Synthesis and Magnetic Resonance of Lanthanum Manganites Doped with Potassium Ions
- Authors: Steblevskaya N.I.1, Ziatdinov A.M.1, Belobeletskaya M.V.1, Saenko N.S.1
-
Affiliations:
- Institute of Chemistry, Far Eastern Branch, Russian Academy of Sciences
- Issue: Vol 68, No 12 (2023)
- Pages: 1715-1721
- Section: СИНТЕЗ И СВОЙСТВА НЕОРГАНИЧЕСКИХ СОЕДИНЕНИЙ
- URL: https://journals.rcsi.science/0044-457X/article/view/231659
- DOI: https://doi.org/10.31857/S0044457X23601013
- EDN: https://elibrary.ru/URYJWW
- ID: 231659
Cite item
Full Text
Abstract
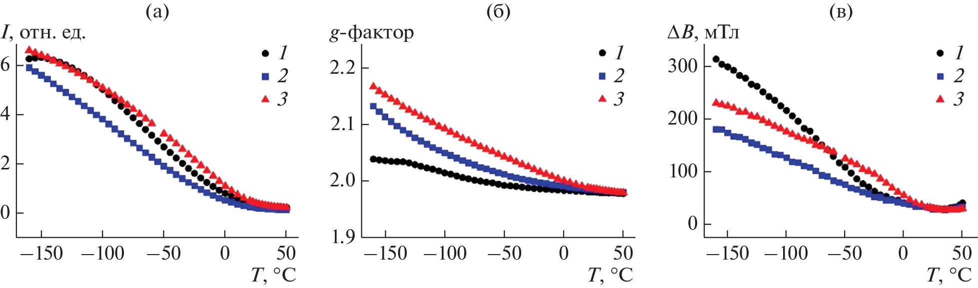
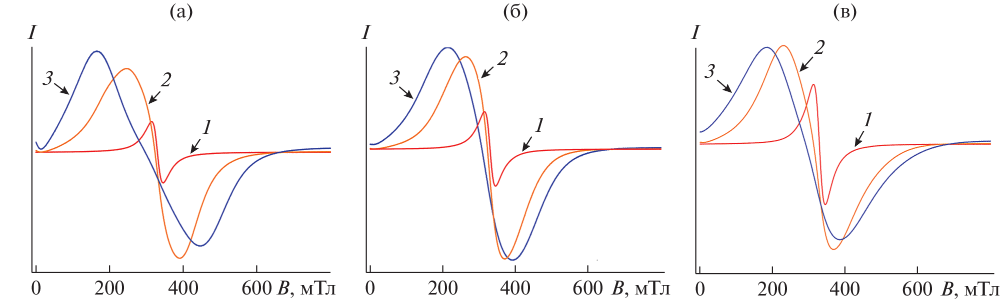
Manganites doped with potassium ions La1 – xKxMnO3, where х = 0.0, 0.1, and 0.15, have been obtained by extraction-pyrolytic method at low temperature. The compounds have been studied by X-ray powder diffraction, electronic paramagnetic and ferromagnetic resonances. Unit cell parameters of La1 – xKxMnO3 samples have been calculated. According to magnetic resonance spectroscopy, La1 – xKxMnO3 exhibits phase delamination into paramagnetic and ferromagnetic phases. The fraction of the latter phase increases when temperature decreases. The temperature of transition from paramagnetic into ferromagnetic phase (Curie temperature, TC) for La1 – xKxMnO3 is –17.4, –13.7, and –4.8°С at х = 0.0, 0.1, and 0.15, respectively. The reason of symbate change in TC and potassium ion concentration in La1 – xKxMnO3 is supposed to be the change in the content of ferromagnetic pairs Mn3+–О2––Mn4+ in the manganites.
About the authors
N. I. Steblevskaya
Institute of Chemistry, Far Eastern Branch, Russian Academy of Sciences
Email: steblevskaya@ich.dvo.ru
690022, Vladivostok, Russia
A. M. Ziatdinov
Institute of Chemistry, Far Eastern Branch, Russian Academy of Sciences
Email: steblevskaya@ich.dvo.ru
690022, Vladivostok, Russia
M. V. Belobeletskaya
Institute of Chemistry, Far Eastern Branch, Russian Academy of Sciences
Email: steblevskaya@ich.dvo.ru
690022, Vladivostok, Russia
N. S. Saenko
Institute of Chemistry, Far Eastern Branch, Russian Academy of Sciences
Author for correspondence.
Email: steblevskaya@ich.dvo.ru
690022, Vladivostok, Russia
References
- Guan X., Li H., Jin Sh. et al. // Ceram. Int. 2021. V. 47. № 13. P. 18931. https://doi.org//10.1016/j.ceramint.2021.03.235
- Sharma N.D., Sharma S., Choudhary N. et al. // Ceram. Int. 2019. V. 45. № 11. P. 13637. https://doi.org//10.1016/j.ceramint.2019.04.004
- Hur N., Paгk S., Shama P.A. et al. // Nature. 2004. V. 429. P. 392.
- Shivakumara C., Bellakki M.B. // Bull. Mater. Sci. 2009. V. 32. № 4. P. 443.
- Shaikh M.W., Varshney D. // Mater. Chem. Phys. 2012. V. 134. P. 886.
- Гончарь Л.Э. // Физика твердого тела. 2019. Т. 61. № 5. С. 841.
- Pchelina D.I., Sedykh V.D., Chistyakova N.I. et al. // J. Phys. Chem. Sol. 2021. V. 159. P. 110268. https://doi.org/10.26201/ISSP.2020/FKS-2.330
- Markovich V., Jung G., Fita I. et al. // J. Phys. D: Appl. Phys. 2008. V. 41. P. 185001. https://doi.org/10.1088/0022-3727/41/18/185001
- Zener C. // Phys. Rev. 1951. V. 82. № 3. P. 403. https://doi.org/10.1103/PhysRev.82.403
- Coey J.M.D., Viret M., Molnár S. // Adv. Phys. 1999. V. 48. P. 167. https://doi.org/10.1080/000187399243455
- Griffiths R.B. // Phys. Rev. Lett. 1969. V. 23. № 1. P. 17. https://doi.org/10.1103/PhysRevLett.23.17
- Ying Y., Eom T.W., Dai N.V. et al. // J. Magn. Magn. Mater. 2011. V. 323. № 1. P. 94. https://doi.org/10.1016/j.jmmm.2010.08.036
- Deisenhofer J., Braak D., von Nidda K.H.-A. et al. // Phys. Rev. Lett. 2005. V. 95. № 25. P. 257202. https://doi.org/10.1103/PhysRevLett.95.257202
- Eremina R.M., Yatsyk J.V., Mukovskii Ya.M. et al. // JETP Lett. 2007. V. 85. № 1. P. 51. https://doi.org/10.1134/S0021364007010109
- Буханько Ф.Н., Буханько А.Ф. // Физика твердого тела. 2022. Т. 64. № 7. С. 798.
- Патрин Г.С., Матаев М.М., Сейтбекова К.Ж. и др. // Физика твердого тела. 2020. Т. 62. № 8. С. 1204.
- Николаенко Ю.М., Эфрос Н.Б., Федюк Д.О. и др. // Физика твердого тела. 2022. Т. 64. № 7. С. 794.
- Повзнер А.А., Волков А.Г., Лопатко Э.И. и др. // Физика твердого тела. 2023. Т. 65. № 4. С. 545.
- Федорова А.В., Чежина Н.В., Пономарева Е.А. и др. // Журн. общей химии. 2023. Т. 93. № 1. С. 135. https://doi.org/10.31857/S0044460X23010158
- Федорова А.В., Чежина Н.В., Шиловских В.В. // Журн. общей химии. 2023. Т. 93. № 1. С. 139. https://doi.org/10.31857/S0044460X2301016X
- Mittovaa Ya., Perovb N.S., Tominaa E.V. et al. // Inorg. Mater. 2021. V. 57. № 13. P. 1340. https://doi.org/10.1134/S0020168521130033
- Стеблевская Н.И., Медков М.А., Ярусова С.Б. Получение и свойства функциональных материалов на основе оксидов редкоземельных и редких металлов. Владивосток: ВГУЭС, 2021. 348 с.
- Стеблевская Н.И., Белобелецкая М.В., Ткаченко И.А. и др. // Журн. неорган. химии. 2016. Т. 61. № 7. С. 920. https://doi.org/10.7868/S0044457X16070199
- Steblevskaya N.I. // Theor. Found. Chem. Engineering. 2022. V. 56. № 5. P. 905. https://doi.org/10.1134/S0040579522050165
- Камилов И.К., Гамзатов А.Г., Батдалов А.Б. и др. // Физика твердого тела. 2010. Т. 52. № 4. С. 735.
- Чукалкин Ю.Г., Теплых А.Е. // Физика твердого тела. 2006. Т. 48. № 12. С. 2310.
- Изюмов Ю.А., Скрябин Ю.Н. // Успехи физ. наук. 2001. Т. 172. № 2. С. 121.
- Dabrovski B., Rogacki K., Xiong X. et al. // Phys. Rev. 1988. V. 70. № 4. P. 5716.
- Awana V.P.S., Schimit E., Gmelin E. et al. // J. Appl. Phys. 2000. V. 87. № 4. P. 5034.
- Guskos N., Zolnierkiewicz G., Guskos A. et al. // Nanotechnology in the Security Systems. NATO Science for Peace and Security Series C: Environmental Security. Dordrecht: Springer, 2015. https://doi.org/10.1007/978-94-017-9005-5_4
- Castel V., Youssef J.B., Brosseau C. // J. Nanomaterials. 2007. V. 2007. P. 27437. https://doi.org/10.1155/2007/27437
- Bouzid S.A., Galca A.C., Sajieddine M. et al. // J. Alloys Compd. 2020. V. 839. P. 155546.
- Das S., Dey T.K. // J. Alloys Compd. 2007. V. 440. P. 30. https://doi.org/10.1016/j.jallcom.2006.09.051
Supplementary files






