Solubility of Scandium Cesium Double Sulfate CsSc(SO4)2 in Sulfuric Acid Solutions
- Authors: Pasechnik L.A.1, Medyankina I.S.1, Tyutyunnik A.P.1, Bamburov V.G.1
-
Affiliations:
- Institute of Solid-State Chemistry, Ural Branch, Russian Academy of Sciences
- Issue: Vol 68, No 12 (2023)
- Pages: 1799-1804
- Section: ФИЗИКО-ХИМИЧЕСКИЙ АНАЛИЗ НЕОРГАНИЧЕСКИХ СИСТЕМ
- URL: https://journals.rcsi.science/0044-457X/article/view/231677
- DOI: https://doi.org/10.31857/S0044457X23601268
- EDN: https://elibrary.ru/BVUSWO
- ID: 231677
Cite item
Full Text
Abstract
Cesium sulfatoscandate CsSc(SO4)2 (space group P
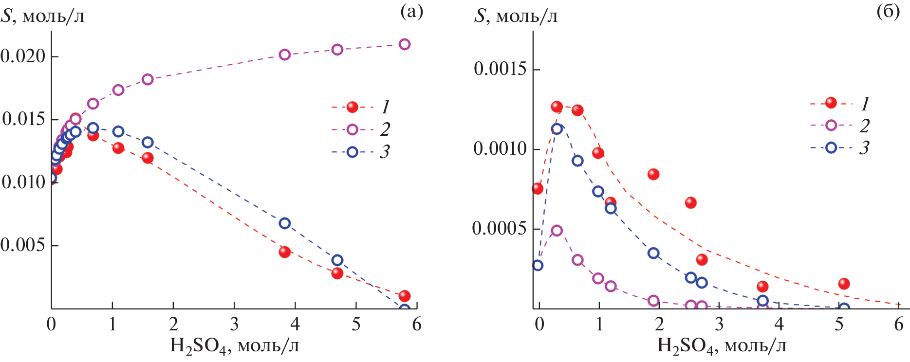
, a = b = 5.0971(1) Å, c = 8.6924(5) Å, V = 195.580(2) Å3, Z = 1) has been crystallized from aqueous solutions in layered hexagonal prisms sized up to 50 µm and up to 2–5 µm thick. Its water solubility is 0.0104 mol/L at 25 ± 1°С. A way to reduce the solubility of scandium as CsSc(SO4)2 is to increase acidity to 3.5–5.5 М H2SO4 and add Cs2SO4. Experimental evidence is supported by calculations that took into account changes in the ionic strength of the solution and the influence of the simultaneous presence of Cs+ and
ions. The results will be useful for those who will study the behavior of rare-metal compounds having similar properties and their separation.
Keywords
About the authors
L. A. Pasechnik
Institute of Solid-State Chemistry, Ural Branch, Russian Academy of Sciences
Email: pasechnik@ihim.uran.ru
620990, Yekaterinburg, Russia
I. S. Medyankina
Institute of Solid-State Chemistry, Ural Branch, Russian Academy of Sciences
Email: pasechnik@ihim.uran.ru
620990, Yekaterinburg, Russia
A. P. Tyutyunnik
Institute of Solid-State Chemistry, Ural Branch, Russian Academy of Sciences
Email: pasechnik@ihim.uran.ru
620990, Yekaterinburg, Russia
V. G. Bamburov
Institute of Solid-State Chemistry, Ural Branch, Russian Academy of Sciences
Author for correspondence.
Email: pasechnik@ihim.uran.ru
620990, Yekaterinburg, Russia
References
- Локшин Э.П., Тареева О.А. // Разработка технологий извлечения редкоземельных элементов при сернокислотной переработке Хибинского апатитового концентрата на минеральные удобрения. Апатиты: КНЦ РАН, 2015. 268 с.
- Sadri F., Nazari A.M., Ghahreman A. // J. Rare Earths. 2017. V. 35. P. 739. https://doi.org/10.1016/S1002-0721(17)60971-2
- Локшин Э.П., Тареева О.А. // Журн. прикл. химии. 2010. Т. 83. № 6. С. 899.
- Локшин Э.П., Тареева О.А. // Журн. прикл. химии. 2005. Т. 78. № 7. С. 1058.
- Петьков В.И., Боков А.И., Асабина Е.А., Боровикова Е.Ю. // Журн. общ. химии. 2022. Т. 92. № 11. С. 1803.
- Бушуев Н.Н., Тюльбенджян Г.С., Великодный Ю.А. и др. // Журн. прикл. химии. 2021. Т. 66. № 3. С. 382.
- Бушуев Н.Н., Егорова А.Н., Тюльбенджян Г.С. // Неорган. материалы. 2021. Т. 57. № 2. С. 150.
- Сусс А.Г., Козырев А.Б., Панов А.В. Пат. РФ 2647398. 2018.
- Pasechnik L.A., Skachkov V.M., Chufarov A.Yu. et al. // Hydrometallurgy. 2021. V. 202. P. 105597. https://doi.org/10.1016/j.hydromet.2021.105597
- Волков В.П., Гущин А.П., Соловьев Б.А. и др. Пат. РФ 2079431. 1997.
- Комиссарова Л.Н., Пушкина Г.Я., Шанский В.М. // Соединения редкоземельных элементов: сульфаты, селенаты, теллураты и хроматы. М.: Наука, 1986. 366 с.
- Комиссарова Л.Н. Неорганическая и аналитическая химия скандия. М.: Эдиториал УРСС, 2001. 512 с.
- Pasechnik L.A., Tyutyunnik A.P., Enyashin A.N. et al. // J. Solid State Chem. 2017. V. 255. P. 50. https://doi.org/10.1016/j.jssc.2017.07.037
- Pasechnik L.A., Tyutyunnik A.P., Enyashin A.N. et al. // CrystEngComm. 2018. V. 20. P. 3772. https://doi.org/10.1039/C8CE00593A
- Porvali A., Wilson B.P., Lundström M. // Waste Manag. 2018. V. 71. P. 381. https://doi.org/10.1016/j.wasman.2017.10.031
- Pasechnik L.A., Sabirzyanov N.A., Yatsenko S.P. // Omsk Scientific Bull. 2003. V. 25. P. 219. https://www.omgtu.ru/general_information/media_om-gtu/journal_of_omsk_research_journal/files/arhiv/20-03/4(25)%20pdf.pdf
- Скиба Г.С., Пономаренко Г.В., Кузнецов В.Я., Рыськина М.П. // Журн. неорган. химии. 2019. Т. 64. № 9. С. 991. https://doi.org/10.1134/S0044457X19090204
- Balinski A., Atanasova P., Wiche O. et al. // Hydrometallurgy. 2019. V. 186. P. 176. https://doi.org/10.1016/j.hydromet.2020.105345
- Воскобойников Н.Б., Скиба С.Г. Новые методы исследования растворимости в водно-солевых системах. Л.: Наука, 1986. 146 с.
- Комиссарова Л.Н., Башков Б.И., Шацкий В.М., Комиссарова Л.Н. // Журн. неорган. химии. 1970. Т. 15. № 6. С. 1507.
- Han K.N. // Mining. Metall. Explor. 2019. V. 36. P. 215. https://doi.org/10.1007/s42461-018-0029-3
- Иванов-Эмин Л.Г., Коротаева В.Г., Ремизов А.И., Ежов Б.Н. // Журн. неорган. химии. 1966. Т. 11. № 3. С. 511.
- Робинсон Р.А., Стокс Р.Г. Растворы электролитов. М.: Изд-во иностр. литер., 1963. 646 с.
- Shvarov Yu.V. // Appl. Geochem. 2015. V. 55. P. 17. https://doi.org/10.1016/j.apgeochem.2014.11.021
- Тарнопольская М.Е., Бычков А.Ю., Шваров Ю.В. // Геохимия. 2016. № 7. С. 659. https://doi.org/10.7868/S0016752516070116
- Das G., Lencka M.M., Eslamimanesh A. et al. // J. Chem. Thermodyn. 2019. V. 131. P. 499. https://doi.org/10.1016/j.jct.2018.10.020
- Han K.N., Kim R. // Minerals. 2021. V. 11. P. 670. https://doi.org/10.3390/min11070670
- Judge W.D., Ng K.L., Moldoveanu G.A. et al. // Hydrometallurgy. 2023. V. 218. Art. 106054. https://doi.org/10.1016/j.hydromet.2023.106054
- Локшин Э.П., Тареева О.А. // Журн. неорган. химии. 2007. Т. 52. № 12. С. 1946.
- Елохов А.М., Кудряшова О.С., Лукманова Л.М. и др. // Журн. неорган. химии. 2022. Т. 52. № 12. С. 1946.
Supplementary files





