Термодинамическая характеризация летучих алкиламинборанов как прекурсоров формирования пленок BCxNy
- Авторы: Сысоев С.В.1, Суляева В.С.1, Косинова М.Л.1
-
Учреждения:
- Институт неорганической химии им. А.В. Николаева СО РАН
- Выпуск: Том 68, № 2 (2023)
- Страницы: 241-247
- Раздел: ФИЗИКО-ХИМИЧЕСКИЙ АНАЛИЗ НЕОРГАНИЧЕСКИХ СИСТЕМ
- URL: https://journals.rcsi.science/0044-457X/article/view/136467
- DOI: https://doi.org/10.31857/S0044457X22601535
- EDN: https://elibrary.ru/LPNYDA
- ID: 136467
Цитировать
Полный текст
Аннотация
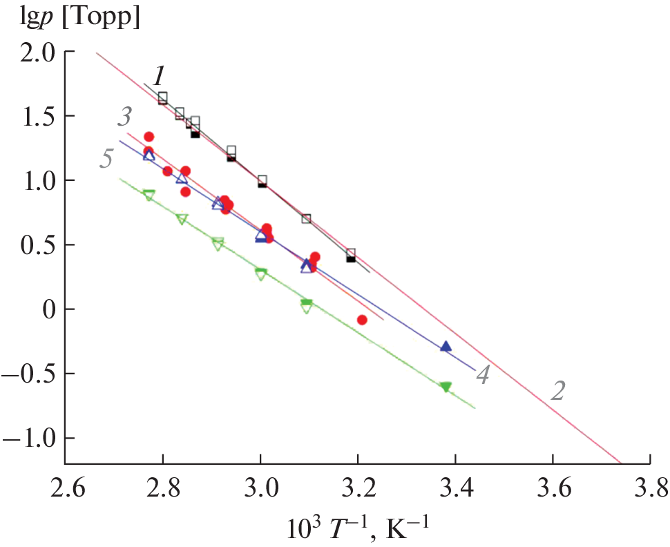
В результате тензиметрических исследований установлены температурные зависимости давления насыщенного пара и рассчитаны термодинамические характеристики процессов парообразования алкиламинборанов R3N · BH3 (R = Me, Et). Данные соединения обладают достаточной летучестью и термической устойчивостью для применения в качестве исходных веществ в процессах газофазного осаждения для получения пленок на основе фаз системы B–C–N. Триэтиламинборан использовали для синтеза пленок карбонитрида бора при температурах 773 и 873 K. Свойства полученных слоев изучены методами эллипсометрии, атомно-силовой и сканирующей электронной микроскопии, ИК-, КР- и энергодисперсионной спектроскопии. Определены условия получения сплошных однородных пленок, состоящих из наночастиц размером 20–60 нм, агрегированных в более крупные образования псевдогексагональной формы. Поверхность пленок имеет среднеарифметическую и среднеквадратичную шероховатость, равную 0.8 и 1.0 нм соответственно.
Об авторах
С. В. Сысоев
Институт неорганической химии им. А.В. Николаева СО РАН
Email: tv@niic.nsc.ru
Россия, 630090, Новосибирск, пр-т Академика Лаврентьева, 3
В. С. Суляева
Институт неорганической химии им. А.В. Николаева СО РАН
Email: tv@niic.nsc.ru
Россия, 630090, Новосибирск, пр-т Академика Лаврентьева, 3
М. Л. Косинова
Институт неорганической химии им. А.В. Николаева СО РАН
Автор, ответственный за переписку.
Email: tv@niic.nsc.ru
Россия, 630090, Новосибирск, пр-т Академика Лаврентьева, 3
Список литературы
- Nehate S.D., Saikumar A.K., Prakash A., Sundaram K.B. // Mater. Today Adv. 2020. V. 8. P. 100106. https://doi.org/10.1016/j.mtadv.2020.100106
- Козлов Д.А., Артамонов К.А., Ревенко А.О. и др. // Журн. неорган. химии. 2022. Т. 67. № 5. С. 646. https://doi.org/10.31857/S0044457X22050105
- Puyoo G., Teyssandier F., Pailler R. et al. // Carbon. 2017. V. 122. P. 19. https://doi.org/10.1016/j.carbon.2017.06.024
- Kimura C., Sota H., Aoki H., Sugino T. // Diam. Relat. Mater. 2009. V. 18. P. 478. https://doi.org/10.1016/j.diamond.2008.12.004
- Qin L., Yu J., Kuang S. et al. // Nanoscale. 2012. V. 4. P. 120. https://doi.org/10.1039/c1nr11387a
- Kumar N., Raidongia K., Mishra A.K. et al. // J. Solid State Chem. 2011. V. 184. P. 2902. https://doi.org/10.1016/j.jssc.2011.08.034
- Bai X.D., Yu J., Liu S., Wang E.G. // Chem. Phys. Lett. 2000. V. 325. P. 485.
- Суляева В.С., Кеслер В.Г., Косинова М.Л. // Журн. структур. химии. 2021. Т. 62. С. 1736. https://doi.org/10.26902/JSC_id87084
- Zhou X., Zhang L., Zhang X. et al. // Appl. Surf. Sci. 2022. V. 583. P. 152502. https://doi.org/10.1016/j.apsusc.2022.152502
- Seo T.H., Lee W., Lee K.S. et al. // Carbon. 2021. V. 182. P. 791. https://doi.org/10.1016/j.carbon.2021.06.080
- Katsuia H., Harada K., Kondo N., Hotta M. // Surf. Coat. Technol. 2020. V. 394. P. 125851. https://doi.org/10.1016/j.surfcoat.2020.125851
- Souqui L., Palisaitis J., Hogberg H., Pedersen H. // J. Mater. Chem. C. 2020. V. 8. P. 4112. https://doi.org/10.1039/d0tc00616e
- Волков В.В., Мякишев К.Г. // Изв СО АН СССР. Cер. хим. наук. 1989. № 1. P. 23.
- Chemical vapour deposition. Precursors, processes and application / Ed. Jones A.C., Hitchman M.L. RSC Publishing, 2009. 582 p.
- Жерикова К.В., Макаренко А.М., Караковская К.И. и др. // Жур. общ. химии. 2021. Т. 91. № 10. С. 1479. https://doi.org/10.31857/S0044460X21100103
- Суворов А.В. Термодинамическая химия парообразного состояния. Л.: Химия, 1970.
- Vikulova E.S., Zhericova K.V., Sysoev S.V. et al. // J. Therm. Anal. Calorim. 2019. V. 137. P. 923. https://doi.org/10.1007/s10973-018-07991-y
- Сысоев С.В., Мареев А.В., Цырендоржиева И.П. и др. // Журн. общ. химии. 2021. Т. 91. С. 1511. https://doi.org/10.31857/S0044460X2110005X
- Kosinova M.L., Fainer N.I., Rumyantsev Yu.M. et al. // J. Phys. IV. France. 1999. V. 9. P. 8.
- Alton E.R., Brown R.D., Carter J.C., Taylor R.C. // J. Am. Chem. Soc. 1959. V. 81. P. 3550.
- Титов В.А., Коковин Г.А. // Математика в химической термодинамике. Сб. науч. тр. Новосибирск: Наука, 1980. С. 98.
- Brame E.G., Margrave J.L., Meloche V.W. // J. Inorg. Nucl. Chem. 1957. V. 5. P. 48.
- Rozenberg A.S., Sinenko Y.A., Chukanov N.V. // J. Mater. Sci. 1993. V. 28. P. 5675.
- Tolstoy V.P., Chernyshova I.V., Skryshevsky V.A. Handbook of infrared spectroscopy of ultrathin films. Hoboken: John Wiley & Sons, 2003. 710 p.
- Werheit H., Aupt H.H. // Z. Naturforsch. 1987. V. 42a. P. 925.
- Shirai K., Emura S., Gonda S.I., Kumashiro Y. // J. Appl. Phys. 1995. V. 78. P. 3392.
- Shin W.G., Calder S., Ugurlu O., Girshick S.L. // J. Nanoparticle Res. 2011. V. 13. P. 7187.
- Essafti A., Ech-chamikh E., Azizan M. // Spectrosc. Lett. 2008. V. 41. P. 57. https://doi.org/10.1080/00387010801938228
- Tallant D.R., Aselage T.L., Campbell A.N., Emin D. // Phys. Rev. B. 1989. V. 40. P. 5649. https://doi.org/10.1103/PhysRevB.40.5649






