Copper(II) complexes with mono- and doubly reduced forms of 3,5-di-tert-octyl-o-benzoquinone
- Authors: Trofimova O.Y.1, Maleeva A.V.1, Arseniev M.V.1, Kocherova T.N.1, Cherkasov A.V.1, Yakushev I.A.2, Dorovatovski P.V.3, Piskunov A.V.1
 - 
							Affiliations: 
							
- Razuvaev Institute of Organometallic Chemistry of the Russian Academy of Sciences
 - Kurnakov Institute of General and Inorganic Chemistry of the Russian Academy of Sciences
 - National Research Center “Kurchatov Institute”
 
 - Issue: Vol 69, No 2 (2024)
 - Pages: 203-212
 - Section: КООРДИНАЦИОННЫЕ СОЕДИНЕНИЯ
 - URL: https://journals.rcsi.science/0044-457X/article/view/260709
 - DOI: https://doi.org/10.31857/S0044457X24020073
 - EDN: https://elibrary.ru/ZHOJVF
 - ID: 260709
 
Cite item
Full Text
Abstract
Copper(II) complexes on the basis of 3,5-di-tert-octyl-o-benzoquinone (3,5-tOc-Q) have been synthesised. Derivatives of the composition: (3,5-tOc-SQ)2Cu (I), (3,5-tOc-Cat)Cu(Phen) (II), (3,5-tOc-Cat)Cu(DPQ) (III) and (3,5-tOc-Cat)Cu(DPPZ) (IV), where 3,5-tOc-SQ is the anion radical of 3,5-di-tert-octyl-o-benzoquinone, 3,5-tOc-Cat is the dianion of 3,5-di-tert-octyl-o-benzoquinone, Phen is phenanthroline, DPQ is dipyrido[3,2-d: 2′,3′-f]quinoxaline, DPPZ — dipyrido[3,2-a:2′,3′-c]phenazine. The molecular and crystal structures of complexes I and II were established by X-ray diffraction. The spectral characteristics of the synthesised copper(II) derivatives have been investigated by electronic absorption spectroscopy. Crystallographic data for compounds I and II have been deposited in the Cambridge Structural Data Bank (No. 2291614 for I and No. 2279045 for II).
Full Text
ВВЕДЕНИЕ
Поиск новых лигандных систем для синтеза координационных металлорганических соединений и координационных полимеров с практически полезными химическими и физико-химическими свойствами является актуальной задачей неорганической и координационной химии. В широком спектре органических редокс-активных лигандов [1–8] производные бензохинонового типа [9–12] занимают отдельную нишу. Лиганды о-бензохинонового типа способны существовать в трех различных редокс-состояниях. Введение о-хиноновых лигандов в координационную сферу непереходного металла открывает перспективы использования полученных систем в реакциях окислительного присоединения и восстановительного элиминирования за счет активности лиганда, а не металлоцентра [13, 14]. Создание устойчивых парамагнитных производных металлов с анион-радикальными формами данных лигандов дает возможность получать магнитоактивные соединения даже для представителей ряда непереходных металлов [15–17], а в производных с переходными элементами обеспечивает наличие сильных магнитных обменных взаимодействий [18–22]. Новым направлением в химии о-хинонов стало введение в комплекс металла дополнительных редокс-активных лигандов отличной природы, что создает условия для фотоиндуцированного переноса заряда лиганд–лиганд (LL′CT –ligand-to-ligand charge transfer) или полного переноса электрона между ними [23–32]. В настоящий момент большинство LL′CT-комплексов известны на примере соединений переходных металлов, наиболее изученными представителями которых являются производные никеля [33–38], кобальта [25, 33], марганца [34], палладия [39–41] и платины [32, 40–45]. Проектирование новых LL′CT-комплексов открывает перспективы по созданию донорно-акцепторных хромофоров, фото- и электрохромных материалов. Наиболее хорошо изученными и часто используемыми представителями о-хинонов, применяемых для построения комплексов металлов различного состава, являются 3,5-ди-трет-бутил-о-бензохинон и 3,6-ди-трет-бутил-о-бензохинон [46]. Использование стерически загруженных систем способствует стабилизации окисленных форм о-хинонов в комплексах на их основе. Недавно в работах [47–49] показан синтез новых стерически экранированных лигандных систем с объемными алкильными заместителями в различных положениях хиноидного кольца, которые уже зарекомендовали себя в синтезе соединений цинка [50] и олова [51, 52].
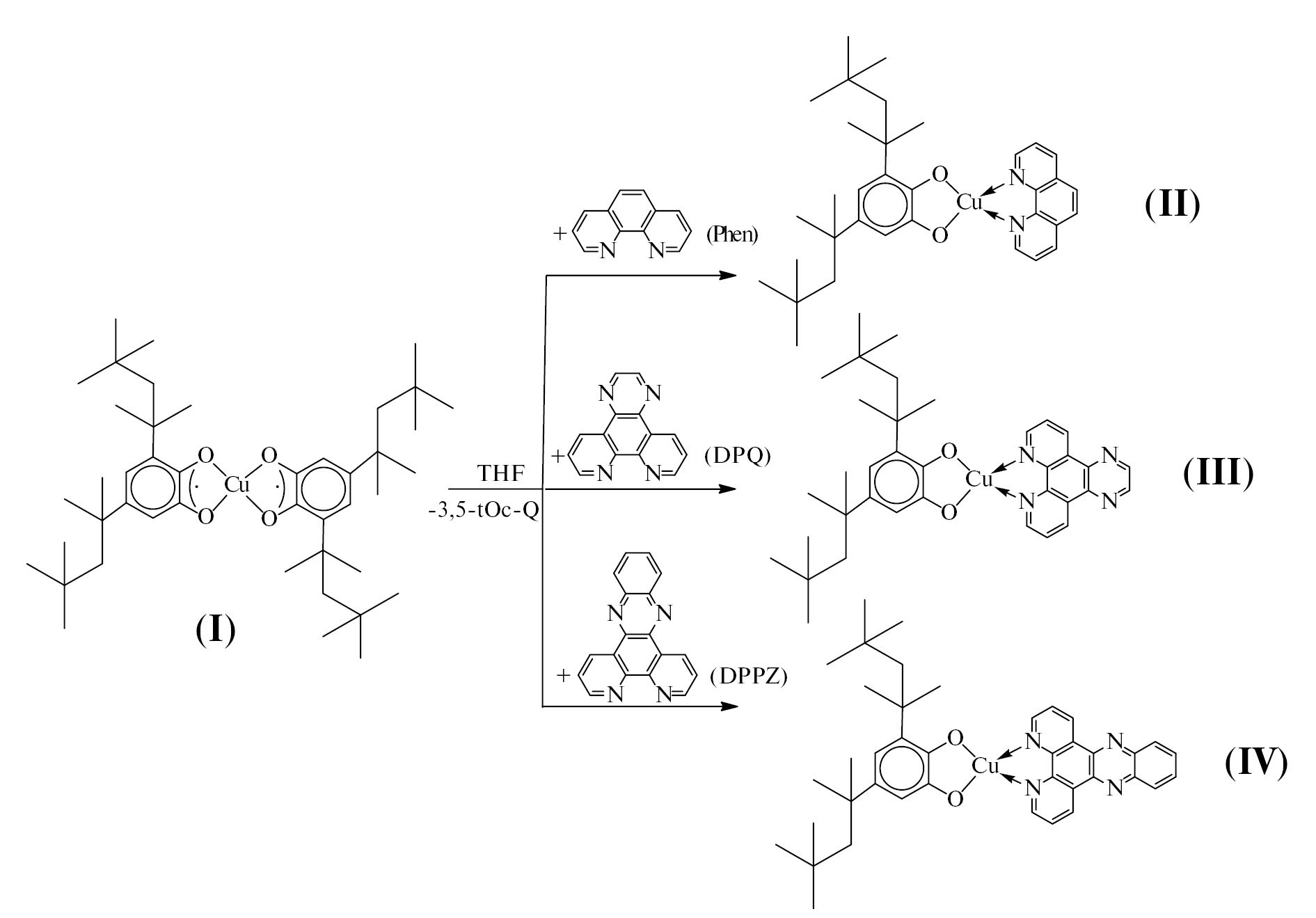
Цель настоящей работы — синтез и изучение физико-химических свойств производных меди(II) на основе нового стерически загруженного лиганда 3,5-ди-трет-октил-о-бензохинона. Получены бис-о-семихинолят меди(II) состава (3,5-t-Oc-SQ)2Cu (I) и катехолаты меди(II) c N-донорными лигандами фенантролинового типа (3,5-t-Oc-Cat)Cu(Phen) (II), (3,5-t-Oc-Cat)Cu(DPQ) (III) и (3,5-t-Oc-Cat-)Cu(DPPZ) (IV), где 3,5-t-Oc-SQ — анион-радикал 3,5-ди-трет-октил-о-бензохинона, 3,5-t-Oc-Cat- — дианион 3,5-ди-трет-октил-о-бензохинона, Phen — фенантролин, DPQ — дипиридо[3,2-d:2′,3′-f]хиноксалин, DPPZ — дипиридо[3,2-a:2′,3′-c]феназин.
ЭКСПЕРИМЕНТАЛЬНАЯ ЧАСТЬ
ИК-спектры регистрировали на ИК-Фурье-спектрометре ФСМ-1201 (суспензии в вазелиновом масле, кюветы KBr). Элементный анализ проводили на приборе Elementar Vario El cube. Электронные спектры поглощения растворов комплексов меди(II) получали на спектрофотометре СФ-2000. В работе использовали следующие коммерческие реактивы: фенантролин (Phen), тетрагидрофуран (ТГФ), толуол, N,N-диметилформамид (ДМФ). Диимины DPQ и DPPZ получали по известным методикам [53]. 3,5-Ди-трет-октил-о-бензохинон (3,5-t-Oc-Q) синтезировали по методике [47].
Синтез бис-о-семихинолята меди(II) (3,5-t-Oc-SQ)2Cu (I). Бис-о-семихинолятный комплекс меди(II) получали восстановлением 3,5-ди-трет-октил-о-бензохинона (3,5-t-Oc-Q) избытком металлической меди в анаэробных условиях в среде толуола при нагревании на водяной бане до 80°С в течение 8 ч. Цвет реакционной смеси в процессе протекания реакции менялся с зеленого на ярко-синий, а при охлаждении до комнатной температуры выпадал мелкокристаллический продукт (3,5-t-Oc-SQ)2Cu. Комплекс меди собирали на фильтре Шотта и промывали 5 мл толуола. Производное I в кристаллическом состоянии устойчиво к действию влаги и кислорода воздуха. Кристаллы (3,5-t-Oc-SQ)2Cu, пригодные для рентгеноструктурного анализа, получены медленным охлаждением горячего раствора комплекса в толуоле. Выход I составил 85%.
Найдено, %: C 72.84; H 10.17.
Для C44H72CuO4 вычислено, %: C 72.53; H 9.96.
ИК-спектр (ν, см–1): 1748 сл, 1667 ср, 1580 с, 1520 с, 1395 ср, 1360 с, 1341 ср, 1391 ср, 1294 с, 1240 с, 1211 ср, 1181 сл, 1154 ср, 1121 сл, 1080 с, 1028 сл, 1007 ср, 998 с, 974 ср, 943 ср, 922 ср, 887 ср, 856 с, 825 с, 810 с, 787 с, 771 с, 694 сл, 669 ср, 598 с, 569 сл, 517 ср, 503 сл.
Электронный спектр поглощения (ТГФ), ~l, нм: 394, 730.
Синтез комплексов (3,5-t-Oc-Cat-)Cu(Phen) (II), (3,5-t-Oc-Cat-)Cu(DPQ) (III) и (3,5-t-Oc-Cat-)Cu(DPPZ) (IV). Синтез смешанолигандных комплексов меди(II) проводили в условиях отсутствия кислорода и влаги воздуха. К раствору (3,5-t-Oc-SQ)2Cu (0.5 ммоль, 0.364 г) в 15 мл тетрагидрофурана приливали 15 мл раствора одного из нейтральных N-донорных лигандов (0.5 ммоль, 0.09 г Phen, 0.116 г DPQ, 0.141 г DPPZ) в том же растворителе. Оба раствора предварительно нагревали до температуры 50°С. Практически сразу после смешения растворов образуется интенсивно окрашенный мелкокристаллический продукт синего цвета. Полученные образцы собирали на фильтре Шотта и промывали 5 мл ТГФ. Производные II–IV в кристаллическом состоянии устойчивы к действию влаги и кислорода воздуха. При кристаллизации из горячего раствора ТГФ получены игольчатые кристаллы II, строение которых определено методом РСА. Согласно данным рентгеноструктурного анализа, соединение II кристаллизуется в виде димера. Выход II 90%.
Найдено, %: C 71.04; H 7.92; N 4.71.
Для C68H88Cu2N4O4 вычислено, %: C 70.86; H 7.70; N 4.86.
ИК-спектр (ν, см–1): 1667 сл, 1626 ср, 1607 ср, 1583 с, 1544 с, 1517 с, 1431 с, 1412 с, 1363 с, 1345 сл, 1336 ср, 1318 сл, 1291 ср, 1267 с, 1248 с, 1226 ср, 1214 ср, 1144 ср, 1120 сл, 1101 сл, 1044 сл, 1026 сл, 1007 сл, 983 с, 970 с, 925 сл, 909 сл, 886 сл, 872 ср, 852 с, 841 с, 825 ср, 7870 с, 686 ср, 664 ср, 645 ср, 596 ср.
Электронный спектр поглощения (ТГФ), ~l, нм: 620. Электронный спектр поглощения (ДМФ), ~l, нм: 565.
Выход III 81%.
Найдено, %: C 68.99; H 7.20; N 8.84.
Для C36H44CuN4O2 вычислено, %: C 68.82; H 7.06; N 8.92.
ИК-спектр (ν, см–1):1615 сл, 1579 ср, 1546 ср, 1484 с, 1413 с, 1364 ср, 1329 ср, 1309 сл, 1294 ср, 1268 с, 1251 с, 1212 с, 1178 сл, 1153 сл, 1147 сл, 1123 ср, 1082 с, 1067 с, 1028 сл, 998 сл, 985 с, 965 с, 920 сл, 906 сл, 883 сл, 865 сл, 849 с, 826 ср, 812 с, 765 ср, 689 ср, 664 ср, 650 сл, 630 сл, 609 ср, 593 с.
Электронный спектр поглощения (ТГФ), ~l, нм: 655. Электронный спектр поглощения (ДМФ), ~l, нм: 586.
Выход IV 81%.
Найдено, %: C 71.07; H 7.00; N 8.13.
Для C40H46CuN4O2 вычислено, %: C 70.82; H 6.83; N 8.26.
ИК-спектр (ν, см–1): 1623 сл, 1605 ср, 1582 ср, 1549 ср, 1495 с, 1416 с, 1391 ср, 1377 с, 1354 с, 1337 с, 1294 с, 1265 с, 1254 с, 1244 с, 1231 ср, 1251 ср, 1184 ср, 1148 сл, 1136 ср, 1123 сл, 1094 сл, 1074 с, 1045 ср, 1030 сл, 980 с, 968 с, 941 сл, 924 сл, 906 сл, 883 сл, 854 ср, 845 ср, 827 ср, 816 с, 769 с, 729 с, 690 сл, 665 сл, 648 сл, 632 сл, 617 ср, 596 ср, 578 ср.
Электронный спектр поглощения (ТГФ), l, нм: 674. Электронный спектр поглощения (ДМФ), l, нм: 590.
Рентгеноструктурное исследование соединения I выполнено на дифрактометре Rigaku OD Xcalibur E (МоKα-излучение, ω-сканирование, λ = 0.71073 Å, T = 298.0(2) K). Измерение и интегрирование экспериментальных наборов интенсивностей, учет поглощения, решение и уточнение структур проведены с использованием программных пакетов CrysAlisPro [54] и SHELX [55]. Структура решена с помощью алгоритма dual-space [56] и уточнена полноматричным МНК по F2hkl как трехкомпонентный двойник с соотношением доменов 0.83/0.14/0.03 в анизотропном приближении для неводородных атомов. Все водородные атомы были помещены в геометрически рассчитанные положения и уточнены с фиксированными тепловыми параметрами U(H)изо = = 1.2U(C)экв (U(H)изо = 1.5U(C)экв для метильных групп).
Данные рентгеновской дифракции для комплекса II получены на рентгеновском пучке станции “Белок” [57] Курчатовского центра синхротронного излучения в Национальном исследовательском центре “Курчатовский институт” (Москва, Россия) при 100 K (λ = 0.7527 Å). Определение параметров элементарной ячейки, их уточнение, интегрирование интенсивностей экспериментальных отражений и учет поправки на поглощение выполнены с использованием программного комплекса XDS [58]. Структуры решены прямыми методами [56] и уточнены полноматричным методом наименьших квадратов по F 2 [55] в анизотропном приближении для всех неводородных атомов. Атомы водорода помещены в расчетные положения и уточнены в изотропном приближении в модели “наездника” с Uизо(H) = = 1.5Uэкв(C) для атомов водорода метильных групп и Uизо(H) = 1.2Uэкв(C) для остальных атомов водорода. Расчеты выполнены в среде визуализации и обработки структурных данных OLEX2 [59].
Кристаллографические данные и параметры рентгеноструктурных экспериментов для I и II представлены в табл. 1, избранные длины связей — в табл. 2. Кристаллографические данные для соединений I и II депонированы в Кембриджском банке структурных данных (№ 2291614 и 2279045 для I и II соответственно), deposit-@ccdc.cam.ac.uk или http://www.ccdc.cam.ac.uk/dat-a_request-/cif
Таблица 1. Кристаллографические данные, параметры эксперимента и уточнения структур I и II
Параметр  | I  | II  | 
T, K  | 298.0(2)  | 100.0(2)  | 
Сингония  | Триклинная  | Триклинная  | 
Пр. гр.  | P1  | P1  | 
а, Å  | 8.0584(2)  | 8.4291(17)  | 
b, Å  | 11.0311(2)  | 10.5513(14)  | 
c, Å  | 12.3559(4)  | 17.047(4)  | 
á, град  | 93.980(2)  | 90.423(7)  | 
â, град  | 90.675(2)  | 98.315(12)  | 
ã, град  | 101.230(2)  | 102.178(8)  | 
V, Å3  | 1074.37(5)  | 1465.3(5)  | 
Z  | 1  | 1  | 
ρвыч, г/см3  | 1.126  | 1.306  | 
µ, мм–1  | 0.546  | 0.900  | 
θmin–θmax, град  | 2.42–27.10  | 2.496–30.564  | 
Число наблюдаемых отражений  | 46264  | 27261  | 
Число независимых отражений  | 13368  | 7503  | 
Rint  | 0.0320  | 0.0441  | 
S(F2)  | 1.015  | 1.036  | 
R1/wR2 (I > 2σ(I))  | 0.0353/0.0843  | 0.0400/0.1027  | 
R1/wR2 (по всем параметрам)  | 0.0592/0.0867  | 0.0480/0.1080  | 
Коэффициент поглощения  | 0.564  | Не опр.  | 
Δρmax/Δρmin, e Å–3  | 0.43/–0.41  | 0.674/–0.800  | 
Таблица 2. Избранные длины связей в комплексах I и II
I  | II  | ||
связь  | d, Å  | связь  | d, Å  | 
Cu(1)–O(2)  | 1.900(2)  | Cu(1)–O(1)  | 1.9029(13)  | 
Cu(1)–O(1)  | 1.935(2)  | Cu(1)–O(2)  | 1.9258(13)  | 
O(1)–С(1)  | 1.289(2)  | Cu(1)–N(2)  | 2.0193(16)  | 
O(2)–С(2)  | 1.281(2)  | Cu(1)–N(1)  | 2.0396(15)  | 
C(1)–С(6)  | 1.436(2)  | Cu(1)–O(2A)  | 2.3122(13)  | 
C(1)–С(2)  | 1.456(2)  | O(1)–С(1)  | 1.351(2)  | 
C(2)–С(3)  | 1.404(2)  | O(2)–С(6)  | 1.361(2)  | 
C(3)–С(4)  | 1.365(2)  | C(1)–С(6)  | 1.415(2)  | 
C(4)–С(5)  | 1.437(2)  | C(1)–С(2)  | 1.415(2)  | 
C(5)–С(6)  | 1.361(2)  | C(2)–С(3)  | 1.399(2)  | 
C(3)–С(4)  | 1.399(2)  | ||
C(4)–С(5)  | 1.401(2)  | ||
C(5)–С(6)  | 1.391(3)  | ||
РЕЗУЛЬТАТЫ И ОБСУЖДЕНИЕ
Синтез бис-семихинолята меди(II) (3,5-t-Oc-SQ)2Cu (I) на основе нового стерически загруженного лиганда осуществлен в реакции восстановления 3,5-ди-трет-октил-о-бензохинона металлической медью в толуоле при 80°С в течение 8 ч (схема 1). Реакция протекает в анаэробных условиях в течение суток, в результате происходит изменение цвета реакционной смеси с зеленого на темно-синий. При охлаждении полученного раствора I до комнатной температуры наблюдается выпадение кристаллического продукта. Строение синтезированного гомолептического бис-лигандного комплекса меди установлено методами рентгеновской дифракции на монокристаллах, а также подтверждено данными ИК-спектроскопии и элементного анализа.
Схема 1.
Согласно данным РСА, соединение I кристаллизуется в триклинной пр. гр. P1 и представляет собой комплекс (3,5-t-Oc-SQ)2Cu (рис. 1). Аналогично ранее описанному производному меди на основе 3,6-ди-трет-бутил-о-бензохинона (3,6-SQ)2Cu [60, 61] комплекс I является мономером, в отличие от соединения (3,5-SQ)2Cu на основе 3,5-ди-трет-бутил-о-бензохинона [62], которое представляет собой димер. Таким образом, введение более объемных трет-октильных вместо трет-бутильных в положения 3 и 5 о-бензохинона способствует формированию мономерного продукта.
Рис. 1. Молекулярное строение комплекса I. Тепловые эллипсоиды приведены с 50%-ной вероятностью. Атомы водорода не показаны.
Атом Cu(II) в I имеет плоскоквадратное окружение, образованное четырьмя атомами кислорода двух о-семихиноновых лигандов. Угол между плоскостями двух металлоциклов составляет 180.0°. Длины связей O(1)–С(1) и O(2)–С(2) (1.289(2) и 1.281(2) Å соответственно) позволяют однозначно характеризовать структуру хинонового лиганда как о-семихиноновую [63]. Длины связей Cu(1)–O(2) и Cu(1)–O(1) (1.900(2) и 1.935(2) Å соответственно) также отвечают значениям, характерным для семихиноновых комплексов меди(II) [60, 62].
Взаимодействие (3,5-t-Oc-SQ)2Cu с нейтральными N-донорными лигандами фенантролинового типа проводили в анаэробных условиях в среде TГФ. В результате протекания данной реакции происходит вытеснение одной молекулы хинона (3,5-t-Oc-Q) из координационной сферы меди и образование металлокомплексов состава (3,5-t-Oc-Cat-)Cu(Phen) (II), (3,5-t-Oc-Cat-)Cu(DPQ) (III) и (3,5-t-Oc-Cat-)Cu(DPPZ) (IV) (схема 2). Производные II–IV выделены из реакционной смеси в виде мелких синих игольчатых кристаллов. Cоставы комплексов II–IV подтверждены данными ИК-спектроскопии и элементного анализа. Катехолаты меди(II) с фенантролиновыми лигандами в координационной сфере металла парамагнитны и плохо растворяются в большинстве органических растворителей. Спектры ЭПР для кристаллических образцов представляют собой широкий синглет с gi = 2.079, 2.077 и 2.071 для комплексов II, III и IV соответственно. Данные значения хорошо согласуются с конфигурацией d 9 иона двухвалентной меди [64] (схема 2).
Схема 2.
Молекулярное и кристаллическое строение соединения II определено методом рентгеноструктурного анализа (рис. 2). Комплекс II является димером и кристаллизуется в триклинной группе симметрии P1. Координационное окружение каждого иона меди(II) в димере представляет собой тетрагональную пирамиду, в основании которой лежат атомы кислорода катехолатного лиганда и атомы азота фенантролина, а в вершине находится атом кислорода катехолатного лиганда соседнего комплекса. Таким образом, в производном II дианион о-бензохинона (3,5-t-Oc-Cat-2–) выступает в качестве мостикового лиганда с типом координации μ2-ê1:ê2. Координация кислорода катехолата соседней молекулы комплекса на ион меди приводит к “вытягиванию” Cu(1) из плоскости O(1)O(2)N(1)N(2) на 0.246 Å, а сумма углов, образованных связями вокруг атома меди, составляет 358.04°, что близко по значению к идеальному плоскоквадратному основанию (360°). Диэдральный угол между плоскостями O(1)C(1)C(6)O(2) и N(1)C(27)C(31)N(2) составляет 32.90°.
Рис. 2. Молекулярное строение комплекса II. Тепловые эллипсоиды приведены с 50%-ной вероятностью. Атомы водорода не показаны.
Длины связей O(1)–С(1) и O(2)–С(6) хинонового фрагмента в комплексе II составляют 1.351(2) и 1.361(2) Å соответственно, что позволяет однозначно характеризовать структуру лиганда как катехолатную [31, 65–68]. Длины связей Cu(1)–O(1) (1.9029(13) Å) и Cu(1)–O(2) (1.9258(13) Å) также отвечают значениям, характерным для катехолатных комплексов меди(II) [31, 63, 67–69]. Связь Cu(1)–O(2A), определяющая взаимодействие между двумя молекулами II с образованием димера, существенно длиннее и характеризуется расстоянием 2.3122(13) Å (сумма ковалентных радиусов элементов составляет 1.84 Å [70]). Длины связей Cu(1)–N(1) (2.0396(15) Å) и Cu(1)–N(2) (2.0193(16) Å) значительно превышают сумму ковалентных радиусов элементов (1.11 и 0.74 Å для Cu и N соответственно [70]), что указывает на донорно-акцепторную природу связывания фенантролина с катионом меди(II). Обращает на себя внимание различная конфигурация трет-октильных заместителей в комплексах меди I и II. В мономерном о-семихиноновом производном I разветвленные алкильные цепи располагаются по разные стороны шестичленного кольца диоксоленового лиганда и тем самым предохраняют комплекс от межмолекулярных взаимодействий, приводящих к димеризации. Однако возросшая нуклеофильность атомов кислорода в катехолатном лиганде соединения II позволяет преодолеть стерические препятствия, вызванные трет-октильными группами. Последние, в свою очередь, минимизируя пространственные затруднения, принимают конфигурацию, в которой располагаются по одну сторону ароматической системы лиганда.
Производные II–IV плохо растворимы в большинстве доступных органических растворителей, что обусловлено наличием большого числа коротких межмолекулярных контактов в кристаллических образцах. Так, по данным рентгеноструктурного анализа, в производном II наблюдаются контакты (3.356 и 3.398 Å), представляющие собой π–π-взаимодействия между лигандами фенантролинового типа соседних димерных молекул, формируя при этом бесконечные одномерные цепи в кристалле (рис. 3).
Рис. 3. Межмолекулярные контакты в II.
Электронные спектры поглощения соединений I–IV получены для растворов производных в ТГФ и ДМФ, за исключением раствора I в ДМФ (рис. 4). Данные спектры характеризуются наличием широкой полосы переноса заряда в видимой и ближней ИК-областях спектра (450–800 нм).
Рис. 4. Электронные спектры поглощения растворов комплексов I, II, IV (С = 6.3 × 10–4 моль/л) и III (С = 6.4 × 10–4 моль/л).
Электронный спектр поглощения комплекса I демонстрирует наличие широкой длинноволновой полосы с максимумом при 730 нм, отвечающей спин- и диполь-разрешенному переходу лиганд–лиганд [2]. Такой вид спектра характерен для бис-о-(имино)семихинолятов переходных металлов [2, 62]. В электронных спектрах поглощения растворов катехолатов меди II–IV наблюдается наличие широкой полосы переноса заряда между донорным катехолатным и акцепторным дииминовым фрагментами, захватывающей видимую и ближнюю ИК-области спектра (рис. 4). Подробно механизм возникновения данного электронного перехода, затрагивающего лиганд-центрированные высшую занятую и низшую вакантную орбитали комплексов рассмотрен в работах [25, 71]. Аналогично с ранее описанным 3,6-ди-трет-бутил-катехолатом меди(II) с акцепторными N-донорными лигандами в координационной сфере металла [25, 71] для соединений II–IV наблюдается наличие выраженного отрицательного сольватохромного эффекта. Данный эффект проявляется в гипсохромном смещении на ~70 нм длинноволновых пиков поглощения при переходе от тетрагидрофурана к более полярному [72] диметилформамиду. В ряду комплексов меди с нейтральными лигандами Phen–DPQ–DPPZ наблюдается дополнительный батохромный сдвиг длинноволновой полосы поглощения: II (620 нм в ТГФ)–III (655 нм в ТГФ)–IV (674 нм в ТГФ), связанный со стабилизацией низшей свободной молекулярной орбитали (НСМО), принадлежащей дииминовым лигандам, при расширении ароматической системы акцепторного фрагмента комплекса. Необходимо также отметить, что введение в катехолатный лиганд разветвленных трет-октильных заместителей приводит к красному сдвигу длинноволнового максимума в электронном спектре поглощения синтезированных комплексов меди II–IV по сравнению с их трет-бутильными [25, 71] аналогами. Это объясняется усилением положительного индукционного эффекта алкильных заместителей для производных II–IV, что способствует повышению уровня энергии высшей занятой молекулярной орбитали (ВЗМО), локализованной на донорном катехолатном дианионе. Таким образом, происходит сужение энергетической щели ВЗМО–НСМО и смещение полосы переноса заряда в длинноволновую область электронного спектра.
ЗАКЛЮЧЕНИЕ
В работе получены производные меди(II) на основе нового стерически загруженного лиганда 3,5-ди-трет-октил-о-бензохинона. Бис-о-семихинолят меди(II) (3,5-t-Oc-SQ)2Cu получен в виде мономера, что обусловлено наличием объемных заместителей в положениях 3 и 5 о-бензохинонового лиганда. Синтезированы димерные смешанолигандные 3,5-ди-трет-октил-катехолатные комплексы меди с координированными на атом металла фенантролиновыми лигандами. По данным электронной спектроскопии поглощения установлено, что производные II–IV демонстрируют поглощение, отвечающее возникновению электронных переходов лиганд–лиганд и обусловленных введением двух разнозаряженных редокс-активных лигандов (донорного катехолатного и акцепторного дииминового) в металлокомплексы.
БЛАГОДАРНОСТЬ
Работа выполнена с использованием оборудования центра коллективного пользования “Аналитический центр ИМХ РАН” (Нижний Новгород, Россия). Данные рентгеновской дифракции для комплекса II получены на рентгеновском пучке станции “Белок” Курчатовского центра синхротронного излучения в Национальном исследовательском центре “Курчатовский институт” (Москва, Россия).
ФИНАНСИРОВАНИЕ
Данное исследование выполнено в рамках государственного задания ИМХ РАН.
КОНФЛИКТ ИНТЕРЕСОВ
Авторы заявляют об отсутствии конфликта интересов.
About the authors
O. Y. Trofimova
Razuvaev Institute of Organometallic Chemistry of the Russian Academy of Sciences
							Author for correspondence.
							Email: olesya@iomc.ras.ru
				                					                																			                												                	Russian Federation, 							Nizhny Novgorod, 603950						
A. V. Maleeva
Razuvaev Institute of Organometallic Chemistry of the Russian Academy of Sciences
														Email: olesya@iomc.ras.ru
				                					                																			                												                	Russian Federation, 							Nizhny Novgorod, 603950						
M. V. Arseniev
Razuvaev Institute of Organometallic Chemistry of the Russian Academy of Sciences
														Email: olesya@iomc.ras.ru
				                					                																			                												                	Russian Federation, 							Nizhny Novgorod, 603950						
T. N. Kocherova
Razuvaev Institute of Organometallic Chemistry of the Russian Academy of Sciences
														Email: olesya@iomc.ras.ru
				                					                																			                												                	Russian Federation, 							Nizhny Novgorod, 603950						
A. V. Cherkasov
Razuvaev Institute of Organometallic Chemistry of the Russian Academy of Sciences
														Email: olesya@iomc.ras.ru
				                					                																			                												                	Russian Federation, 							Nizhny Novgorod, 603950						
I. A. Yakushev
Kurnakov Institute of General and Inorganic Chemistry of the Russian Academy of Sciences
														Email: olesya@iomc.ras.ru
				                					                																			                												                	Russian Federation, 							Moscow, 119991						
P. V. Dorovatovski
National Research Center “Kurchatov Institute”
														Email: olesya@iomc.ras.ru
				                					                																			                												                	Russian Federation, 							Moscow, 123182						
A. V. Piskunov
Razuvaev Institute of Organometallic Chemistry of the Russian Academy of Sciences
														Email: olesya@iomc.ras.ru
				                					                																			                												                	Russian Federation, 							Nizhny Novgorod, 603950						
References
- Nakada A., Matsumoto T., Chang H.-C. // Coord. Chem. Rev. 2022. V. 473. P. 214804. https://doi.org/10.1016/j.ccr.2022.214804
 - Chaudhuri P., Verani C.N., Bill E. et al. // J. Am. Chem. Soc. 2001. V. 123. P. 2213. https://doi.org/10.1021/ja003831d
 - Mukherjee R. // Inorg. Chem. 2020. V. 59. P. 12961. https://doi.org/10.1021/acs.inorgchem.0c00240
 - Sproules S., Wieghardt K. // Coord. Chem. Rev. 2010. V. 254. P. 1358. https://doi.org/10.1016/j.ccr.2009.12.012
 - Eisenberg R. // Coord. Chem. Rev. 2011. V. 255. P. 825. https://doi.org/10.1016/j.ccr.2010.09.003
 - Eisenberg R., Gray H.B. // Inorg. Chem. 2011. V. 50. P. 9741. https://doi.org/10.1021/ic2011748
 - Kusamoto T., Nishihara H. // Coord. Chem. Rev. 2019. V. 380. P. 419. https://doi.org/10.1016/j.ccr.2018.09.012
 - Kaim W., Schwederski B. // Coord. Chem. Rev. 2010. V. 254. P. 1580. https://doi.org/10.1016/j.ccr.2010.01.009
 - Kharisov B.I., Méndez-Rojas M.A., Garnovskii A.D. et al. // J. Coord. Chem. 2002. V. 55. P. 745. http://dx.doi.org/10.1080/0095897022000001511
 - Baryshnikova S.V., Poddel’sky A.I. // Molecules. 2022. V. 27. P. 3928.
 - Monni N., Angotzi M.S., Oggianu M. et al. // J. Mater. Chem. C. 2022. V. 10. P. 1548. https://doi.org/10.1039/d1tc05335c
 - Pierpont C.G. // Coord. Chem. Rev. 2001. V. 216–217. P. 99. https://doi.org/10.1016/S0010-8545(01)00309-5
 - Baryshnikova S.V., Poddel’sky A.I., Bellan E.V. et al. // Inorg. Chem. 2020. V. 59. P. 6774. https://doi.org/10.1021/acs.inorgchem.9b03757
 - Барышникова С.В., Беллан Е.В., Поддельский А.И. и др. // Докл. АН. 2017. Т. 474. № 1. С. 46. https://doi.org/10.7868/S0869565217130102
 - Piskunov A.V., Maleeva A.V., Bogomyakov A.S. et al. // Polyhedron. 2015. V. 102. P. 715. https://doi.org/10.1016/j.poly.2015.10.045
 - Piskunov A.V., Maleeva A.V., Fukin G.K. et al. // Inorg. Chim. Acta. 2017. V. 455. P. 213. https://doi.org/10.1016/j.ica.2016.10.030
 - Bellan E.V., Poddel’sky A.I., Protasenko N.A. et al. // Inorg. Chem. Commun. 2014. V. 50. P. 1. https://doi.org/10.1016/j.inoche.2014.10.001
 - Pierpont C.G. // Coord. Chem. Rev. 2001. V. 219–221. P. 415. https://doi.org/10.1016/S0010-8545(01)00342-3
 - Bellan E.V., Poddel’sky A.I., Protasenko N.A. et al. // ChemistrySelect. 2016. V. 1. P. 2988. https://doi.org/10.1002/slct.201600506
 - Protasenko N.A., Poddel’sky A.I. // Theor. Exp. Chem. 2020. V. 56. P. 338. https://doi.org/10.1007/s11237-020-09663-1
 - Pierpont C.G., Buchanan R.M. // Coord. Chem. Rev. 1981. V. 38. P. 45. https://doi.org/10.1016/S0010-8545(00)80499-3
 - Tezgerevska T., Alley K.G., Boskovic C. // Coord. Chem. Rev. 2014. V. 268. P. 23. https://doi.org/10.1016/j.ccr.2014.01.014
 - Малеева А.В., Трофимова О.Ю., Якушев И.А. и др. // Коорд. химия. 2023. Т. 49. № 7. C. 412. https://doi.org/10.31857/S0132344X2260059X
 - Ершова И.В., Малеева А.В., Айсин Р.Р. и др. // Изв. АН. Сер. хим. 2023. Т. 72. № 1. С. 193.
 - Pashanova K.I., Ershova I.V., Trofimova O.Y. et al. // Molecules. 2022. V. 27. P. 8175. https://doi.org/10.3390/molecules27238175
 - Maleeva A.V., Ershova I.V., Trofimova O.Y. et al. // Mendeleev Commun. 2022. V. 32. P. 83. https://doi.org/10.1016/j.mencom.2022.01.027
 - Kirk M.L., Shultz D.A., Marri A.R. et al. // J. Am. Chem. Soc. 2022. V. 144. P. 21005. https://doi.org/10.1021/jacs.2c09680
 - Pashanova K.I., Bitkina V.O., Yakushev I.A. et al. // Molecules. 2021. V. 26. P. 4622. https://doi.org/10.3390/molecules26154622
 - Kirk M.L., Shultz D.A., Hewitt P. et al. // Chemical Science. 2021. V. 12. P. 13704. https://doi.org/10.1039/D1SC02965G
 - Kirk M.L., Shultz D.A., Chen J. et al. // J. Am. Chem. Soc. 2021. V. 143. P. 10519. https://doi.org/10.1021/jacs.1c04149
 - Черкасова А.В., Кожанов К.А., Золотухин А.А. и др. // Коорд. химия. 2019. Т. 45. № 7. С. 404. https://doi.org10.1134/S0132344X19070028
 - Sobottka S., Nößler M., Ostericher A.L. et al. // Chem. Eur. J. 2020. V. 26. P. 1314. https://doi.org/10.1002/chem.201903700
 - Chiang L., Herasymchuk K., Thomas F. et al. // Inorg. Chem. 2015. V. 54. P. 5970. https://doi.org/10.1021/acs.inorgchem.5b00783
 - Kurahashi T., Fujii H. // J. Am. Chem. Soc. 2011. V. 133. P. 8307. https://doi.org/10.1021/ja2016813
 - Linfoot C.L., Richardson P., McCall K.L. et al. // Solar Energy. 2011. V. 85. P. 1195. https://doi.org/10.1016/j.solener.2011.02.023
 - Miao Q., Gao J., Wang Z. et al. // Inorg. Chim. Acta. 2011. V. 376. P. 619. https://doi.org/10.1016/j.ica.2011.07.046
 - Neuthe K., Popeney C.S., Bialecka K. et al. // Polyhedron. 2014. V. 81. P. 583. https://doi.org/10.1016/j.poly.2014.07.015
 - Cameron L.A., Ziller J.W., Heyduk A.F. // Chemical Science. 2016. V. 7. P. 1807. https://doi.org/10.1039/C5SC02703A
 - Deibel N., Schweinfurth D., Fiedler J. et al. // Dalton Trans. 2011. V. 40. P. 9925. https://doi.org/10.1039/C1DT10856E
 - Tahara K., Ashihara Y., Higashino T. et al. // Dalton Trans. 2019. V. 48. P. 7367. https://doi.org/10.1039/C8DT05057K
 - Romashev N.F., Abramov P.A., Bakaev I.V. et al. // Inorg. Chem. 2022. V. 61. P. 2105. https://doi.org/10.1021/acs.inorgchem.1c03314
 - Deibel N., Schweinfurth D., Hohloch S. et al. // Chem. Commun. 2012. V. 48. P. 2388. https://doi.org/10.1039/C2CC15245B
 - Yang J., Kersi D.K., Richers C.P. et al. // Inorg. Chem. 2018. V. 57. P. 13470. https://doi.org/10.1021/acs.inorgchem.8b02087
 - Shultz D.A., Stephenson R., Kirk M.L. // Dalton Trans. 2023. V. 52. P. 1970. https://doi.org/10.1039/D2DT03385B
 - Scattergood P.A., Jesus P., Adams H. et al. // Dalton Trans. 2015. V. 44. P. 11705. https://doi.org/10.1039/C4DT03466J
 - Бубнов М.П., Пискунов А.В., Золотухин А.А. и др. // Коорд. химия. 2020. Т. 46. С. 204. https://doi.org/10.31857/S0132344X20030019
 - Кочерова Т.Н., Дружков Н.О., Арсеньев М.В. и др. // Изв. АН. Сер. хим. 2023. Т. 72. С. 1192.
 - Кочерова Т.Н., Дружков Н.О., Мартьянов К.А. и др. // Изв. АН. Сер. хим. 2020. Т. 69. С. 2383.
 - Кочерова Т.Н., Дружков Н.О., Шавырин А.С. и др. // Изв. АН. Сер. хим. 2021. Т. 70. С. 916.
 - Малеева А.В., Трофимова О.Ю., Кочерова Т.Н. и др. // Коорд. химия. 2023. Т. 49. № 11. С. 693. https://doi.org/10.31857/S0132344X23600315
 - Климашевская А.В., Арсеньева К.В., Черкасов А.В. и др. // Журн. структур. химии. 2023. Т. 64. № 12. С. 118910. https://doi.org/10.26902/JSC_id118910
 - Барышникова С.В., Арсеньев М.В., Дружков Н.О. и др. // Коорд. химия. 2023. Т. 49. № 12. (в печати)
 - Van der Tol E.B., Van Ramesdonk H.J., Verhoeven J.W. et al. // Chem. Eur. J. 1998. V. 4. P. 2315.
 - Rigaku Oxford Diffraction C.s.s., ver. 1.171.41.39a. Rigaku Corporation, Wroclaw, Poland. 2020.
 - Sheldrick G.M. // Acta Crystallogr. 2015. V. C71. P. 3. https://doi.org/10.1107/S2053229614024218
 - Sheldrick G.M. // Acta Crystallogr. 2015. V. A71. P. 3. https://doi.org/10.1107/S2053273314026370
 - Svetogorov R.D., Dorovatovskii P.V., Lazarenko V.A. // Cryst. Res. Technol. 2020. V. 55. P. 1900184. https://doi.org/10.1002/crat.201900184
 - Kabsch W. // Acta Crystallogr., Sect. D. 2010. V. 66. P. 125. https://doi.org/10.1107/S0907444909047337
 - Dolomanov O.V., Bourhis L.J., Gildea R.J. et al. // J. Appl. Cryst. 2009. V. 42. P. 339. https://doi.org/10.1107/S0021889808042726
 - Ovcharenko V.I., Gorelik E.V., Fokin S.V. et al. // J. Am. Chem. Soc. 2007. V. 129. P. 10512. https://doi.org/10.1021/ja072463b
 - Veber S.L., Fedin M.V., Fokin S.V. et al. // Appl. Magn. Reson. 2010. V. 37. P. 693. https://doi.org/10.1007/s00723-009-0087-2
 - Thompson J.S., Calabrese J.C. // J. Am. Chem. Soc. 1986. V. 108. P. 1903. https://doi.org/10.1021/ja00268a031
 - Brown S.N. // Inorg. Chem. 2012. V. 51. P. 1251. https://doi.org/10.1021/ic202764j
 - Hathaway B.J., Billing D.E. // Coord. Chem. Rev. 1970. V. 5. P. 143. https://doi.org/10.1016/S0010-8545(00)80135-6
 - Piskunov A.V., Maleeva A.V., Mescheryakova I.N. et al. // Eur. J. Inorg. Chem. 2012. P. 4318. https://doi.org/10.1002/ejic.201200535
 - Chegerev M.G., Piskunov A.V., Maleeva A.V. et al. // Eur. J. Inorg. Chem. V. 2016. P. 3813. https://doi.org/10.1002/ejic.201600501
 - Davidson R.A., Hao J., Rheingold A.L. et al. // Polyhedron. 2017. V. 136. P. 176. https://doi.org/10.1016/j.poly.2017.10.003
 - Жеребцов М.А., Арсеньев М.В., Баранов Е.В. и др. // Журн. структур. химии. 2023. Т. 64. № 11. С. 117710. https://doi.org/10.26902/JSC_id117710
 - Verma P., Weir J., Mirica L. et al. // Inorg. Chem. 2011. V. 50. P. 9816. https://doi.org/10.1021/ic200958g
 - Бацанов С.С. // Журн. неорган. химии. 1991. Т. 36. С. 3015.
 - Трофимова О.Ю., Пашанова К.И., Ершова И.В. и др. // Журн. неорган. химии. 2023. Т. 68. № 9. С. 1154. https://doi.org/10.31857/S0044457X23600846
 - Райхардт К. Растворители и эффекты среды в органической химии. М.: Мир, 1991. 764 с.
 
Supplementary files
				
			
					
						
						
						
						
				







