Phase Equilibria and Thermodynamic Properties of Phases in the H2O–Gd(NO3)3 System
- Authors: Dzuban A.V.1, Novikov A.A.1,2, Nesterov A.V.1,2, Qianchen S.2, Kovalenko N.A.1, Uspenskaya I.A.1
-
Affiliations:
- Faculty of Chemistry, Moscow State University
- Faculty of Materials Science, Shenzhen MSU-BIT University
- Issue: Vol 68, No 2 (2023)
- Pages: 248-255
- Section: ФИЗИКОХИМИЯ РАСТВОРОВ
- URL: https://journals.rcsi.science/0044-457X/article/view/136469
- DOI: https://doi.org/10.31857/S0044457X22601419
- EDN: https://elibrary.ru/LPCEXU
- ID: 136469
Cite item
Full Text
Abstract
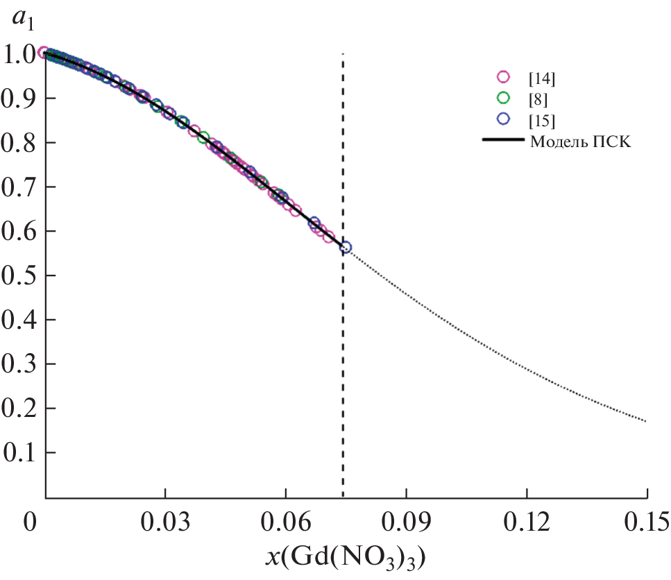
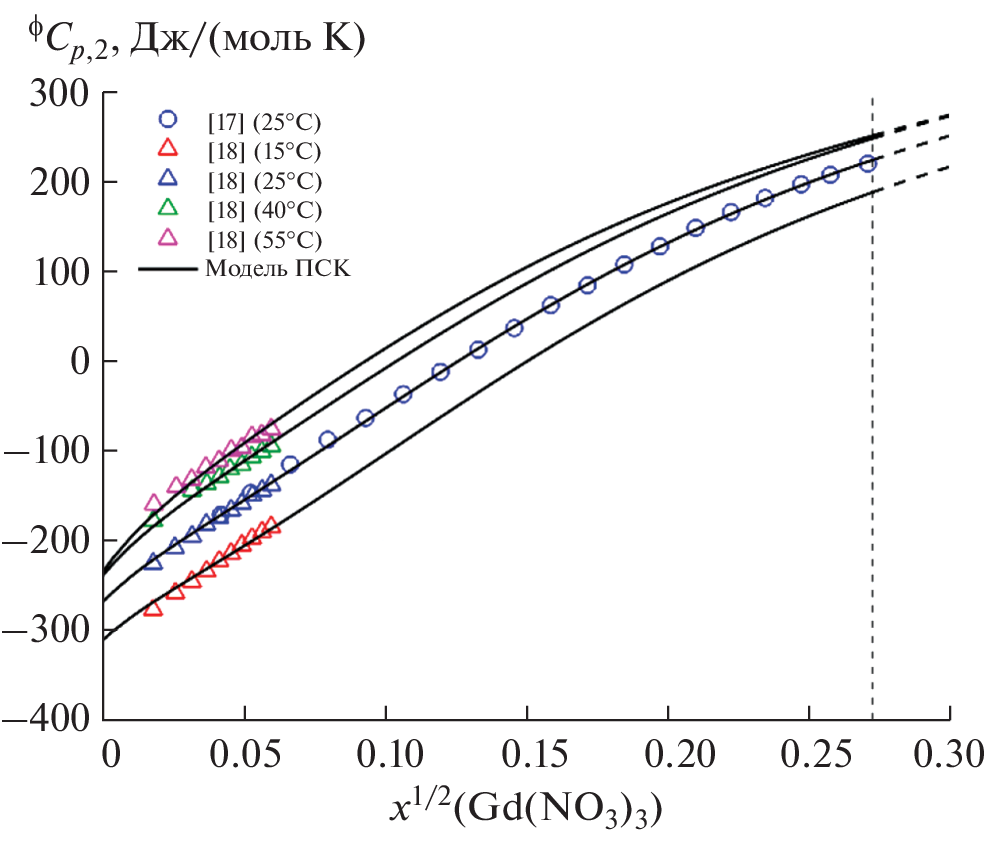
Solid–liquid equilibria in the system H2O–Gd(NO3)3 were measured from –20 to 70°C using the isothermal saturation method. The Pitzer–Simonson–Clegg thermodynamic model was implemented to obtain the temperature dependence of Gd(NO3)3⋅6H2O solubility constant, to calculate salt solubility and to construct a phase diagram of the system from eutectic point to hydrate melting. Thermochemical properties of gadolinium nitrate aqueous solutions, such as dilution enthalpies and heat capacities, were assessed also. The model has shown to be reliable for phase equilibria calculation from –35 to 90°C and from 0 up to ~15 mol % of salt as well as the thermodynamic properties of Gd(NO3)3 aqueous solutions at room temperature and around it.
About the authors
A. V. Dzuban
Faculty of Chemistry, Moscow State University
Email: kovalenko@td.chem.msu.ru
119991, Moscow, Russia
A. A. Novikov
Faculty of Chemistry, Moscow State University; Faculty of Materials Science, Shenzhen MSU-BIT University
Email: kovalenko@td.chem.msu.ru
119991, Moscow, Russia; 518172, Shenzhen, Guangdong Province, China
A. V. Nesterov
Faculty of Chemistry, Moscow State University; Faculty of Materials Science, Shenzhen MSU-BIT University
Email: kovalenko@td.chem.msu.ru
119991, Moscow, Russia; 518172, Shenzhen, Guangdong Province, China
Sh. Qianchen
Faculty of Materials Science, Shenzhen MSU-BIT University
Email: kovalenko@td.chem.msu.ru
518172, Shenzhen, Guangdong Province, China
N. A. Kovalenko
Faculty of Chemistry, Moscow State University
Email: kovalenko@td.chem.msu.ru
119991, Moscow, Russia
I. A. Uspenskaya
Faculty of Chemistry, Moscow State University
Author for correspondence.
Email: kovalenko@td.chem.msu.ru
119991, Moscow, Russia
References
- Поляков Е.Г., Нечаев А.В., Смирнов А.В. Металлургия редкоземельных металлов: учебное пособие для вузов. 2-е изд., стер. М.: Изд-во Юрайт, 2021. 501 с.
- Крюков В.А., Толстов А.В., Самсонов Н.Ю. // ЭКО. 2016. № 11. С. 5.
- Zhang J., Zhao B., Schreiner B. Separation Hydrometallurgy of Rare Earth Elements, Springer Cham, 2016. 259 p. https://doi.org/10.1007/978-3-319-28235-0
- Turanov A.N., Karandashev V.K., Burmii Z.P. et al. // Russ. J. Gen. Chem. 2022. V. 92. № 3. P. 418. https://doi.org/10.1134/S1070363222030082
- Arkhipin A.S., Nesterov A.V., Kovalenko N.A. et al. // J. Chem. Eng. Data. 2021. V. 66. № 4. P. 1694. https://doi.org/10.1021/acs.jced.0c01006
- Radhika S., Kumar B.N., Kantam M.L. et al. // Sep. Purif. Technol. 2010. V. 75. № 3. P. 295. https://doi.org/10.1016/j.seppur.2010.08.018
- Kurdakova S.V., Kovalenko N.A., Petrov V.G. et al. // J. Chem. Eng. Data. 2017. V. 62. № 12. P. 4337. https://doi.org/10.1021/acs.jced.7b00696
- Chatterjee S., Campbell E.L., Neiner D. et al. // J. Chem. Eng. Data. 2015. V. 60. № 10. P. 2974. https://doi.org/10.1021/acs.jced.5b00392
- Maksimov A.I., Kovalenko N.A., Uspenskaya I.A. // Calphad. 2019. V. 67. P. 101683. https://doi.org/10.1016/j.calphad.2019.101683
- Guignot S., Lassin A., Christov C. et al. // J. Chem. Eng. Data. 2019. V. 64. № 1. P. 345. https://doi.org/10.1021/acs.jced.8b00859
- Moiseev A.E., Dzuban A.V., Gordeeva A.S. et al. // J. Chem. Eng. Data. 2016. V. 61. № 9. P. 3295. https://doi.org/10.1021/acs.jced.6b00357
- Scandium, Yttrium, Lanthanum and Lanthanide Nitrates // IUPAC. Solubility Data Ser / Eds. Siekierski S., Mioduski T., Salomon M. N.Y.: Pergamon Press Inc., 1983. P. 15.
- Moret R. // Thèse doctorat, l’Université Lausanne, 1963.
- Rard J.A., Shiers L.E., Heiser D.J. et al. // J. Chem. Eng. Data. 1977. V. 22. № 3. P. 337. https://doi.org/10.1021/je60074a015
- Libuś Z., Sadowska T., Trzaskowski J. // J. Chem. Thermodyn. 1979. V. 11. № 12. P. 1151. https://doi.org/10.1016/0021-9614(79)90107-1
- Spedding F.H., Derer J.L., Mohs M.A. et al. // J. Chem. Eng. Data. 1976. V. 21. № 4. P. 474. https://doi.org/10.1021/je60071a028
- Spedding F.H., Baker J.L., Walters J.P. // J. Chem. Eng. Data. 1979. V. 24. № 4. P. 298. https://doi.org/10.1021/je60083a033
- Hakin A.W., Liu J.L., Erickson K. et al. // J. Chem. Thermodyn. 2005. V. 37. № 2. P. 153. https://doi.org/10.1016/j.jct.2004.08.010
- Pitzer K.S., Peterson J.R., Silvester L.F. // J. Solut. Chem. 1978. V. 7. № 1. P. 45. https://doi.org/10.1007/BF00654217
- Dzuban A.V., Galstyan A.A., Kovalenko N.A. et al. // Russ. J. Phys. Chem. A. 2021. V. 95. № 12. P. 2394. https://doi.org/10.1134/S0036024421120074
- May P.M., Rowland D. // J. Chem. Eng. Data. 2017. P. Acs. Jced.6b01055 https://doi.org/10.1021/acs.jced.6b01055
- Clegg S.L., Pitzer K.S. // J. Phys. Chem. 1992. V. 96. № 8. P. 3513. https://doi.org/10.1021/j100187a061
- Clegg S.L., Pitzer K.S., Brimblecombe P. // J. Phys. Chem. 1992. V. 96. № 23. P. 9470. https://doi.org/10.1021/j100202a074
- Pitzer K.S., Simonson J.M. // J. Phys. Chem. 1986. V. 90. № 13. P. 3005. https://doi.org/10.1021/j100404a042
- Baes C.F., Mesmer R.E. The hydrolysis of cations. N.Y.: Wiley, 1976. 489 p.
- Rizkalla E.N., Choppin G.R. Hydration and hydrolysis of lanthanides // Handb. Phys. Chem. Rare Earths. V. 15. North Holland, 1991.
- Spedding F.H., Pikal M.J., Ayers B.O. // J. Phys. Chem. 1966. V. 70. № 8. P. 2440. https://doi.org/10.1021/j100880a003
- Revised Release on the IAPWS Industrial Formulation 1997 for the Thermodynamic Properties of Water and Steam (The revision only relates to the extension of region 5 to 50 MPa), The International Association for the Properties of Water and Steam, Lucerne, Switzerland, 2007.
- Criss C.M., Millero F.J. // J. Solut. Chem. 1999. V. 28. № 7. P. 849. https://doi.org/10.1023/A:1021732214671
- Kosova D.A., Voskov A.L., Kovalenko N.A. et al. // Fluid Phase Equilib. 2016. V. 425. P. 312. https://doi.org/10.1016/j.fluid.2016.06.021
- CRC Handbook of Chemistry and Physics / Eds. Rumble J.R., Bruno T.J., Doa M.J. Boca Raton: CRC Press/Taylor & Francis Group, 2021.
- Quill L.L., Robey R.F. // J. Am. Chem. Soc. 1937. V. 59. № 6. P. 1071. https://doi.org/10.1021/ja01285a031
Supplementary files






