной формы, которые, вероятно, состоят из частиц меньшего размера. Сравнение картины микродифракции электронов (рис. 6в) с симулированной в ПО SingleCrystal в режиме порошковой дебаеграммы (рис. 6г) подтверждает образование тенорита в ходе анионообменного осаждения.
Рис. 6. Микрофотографии (a, б) и электронная микродифракция (в – экспериментально полученная картина электронной микродифракции, г – симуляция порошковой электронограммы) для частиц СuO, полученных после анионообменного осаждения (образец 3, табл. 1).
ИК-Фурье-спектры (рис. 7) образцов 1–3 (табл. 2), полученных без использования полисахаридов, и образца 4, полученного после прокаливания образца 3Д (табл. 1) при 350°C, близки и содержат несколько полос поглощения. В области 3000–3600 см–1 наблюдается широкая полоса поглощения валентных колебаний поверхностных ОН-групп, образование которых обусловлено хемосорбцией молекул воды. Можно заметить, что для образца 4 доля поверхностных ОН-групп существенно ниже, но термообработка при 350°C все же не удаляет ОН-группы полностью. В области 2850–2925 см–1 наблюдаются слабые полосы, относящиеся к валентным колебаниям С–Н-групп, источником которых, по всей видимости, являются продукты деградации анионита. Малоинтенсивные полосы при 1465 и 1383 см–1 относятся к карбонат-ионам, образовавшимся в результате адсорбции углекислого газа, полосы с максимумом при 1628–1630 см–1 связаны с деформационными колебаниями адсорбированной воды H2O, а полосы с максимумами при ~605, ~500 и ~430 см–1 принадлежат валентным колебаниям ῡ(Cu–О). Таким образом, результаты ИК-спектроскопии показывают, что синтезированные наночастицы CuO представляют собой чистую фазу моноклинного оксида меди(II), не загрязненного анионами исходных солей.
Рис. 7. ИК-Фурье-спектры образцов, полученных в ходе анионообменного осаждения без использования полисахарида (образцы 1–3, табл. 2), и образца 4, полученного после обработки образца 3Д (табл. 1) при 350°C.
Получение и исследование устойчивости гидрозолей наночастиц СuO
Гидрозоли наночастиц оксида меди получали по разработанной нами методике с использованием монозамещенного цитрата натрия (NaH2cit) [32, 33], который является эффективным полифункциональным комплексообразователем, способным к формированию устойчивых в широком диапазоне pH поверхностных комплексов [34, 35]. Как показано в [54], успешное применение низкомолекулярных карбоновых кислот для контроля стабильности и реологических свойств коллоидных дисперсий оксидов металлов связано с их хорошей адсорбцией на границе раздела оксид–вода. Связь с поверхностью, как правило, осуществляется посредством карбоксильных групп, поэтому степень адсорбции зависит от их количества: монокарбоксилат < дикарбоксилат < трикарбоксилат. Лимонная кислота содержит три карбоксильные группы, поэтому она и ее соли часто используются в качестве стабилизаторов. Немаловажно, что этот модификатор поверхности также может выполнять роль восстановителя и регулятора размера частиц в ходе их роста [30–33].
В табл. 3 приведены результаты исследования агрегативной и седиментационной устойчивости гидрозолей СuO и Cu(OH)2, полученных в ходе анионообменного осаждения в присутствии и в отсутствие декстрана, а также после прокаливания гидроксида меди при 350°C. Для сравнения представлены данные без использования цитрата натрия.
Таблица 3. Результаты исследования агрегативной и седиментационной устойчивости гидрозолей СuO и Cu(OH)2 (в скобках приведены значения, полученные после 3 мес. хранения гидрозолей)
Образец | Стабилизатор | Гидродинамический диаметр, нм | ζ-потенциал, мВ | Отсутствие признаков коагуляции в течение | pH |
Cu(OH)2 (3Д) | – | 260 | –11.2 | ≤1 ч | 6.9 |
NaH2cit | – | – | Растворение образца | 6.3 | |
CuO (после прокаливания, 3Д) | – | 1338 | 15.9 | ≤1 ч | 7.1 |
NaH2cit | 1181 | –24.7 | ≤2 ч | 6.7 | |
CuO (3) | – | 192 (2354) | 29.9 (24.2) | 1 мес. | 6.8 (6.7) |
NaH2cit | 245 (366) | –31.1 (–30.6) | ≤3 мес. | 6.5 (6.4) |
Как известно [21], на поверхности оксидов в водной среде всегда присутствуют OH-группы, образование которых обусловлено хемосорбцией молекул воды. Возникновение электрического заряда и образование двойного электрического слоя за счет адсорбции противоионов происходят вследствие диссоциации поверхностных OH-групп по кислотному или основному типу. В отсутствие стабилизатора (рН 6.8) золи оксида меди имеют положительное значение ζ-потенциала (идет диссоциация по основному типу), поскольку точка нулевого заряда для оксида меди находится в районе 9.5 [55, 56].
При добавлении цитрата натрия происходит изменение знака ζ-потенциала, что связано с адсорбцией цитрат-анионов на поверхности частиц. Поскольку рН коллоидного раствора при этом немного снижается (6.5), можно предположить дальнейшую диссоциацию аниона H2cit–.
Высокое значение ζ-потенциала способствует агрегативной (средний гидродинамический диаметр 245 нм, индекс полидисперсности (PDI) не превышает 0.3) и седиментационной устойчивости полученных гидрозолей CuO, которые сохраняют свою стабильность при концентрации 2 г/л более 3 мес., при этом значения гидродинамического диаметра и заряда частиц, а также рН гидрозоля остаются неизменными (табл. 3).
Однако стабилизация образца оксида меди (образец 4), полученного после прокаливания Cu(OH)2 (образец 3Д, табл. 1) в течение 2 ч, не приводит к формированию стабильных гидрозолей, несмотря на довольно высокий поверхностный заряд. Мы связываем этот результат со снижением в ходе термической обработки количества поверхностных ОН-групп, о чем свидетельствуют данные ИК-спектроскопии (снижение интенсивности полосы поглощения в области 3000–3600 см–1, рис. 6, кривая 4). Наличие поверхностных OH-групп является необходимым условием для получения стабильных гидрозолей наночастиц оксидов в водных растворах [57]. Так, полученные при анионообменном осаждении без стадии прокаливания наночастицы оксида меди сохраняют седиментационную и агрегативную устойчивость при концентрации в золе 2 г/л (pH 6.8) и без добавления цитрат-ионов только за счет поверхностных OH-групп. Однако, в отличие от золей, стабилизированных цитратом (рис. 8) и сохраняющих свою устойчивость в диапазоне pH 5–11, они разрушаются при рН > 9.
Рис. 8. Зависимости гидродинамического диаметра (a) и ζ-потенциала (б) наночастиц CuO (образец 3, табл. 2), стабилизированных монозамещенным цитратом натрия, от величины pH.
Таким образом, для формирования высокостабильных гидрозолей оксида меди, устойчивых в широком интервале рН, необходимо исключить стадию высокотемпературной обработки наночастиц.
Изучение оптических и электронных свойств полученных гидрозолей оксида меди
Для изучения оптических и электронных свойств CuO использовали золь наночастиц (образец 3, табл. 2), стабилизированный цитратом натрия. Результаты динамического рассеяния света подтвердили отсутствие в золе агрегатов наночастиц (PDI = 0.236), которые могли бы повлиять на данные спектрофотометрических измерений.
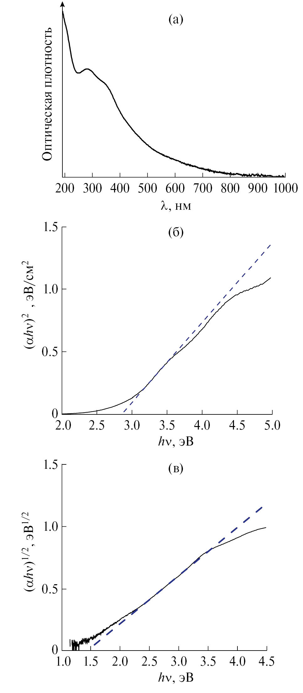
Полученный оптический спектр, а также графики Тауца для определения ширины запрещенной зоны приведены на рис. 9. На оптическом спектре коллоидного раствора оксида меди(II) наблюдается широкое плечо поглощения в интервале длин волн в УФ-синей области >500 нм, связанное с экситонными переходами [58].
Рис. 9. Оптический спектр поглощения гидрозоля наночастиц CuO (a) и графики Тауца (б, в) для определения ширины запрещенной зоны.
В литературе нет однозначного мнения по поводу того, является оксид меди(II) прямозонным или непрямозонным полупроводником [59–64]. В настоящей работе ширина запрещенной зоны Eg в синтезированных наночастицах была определена по спектрам поглощения в области 300–800 нм как для прямых (зависимость (αhν)2 = f(hν)), так и для непрямых (зависимость (αhν)1/2 = f(hν)) межзонных переходов [61, 62].
Рассчитанные значения ширины запрещенной зоны (Eg) составили 2.80 эВ (для прямого перехода) и 1.44 эВ (для непрямого перехода) и хорошо согласуются с литературными данными. Например, авторы [63] приводят значения ширины запрещенной зоны 2.13 эВ (для прямого перехода) и 1.34 (для непрямого перехода), а в работе [64] для прямого перехода найдено Eg = 2.5 эВ. Полученные нами значения ширины запрещенной зоны для непрямого перехода согласуются со значениями, полученными с применением теории функционала плотности с поправкой Хаббарда (DFT + U): 1.41 [65] и 1.58 эВ [66]. Однако приведенные авторами значения для прямого перехода составили 1.66 [65] и 1.82 эВ [66], что ниже величин, определенных в ходе обработки графиков Тауца. Полученные нами данные позволяют предположить, что этот материал может представлять интерес для фотокатализа под действием солнечного излучения и создания оптоэлектронных устройств как в моноварианте, так и в составе различных гибридных систем, таких как CuO@TiO2 [64], CuO/ZnO [67], CuO/Au [68] и ZnO–CuO–Au [69].
ЗАКЛЮЧЕНИЕ
Изучено влияние полисахарида декстрана (М = = 40 кДа) и аниона исходной соли (Сl–, NO3–, SO42–) на фазовый состав продуктов анионообменного осаждения меди(II). Установлено, что в процессе анионообменного осаждения из растворов хлорида меди и сульфата меди образуются хорошо окристаллизованные гидроксосоли Cu2Cl(OH)3 и Cu4(SO4)(OH)6, а при осаждении из нитрата меди происходит формирование слабоокристаллизованной фазы Cu(OH)2.
Разработан новый метод синтеза наночастиц оксида меди(II) с использованием сильноосновного анионита АВ-17-8 в ОН-форме, позволяющий без использования высоких температур и проведения процедур отмывок и очисток получать однородные по составу и морфологии нанообъекты.
Получены гидрозоли наночастиц оксида меди(II), стабилизированные цитратом натрия. Методом электрофоретического светорассеяния показана их высокая агрегативная и седиментационная устойчивость (гидродинамический диаметр 245 нм; ζ-потенциал –31.1 мВ; PDI < 0.3).
Найденные значения ширины запрещенной зоны 2.80 эВ (для прямого перехода) и 1.44 эВ (для непрямого перехода) позволяют установить, что полученные наночастицы оксида меди(II) могут представлять интерес для фотокатализа и применения в оптоэлектронных устройствах.
ФИНАНСИРОВАНИЕ РАБОТЫ
Исследование выполнено при финансовой поддержке проекта Российского фонда науки “Новые двумерные материалы на основе неорганических кристаллов с ковалентным типом связи” № 22-73-10047.
КОНФЛИКТ ИНТЕРЕСОВ
Авторы заявляют, что у них нет конфликта интересов.
About the authors
A. Y. Pavlikov
Siberian Federal University
Author for correspondence.
Email: apavlikov98@mail.ru
Russian Federation, Krasnoyarsk, 660041
S. V. Saikova
Siberian Federal University; Institute of Chemistry and Chemical Engineering, Krasnoyarsk Scientific Center (Federal Research Center), Siberian Branch of the Russian Academy of Sciences
Email: apavlikov98@mail.ru
Russian Federation, Krasnoyarsk, 660041; Akademgorodok, Krasnoyarsk, 660036
A. S. Samoilo
Siberian Federal University
Email: apavlikov98@mail.ru
Russian Federation, Krasnoyarsk, 660041
D. V. Karpov
Siberian Federal University; Institute of Chemistry and Chemical Engineering, Krasnoyarsk Scientific Center (Federal Research Center), Siberian Branch of the Russian Academy of Sciences
Email: apavlikov98@mail.ru
Russian Federation, Krasnoyarsk, 660041; Akademgorodok, Krasnoyarsk, 660036
S. A. Novikova
Institute of Chemistry and Chemical Engineering, Krasnoyarsk Scientific Center (Federal Research Center), Siberian Branch of the Russian Academy of Sciences
Email: apavlikov98@mail.ru
Russian Federation, Akademgorodok, Krasnoyarsk, 660036
References
- Poreddy R., Engelbrekt C., Riisager A. // Catal. Sci. Technol. 2015. V. 5. P. 2467. https://doi.org/10.1039/C4CY01622J
- Aroob S., Carabineiro S.A.C., Taj M.B. et al. // Catalysts. 2023. V. 13. P. 502. https://doi.org/10.3390/catal13030502
- Grigore M.E., Biscu E.R., Holban A.M. et al. // Pharmaceuticals. 2016. V. 9. P. 75. https://doi.org/10.3390/ph9040075
- Lim Y.-F., Choi J.J., Hanrath T. // J. Nanomater. 2012. V. 2012. P. 4. https://doi.org/10.1155/2012/393160
- Мокрушин А.С., Горбань Ю.М. и др. // Журн. неорган. химии. 2021. Т. 66. № 4. С. 557.
- Katowah D.F., Saleh S.M., Alqarni S.A. et al. // Sci. Rep. 2021. V. 11. P. 5056. https://doi.org/10.1038/s41598-021-84540-y
- Kulkarni R., Kunwar S., Mandavkar R. et al. // Nanomaterials. 2020. V. 10. P. 2034. https://doi.org/10.3390/nano10102034
- Ghosh A., Miah M., Bera A. et al. // J. Alloys Compd. 2021. V. 862. P. 158549. https://doi.org/10.1016/j.jallcom.2020.158549
- Kano E., Kvashnin D.G., Sakai S. et al. // Nanoscale. 2017. V. 9. № 11. P. 3980. https://doi.org/10.1039/c6nr06874j
- Coogan Á., Hughes L., Pursell-Milton F. et al. // J. Phys. Chem. C. 2022. V. 126. № 44. P. 18980. https://doi.org/10.1021/acs.jpcc.2c06540
- Siddiqui H., Parra M.R., Pandey P. et al. // J. Sci-Adv. Mater. Dev. 2020. V. 5. P. 104. https://doi.org/10.1016/j.jsamd.2020.01.004
- Kayani Z.N., Umer M., Riaz S. // J. Electron. Mater. 2015. V. 44. P. 3704. https://doi.org/10.1007/s11664-015-3867-5
- Arunkumar B., Johnson Jeyakumar S., Jothibas M. // Optik. 2019. V. 183. P. 698. https://doi.org/10.1016/j.ijleo.2019.02.046
- Wongpisutpaisan N., Charoonsuk P., Vittayakorn N., Pecharapa W. // Energy Procedia. 2011. V. 9. P. 404. https://doi.org/10.1016/j.egypro.2011.09.044
- Silva N., Ramírez S., Díaz I. et al. // Materials. 2019. V. 12. P. 804. https://doi.org/10.3390/ma12050804
- Claros M., Gràcia I., Figueras E., Vallejos S. // Chemosensors. 2022. V. 10. P. 353. https://doi.org/10.3390/chemosensors10090353
- Zhu J., Li D., Chen H. et al. // Mater. Lett. 2004. V. 58. P. 3324. https://doi.org/10.1016/j.matlet.2004.06.031
- Rujun W., Zhenye M., Zhenggui G., Yan Y. // J. Alloys Compd. 2010. V. 504. P. 45. https://doi.org/10.1016/j.jallcom.2010.05.062
- Phiwdang K., Suphankij S., Mekprasart W., Pecharapa W. // Energy Procedia. 2013. V. 34. P. 740. https://doi.org/10.1016/j.egypro.2013.06.808
- Вулих А.И. Ионный обмен. М.: Химия, 1973. 232 с.
- Сайкова С.В., Пашков Г.Л., Пантелеева М.В. Реакционно-ионообменные процессы извлечения цветных металлов и синтеза дисперсных материалов. Красноярск, 2018. 198 с.
- Сайкова С.В., Трофимова Т.В., Павликов А.Ю., Самойло А.С. // Журн. неорган. химии. 2020. Т. 65. № 3. С. 287.
- El-Nahhal I.M., Elmanama A.A., Amara N. et al. // Mater. Chem. Phys. 2018. V. 215. P. 221. https://doi.org/10.1016/j.matchemphys.2018.05.012
- Iqbal Z., Siddiqui V.U., Alam M. et al. // AIP Conf. Proc. 2020. V. 2276. P. 020010. https://doi.org/10.1063/5.0025688
- Blinov A.V., Gvozdenko А.А., Yasnaya М.А. et al. // Her. Bauman Moscow State Tech. Univ. Ser. Nat. Sci. 2020. V. 3. P. 56. https://doi.org/10.18698/1812-3368-2020-3-56-70
- Aureen Albert A., Harris Samuel D.G., Parthasarathy V. et al. // Chem. Eng. Commun. 2019. V. 207. P. 319. https://doi.org/10.1080/00986445.2019.1588731
- El Sayed A.M., El-Gamal S., Morsi W.M. et al. // J. Mater. Sci. 2015. V. 50. P. 4717. https://doi.org/10.1007/s10853-015-9023-z
- Казимирова К.О., Штыков С.Н. // Изв. Сарат. ун-та. Нов. сер. Серия: Химия. Биология. Экология. 2018. Т. 18. № 2. С. 126. https://doi.org/10.18500/1816-9775-2018-18-2-126-133
- Arena A., Scandurra G., Ciofi C. // Sensors. 2017. V. 17. P. 2198. https://doi.org/10.3390/s17102198
- Mikhlin Y.L., Vishnyakova E.A., Romanchenko A.S. et al. // Appl. Surf. Sci. 2014. V. 297. P. 75. https://doi.org/10.1016/j.apsusc.2014.01.081
- Vorobyev S., Vishnyakova E., Likhatski M. et al. // Nanomaterials. 2019. V. 9. P. 1525. https://doi.org/10.3390/nano9111525
- Карпов Д.В. // Металлургия цветных, редких и благородных металлов. 2022. С. 119.
- Карпов Д.В., Воробьев С.А., Антипова Ю.В. и др. // Химическая наука и образование Красноярья. 2022. С. 37
- Mudunkotuwa I.A., Grassian V.H. // J. Am. Chem. Soc. 2010. V. 132. P. 14986. https://doi.org/10.1021/ja106091q
- Field T.B., McCourt J.L., McBryde W.A.E. // Can. J. Chem. 1974. V. 52. P. 3119. https://doi.org/10.1139/v74-458
- Dheyab M.A., Aziz A.A., Jameel M.S. et al. // Sci. Rep. 2020. V. 10. P. 10793. https://doi.org/10.1038/s41598-020-67869-8
- Goodarzi A., Sahoo Y., Swihart M.T. et al. // MRS Online Proceedings Library. 2003. V. 789. P. 23. https://doi.org/10.1557/PROC-789-N6.6
- Saikova S., Pavlikov A., Trofimova T. et al. // Metals. 2020. V. 11. № 5. P. 705. https://doi.org/10.3390/met11050705
- Saikova S., Pavlikov A., Karpov D. et al. // Materials. 2023. V. 16. P. 2318. https://doi.org/10.3390/ma16062318
- Васильев В.П., Золоторёв Е.К., Капустинский А.Ф. // Журн. физ. химии. 1960. Т. 34. № 8. С. 1761.
- Сайкова С.В., Пашков Г.Л., Пантелеева М.В. и др. // Журнал Сибирского федерального университета. Химия. 2011. Т. 4. № 4. С. 329.
- Pashkov G.L., Saikova S.V., Panteleeva M.V. et al. // Theor. Found. Chem. Eng. 2014. V. 48. P. 671. https://doi.org/10.1134/S0040579514050066
- Saikova S.V., Panteleeva M.V., Nikolaeva R.B. et al. // Russ. J. Appl. Chem. 2002. V. 75. P. 1787. https://doi.org/10.1023/A:1022249817628
- Livage J., Henry M., Sanchez C. // Prog. Solid State Chem. 1988. V. 18. P. 259. https://doi.org/10.1016/0079-6786(88)90005-2
- Norkus E., Vaičiūnien J., Vuorinen T. et al. // Carbohydrate Polymers. 2002. V. 50. P. 159. https://doi.org/10.1016/s0144-8617(02)00056-5
- Cudennec Y., Lecerf A. // Solid State Sci. 2003. V. 5. P. 1471. https://doi.org/10.1016/j.solidstatesciences.2003.09.009
- Singh D.P., Ojha A.K., Srivastava O.N. // J. Mater. Chem. C. 2009. V. 113. P. 3409. https://doi.org/10.1021/jp804832g
- Vaseem M., Hong A.R., Kim R.T. et al. // J. Mater. Chem. C. 2013. V. 1. P. 2112. https://doi.org/10.1039/C3TC00869J
- Nikolić G.S., Cakić M.D. // New Analytical Approaches and FTIR Strategies. 2011. https://doi.org/10.5772/16133
- Savic I., Nikolic G., Cakic M. // Acta Chromatogr. 2010. V. 22. P. 375. https://doi.org/10.1556/AChrom.22.2010.3.3
- Evsevskaya N., Pikurova E., Saikova S.V. et al. // ACS Omega. 2020. V. 5. P. 4542. https://doi.org/10.1021/acsomega.9b03877
- Сайкова С.В., Киршнева Е.А., Пантелеева М.В. и др. // Журн. неорган. химии. 2019. Т. 64. № 10. С. 1013.
- Сайкова С.В., Пашков Г.Л. Пантелеева М.В. и др. // Журнал Сибирского федерального университета. Химия. 2010. Т. 3. № 1. С. 27.
- Shinohara S., Eom N., The E.-J. et al. // Langmuir. 2018. V. 34. P. 2595. https://doi.org/10.1021/acs.langmuir.7b03116
- Kosmulski M. // Adv. Colloid Interface Sci. 2016. V. 238. P. 1. https://doi.org/10.1016/j.cis.2016.10.005
- Parks G.A. // Chem. Rev. 1965. V. 65. P. 177. https://doi.org/10.1021/cr60234a002
- Drozdov A.S., Ivanovski V., Avnir D. // J. Colloid Interface Sci. 2016. V. 468. P. 307. https://doi.org/10.1016/j.jcis.2016.01.061
- Xie Y., Carbone L., Nobile C. et al. // ACS Nano. 2013. V. 7. P. 7352. https://doi.org/10.1021/nn403035s
- Montgomery M.J., Sugak N., Yang Ke R. et al. // Nanoscale. 2020. V. 12. P. 14549. https://doi.org/10.1039/D0NR02208J
- Wang Y., Lany S., Ghanbaja J. et al. // Phys. Rev. B. 2016. V. 94. P. 245418. https://doi.org/10.1103/PhysRevB.94.245418
- Chen Z., Jaramillo T. // Department of Chemical Engineering, Stanford University Edited by Bruce Brunschwig. 2017.
- Василевский А.М., Коноплев Г.А., Панов М.Ф. // Оптико-физические методы исследований: Методические указания к лабораторным работам. СПб.: Изд-во СПбГЭТУ “ЛЭТИ”, 2011. 56 с.
- Rydosz A., Kollbek K., Kim-Ngan NT.H. et al. // J. Mater. Sci. — Mater. Electron. 2020. V. 31. P. 11624. https://doi.org/10.1007/s10854-020-03713-z
- Hamad H., Elsenety M.M., Sadik W. et al. // Sci. Rep. 2022. V. 12. P. 2217. https://doi.org/10.1038/s41598-022-05981-7
- Ahmad F., Agusta M.K., Dipojono H.K. // J. Phys: Conference Series. 2016. V. 739. P. 012040. https://doi.org/10.1088/1742-6596/739/1/012040
- Jamal M., Shahriyar Nishat S., Sharif A. // Chem. Phys. 2021. V. 545. P. 111160. https://doi.org/10.1016/j.chemphys.2021.111160
- Sakib A.A.M., Masum S.M., Hoinkis J. et al. // J. Compos. Sci. 2019. V. 3. P. 91. https://doi.org/10.3390/jcs3030091
- Zhang X., Yang Y., Que W., Du Y. // RSC Adv. 2016. V. 6. P. 81607. https://doi.org/10.1039/C6RA12281G
- Ahmad I., Shukrullah S., Yasin M.N. et al. // Int. J. Hydrogen Energy. 2023. V. 48. P. 12683. https://doi.org/10.1016/j.ijhydene.2022.11.289
Supplementary files











