Zinc(II) Chelate Complexes with Redox-Active o-Indophenols: Synthesis and Structure
- Authors: Ivakhnenko E.P.1, Vitkovskaya Y.G.1, Lysenko K.A.2, Kislitsyn S.E.1, Starikov A.G.1, Knyazev P.A.1, Tereshchenko A.A.3, Minkin V.I.1
-
Affiliations:
- Institute of Physical and Inorganic Chemistry, Southern Federal University
- Moscow State University
- International Institute for Smart Materials, Southern Federal University
- Issue: Vol 68, No 9 (2023)
- Pages: 1181-1191
- Section: КООРДИНАЦИОННЫЕ СОЕДИНЕНИЯ
- URL: https://journals.rcsi.science/0044-457X/article/view/136472
- DOI: https://doi.org/10.31857/S0044457X23600640
- EDN: https://elibrary.ru/YCYULF
- ID: 136472
Cite item
Full Text
Abstract
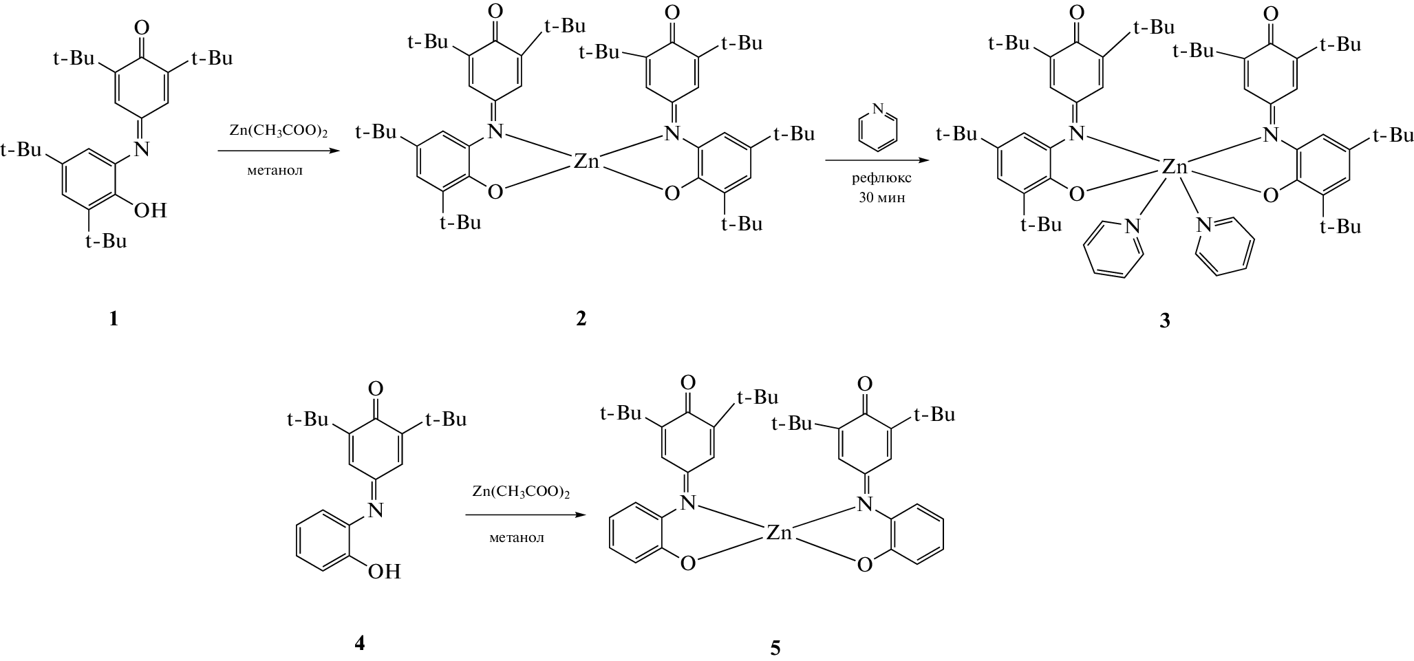
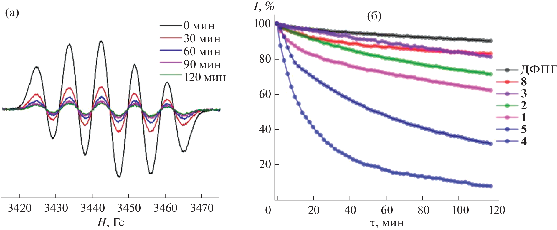
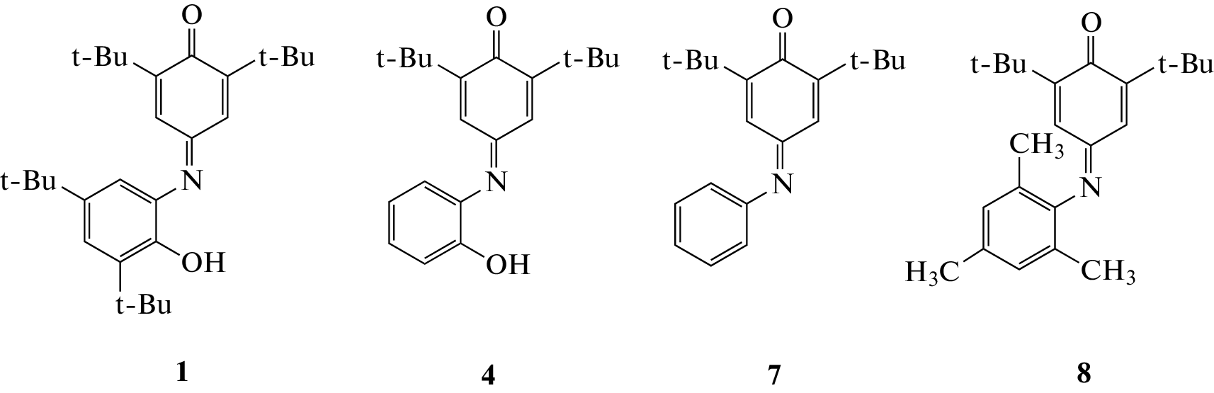
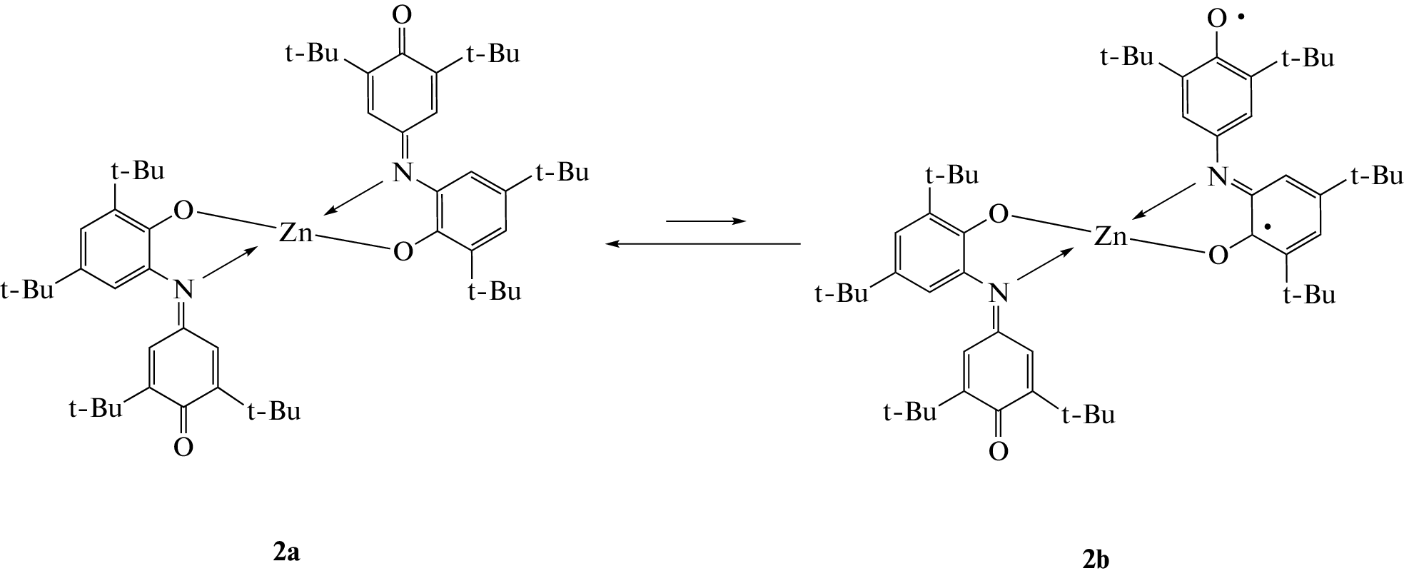
Zinc(II) complexes 2, 3, and 5 with redox-amphoteric o-indophenol ligands were prepared. The molecular structures of tetracoordinate complex 2 and hexacoordinate complex 3 were determined by single-crystal X-ray diffraction. The antioxidant properties of indophenols and their complexes were studied by cyclic voltammetry (CVA) and EPR spectroscopy. Complexation of indophenols increases the oxidation potentials by more than 0.84 V and leads to the formation of stable metal-containing radicals.
About the authors
E. P. Ivakhnenko
Institute of Physical and Inorganic Chemistry, Southern Federal University
Email: ivakhnenko@sfedu.ru
344091, Rostov-on-Don, Russia
Yu. G. Vitkovskaya
Institute of Physical and Inorganic Chemistry, Southern Federal University
Email: ivakhnenko@sfedu.ru
344091, Rostov-on-Don, Russia
K. A. Lysenko
Moscow State University
Email: ivakhnenko@sfedu.ru
119991, Moscow, Russia
S. E. Kislitsyn
Institute of Physical and Inorganic Chemistry, Southern Federal University
Email: ivakhnenko@sfedu.ru
344091, Rostov-on-Don, Russia
A. G. Starikov
Institute of Physical and Inorganic Chemistry, Southern Federal University
Email: ivakhnenko@sfedu.ru
344090, Rostov-on-Don, Russia
P. A. Knyazev
Institute of Physical and Inorganic Chemistry, Southern Federal University
Email: ivakhnenko@sfedu.ru
344090, Rostov-on-Don, Russia
A. A. Tereshchenko
International Institute for Smart Materials, Southern Federal University
Email: ivakhnenko@sfedu.ru
344090, Rostov-on-Don, Russia
V. I. Minkin
Institute of Physical and Inorganic Chemistry, Southern Federal University
Author for correspondence.
Email: ivakhnenko@sfedu.ru
344091, Rostov-on-Don, Russia
References
- Любченко С.Н., Литвинов В.В., Рыскина Т.А. и др. // Журн. общ. химии. 1990. Т. 60. № 7. С. 1618.
- Olekhnovich L.P., Ivakhnenko E.P., Lyubchenko S.N. et al. // Rossijskij Khimicheskij Zhurnal (Zhurnal Rossijskogo Khimicheskogo Obshchestva Im. D.I. Mendeleeva). 2004. V. 48. № 1. P. 103.
- Erickson A.N., Brown S.N. // Dalton Trans. 2018. V. 47. P. 15583. https://doi.org/10.1039/C8DT03392G
- Bally T. // Nat. Chem. 2010. V. 2. P. 165. https://doi.org/10.1038/nchem.564
- Sheldrick G.M. // Acta Crystallogr., Sect A. 2008. V. 64. P. 112. https://doi.org/10.1107/S0108767307043930
- Frisch M.J., Trucks G.W., Schlegel H.B. et al. // Gaussian 16 (Revision A.03), Gaussian, Inc., Wallingford (CT), 2016.
- Kohn W., Sham L.J. // Phys. Rev. 1965. V. 140. P. A1133. https://doi.org/10.1103/PhysRev.140.A1133
- Becke A.D. // J. Chem. Phys. 1993. V. 98. P. 5648. https://doi.org/10.1063/1.464913
- Chegerev M.G., Starikova A.A., Starikov A.G. et al. // Mendeleev Commun. 2022. V. 32. № 1. P. 49. https://doi.org/10.1016/j.mencom.2022.01.015
- Noodleman L. // J. Chem. Phys. 1981. V. 74. P. 5737. https://doi.org/10.1063/1.440939
- Shoji M., Koizumi K., Kitagawa Y. et al. // Chem. Phys. Lett. 2006. V. 432. P. 343. https://doi.org/10.1016/j.cplett.2006.10.023
- Chemcraft, version 1.8, 2014: http://www.chemcraftprog.com
- Ley K., Müller E. // Chem. Ber. 1956. V. 89. P. 1402. https://doi.org/10.1002/cber.19560890607
- Любченко С.Н., Ивахненко Е.П., Рыскина Т.А. и др. // Журн. общ. химии. 1989. Т. 59. № 5. С. 1104.
- Evangelio E., Ruiz-Molina D. // Eur. J. Inorg. Chem. 2005. № 15. P. 2957. https://doi.org/10.1002/ejic.200500323
- Tezgerevska T., Alley K.G., Boskovic C. // Coord. Chem. Rev. 2014. V. 268. P. 23. https://doi.org/10.1016/j.ccr.2014.01.014
- Minkin V.I., Starikov A.G. // Russ. Chem. Bull. 2015. V. 64. P. 475. https://doi.org/10.1007/s11172-015-0891-9
- Ershova I.V., Piskunov A.V., Cherkasov V.K. // Russ. Chem. Rev. 2020. V. 89. № 11. P. 1157. https://doi.org/10.1070/RCR4957
- Ovcharenko V.I., Kuznetsova O.V. // Russ. Chem. Rev. 2020. V. 89. № 11. P. 1261. https://doi.org/10.1070/RCR4981
- Fedushkin I.L., Maslova O.V., Baranov E.V. et al. // Inorg. Chem. 2009. V. 48. № 6. P. 2355. https://doi.org/10.1021/ic900022s
- Fedushkin I., Maslova O., Morozov A. et al. // Angew. Chem., Int. Ed. 2012. V. 51. № 42. P. 10584. https://doi.org/10.1002/anie.201204452
- Chegerev M.G., Starikova A.A., Piskunov A.V. et al. // Eur. J. Inorg. Chem. 2016. № 2. P. 252. https://doi.org/10.1002/ejic.201501155
- Chegerev M.G., Piskunov A.V., Starikova A.A. et al. // Eur. J. Inorg. Chem. 2018. № 9. P. 1087. https:// https://doi.org/10.1002/ejic.201701361
- Chegerev M.G., Piskunov A.V. // Russ. J. Coord. Chem. 2018. V. 44. № 4. P. 258. https://doi.org/10.1134/S1070328418040036
- Chaudhuri P., Hess M., Hildenbrand K. et al. // Inorg. Chem. 1999. V. 38. № 12. P. 2781. https://doi.org/10.1021/ic990003g
- Starikov A.G., Minkin V.I., Minyaev R.M. et al. // J. Phys. Chem. A. 2010. V. 114. № 29. P. 7780. https://doi.org/10.1021/jp101353m
- Coppinger G.M. // Tetrahedron. 1962. V. 18. P. 61. https://doi.org/10.1016/0040-4020(62)80024-6
- Ivakhnenko E.P. // Zh. Org. Khim. 1983. V. 19. № 4. P. 886.
- Prokof'ev A.I., Solodovnikov S.P., Nikiforov G.A. et al. // Russ. Chem. Bull. 1971. V. 2. P. 324.
- Ivakhnenko E.P., Knyazev P.A., Vitkovskaya Yu.G. et al. // Eur. J. Inorg. Chem. 2021. № 21. P. 2055. https://doi.org/10.1002/ejic.202100184
Supplementary files












