Ruthenium Complexes Based on C2B9-nido-Carborane and Tridentate Phosphorus- and Nitrogen-Containing Ligands
- Authors: Kal’tenberg A.A.1, Bashilova A.D.1, Somov N.V.1, Malysheva Y.V.1, Grishin I.D.1
-
Affiliations:
- Lobachevsky State University of Nizhny Novgorod
- Issue: Vol 68, No 9 (2023)
- Pages: 1277-1286
- Section: КООРДИНАЦИОННЫЕ СОЕДИНЕНИЯ
- URL: https://journals.rcsi.science/0044-457X/article/view/136496
- DOI: https://doi.org/10.31857/S0044457X23700241
- EDN: https://elibrary.ru/WKKOGJ
- ID: 136496
Cite item
Full Text
Abstract
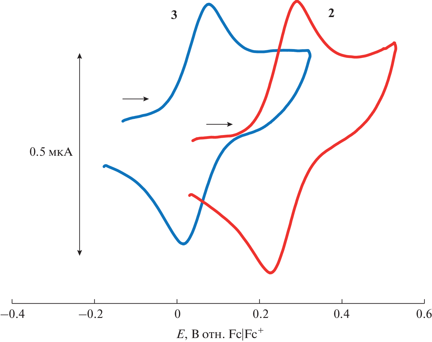
Reaction of bis(2-(diphenylphosphino)ethyl)benzylamine (PNP) and bis(2-methylpyridyl)benzylamine (NNN) with known closo-ruthenacarborane [3-H-3-Cl-3,3-(PPh3)2-3,1,2-RuC2B9H11] (1) leads to the formation of new ruthenium carborane complexes 3,3,3-(bis(2-(diphenylphosphino)ethyl)benzylamine)-closo-3,1,2-RuC2B9H11 (2) and 3,3,3-(bis(2-methylpyridyl)benzylamine)-pseudocloso-3,1,2-RuC2B9H11 (3), respectively. The resulting complexes have been studied by NMR and IR spectroscopy and time-of-flight MALDI MS. Geometry optimization of complex 2 obtained for the first time by quantum-chemical modeling reduces to the closo-configuration, while complex 3 is stable both in closo and pseudocloso forms. Using single-crystal X-ray diffraction, it has been found that complex 2 has a closo structure, whereas 3 has a pseudocloso structure. A study of the electrochemical properties showed that complexes 2 and 3 are capable of reversible oxidation.
About the authors
A. A. Kal’tenberg
Lobachevsky State University of Nizhny Novgorod
Email: grishin_i@ichem.unn.ru
603022, Nizhny Novgorod, Russia
A. D. Bashilova
Lobachevsky State University of Nizhny Novgorod
Email: grishin_i@ichem.unn.ru
603022, Nizhny Novgorod, Russia
N. V. Somov
Lobachevsky State University of Nizhny Novgorod
Email: grishin_i@ichem.unn.ru
603022, Nizhny Novgorod, Russia
Yu. V. Malysheva
Lobachevsky State University of Nizhny Novgorod
Email: grishin_i@ichem.unn.ru
603022, Nizhny Novgorod, Russia
I. D. Grishin
Lobachevsky State University of Nizhny Novgorod
Author for correspondence.
Email: grishin_i@ichem.unn.ru
603022, Nizhny Novgorod, Russia
References
- Matveev E.Yu., Avdeeva V.V., Zhizhin K.Yu. et al. // Inorganics. 2022. V. 10. P. 238. https://doi.org/10.3390/inorganics10120238
- Сиваев И.Б. // Журн. неорган. химии. 2021. Т. 66. № 9. С. 1192.
- Стогний М.Ю., Богданова Е.В., Ануфриев С.А., Сиваев И.Б. // Журн. неорган. химии. 2021. Т. 67. № 10. С. 1390.
- Yao Z.J., Lin Y.J., Li Z.H., Jin G.X. // Chem. Eur. J. 2013. V. 19. № 8. P. 2611. https://doi.org/10.1002/chem.201203850
- Powley S.L., Rosair G.M., Welch A.J. // Dalton Trans. 2016. V. 45. № 29. P. 11742. https://doi.org/10.1039/c6dt01888b
- Gozzi M., Schwarze B., Coburger P., Hey-Hawkins E. // Inorganics. 2019. V. 7. № 7. P. 91. https://doi.org/10.3390/INORGANICS7070091
- Джонс Дж.Дж., Робертсон А.П.М., Розэйр Дж.М., Уэлч А.Дж. // Изв. АН. Сер. Хим. 2020. С. 1594.
- Garrioch R.M., Rosair G.M., Welch A.J. // J. Organomet. Chem. 2000. V. 614-615. P. 153. https://doi.org/10.1016/S0022-328X(00)00572-6
- McIntosh R.D., Ellis D., Giles B.T. et al. // Inorg. Chim. Acta. 2006. V. 359. P. 3745. https://doi.org/10.1016/j.ica.2006.01.023
- Reed D., Welch A.J., Cowie J. et al. // Inorg. Chim. Acta. 1999. V. 289. P. 125. https://doi.org/10.1016/s0020-1693(99)00062-6
- Alekseev L.S., Dolgushin F.M., Chizhevsky I.T. // J. Organomet. Chem. 2008. V. 693. P. 3331. https://doi.org/10.1016/j.jorganchem.2008.06.018
- Vinogradov M.M., Nelyubina Y.V., Loginov D.A., Kudinov A.R. // J. Organomet. Chem. 2015. V. 798. № 1. P. 257. https://doi.org/10.1016/ j.jorganchem.2015.04.007
- Jones J.J., English L.E., Robertson A.P.M. et al. // J. Organomet. Chem. 2018. V. 865. P. 65. https://doi.org/10.1016/j.jorganchem.2018.02.007
- Кальтенберг А.А., Пенкаль А.М., Сомов Н.В., Гришин И.Д. // Изв. АН. Сер. Хим., 2020. С. 770
- Kaltenberg A.A. et al. // J. Organomet. Chem. 2020, V. 917. P. 121291. https://doi.org/10.1016/j.jorganchem.2020.121291
- Kaltenberg A.A., Somov N.V., Malysheva Y.B. et al. // Eur. J. Inorg. Chem. 2021. V. 46. P. 4868. https://doi.org/10.1002/ejic.202100765
- Chizhevsky I.T., Lobanova I.A., Bregadze V.I. et al. // Mendeleev Commun. 1991. V. 1. P. 47. https://doi.org/10.1070/MC1991v001n02ABEH000027
- Rahman M.S., Prince P.D., Steed J.W., Hii K.K. // Organometallics. 2002. V. 21. P. 4927. https://doi.org/10.1021/om0201314
- Misawa-Suzuki T., Matsuya K., Watanabe T., Nagao H. // Dalton Trans. 2018. V. 47. P. 16182. https://doi.org/10.1039/C8DT03507E
- Гришин И.Д., Агафонова К.С., Тюрин А.П. и др. // Изв. АН. Сер. Хим., 2014. С. 945.
- Frisch M.J., Trucks G.W., Schlegel H.B. et al. Gaussian 03, Revision E.01, Gaussian Inc., Wallingford, CT (2004).
- Perdew J.P., Wang Y. // Phys. Rev. B. 1992. V. 45. P. 13244. https://doi.org/10.1103/PhysRevB.45.13244
- Hay P.J., Wadt W.R. // J. Chem. Phys. 1985. V. 82. P. 270. https://doi.org/10.1063/1.448799
- Sheldrick G.M. // Acta Cryst. Sect. A. 2015. V. 71. P. 3. https://doi.org/10.1063/1.448799
- Hübschle C.B., Sheldrick G.M., Dittrich B. // J. Appl. Cryst. 2011. V. 44. P. 1281. https://doi.org/10.1107/S0021889811043202
- Clark R.C., Reid J.S. // Acta Cryst. 1995. V. 51. P. 887. https://doi.org/10.1107/S0108767395007367
- Bould J., Kennedy J.D. // J. Organomet. Chem. 2014. V. 749. P. 163. https://doi.org/10.1016/j.jorganchem.2013.08.018
- Mishra H., Patra A.K., Mukherjee R. // Inorganica Chimica Acta. 2009. V. 362. P. 483. https://doi.org/10.1016/j.ica.2008.04.043
- Ramaraj A., Nethaji M., Jagirdar B.R. // Dalton Trans. 2014. V. 43. P. 14625 https://doi.org/10.1039/C4DT01570C
- Ramaraj A., Hari K., Reddy K. et al. // Organometallics. 2017. V. 36. P. 2736. https://doi.org/10.1021/acs.organomet.7b00210
- Bianchini C., Innocenti P., Peruzzini M. al. // Organometallics. 1996. V. 15. P. 272. https://doi.org/10.1021/om950721k
- Zimina A.M., Knyazeva N.A., Balagurova E.V. et al. // J. Organomet. Chem. 2021. V. 946–947. P. 121908. https://doi.org/10.1016/j.jorganchem.2021.121908
Supplementary files










