Equation of State of Periclase Based on Planck–Einstein Functions
- Authors: Perevoshchikov A.V.1, Maksimov A.I.1, Babayan I.I.1, Kovalenko N.A.1, Uspenskaya I.A.1
-
Affiliations:
- Moscow State University
- Issue: Vol 68, No 2 (2023)
- Pages: 191-202
- Section: ТЕОРЕТИЧЕСКАЯ НЕОРГАНИЧЕСКАЯ ХИМИЯ
- URL: https://journals.rcsi.science/0044-457X/article/view/136454
- DOI: https://doi.org/10.31857/S0044457X22601407
- EDN: https://elibrary.ru/LPBWCJ
- ID: 136454
Cite item
Full Text
Abstract
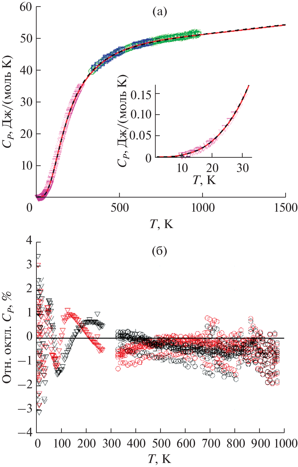
The paper presents an extension of the Voronin–Kutsenok method for joint description of both thermochemical and bulk data with combination of Planck–Einstein functions and modified Tait equation. Two approaches based on the Gibbs and Helmholtz energy descriptions were proposed. Magnesium oxide (periclase) was chosen as the test system. The parameters of the equation of state were optimized using published data over a broad range of thermodynamic variables (up to 3000 K and 145 GPa). The predictive power of both approaches was estimated.
About the authors
A. V. Perevoshchikov
Moscow State University
Email: ira@td.chem.msu.ru
119991, Moscow, Russia
A. I. Maksimov
Moscow State University
Email: ira@td.chem.msu.ru
119991, Moscow, Russia
I. I. Babayan
Moscow State University
Email: ira@td.chem.msu.ru
119991, Moscow, Russia
N. A. Kovalenko
Moscow State University
Email: ira@td.chem.msu.ru
119991, Moscow, Russia
I. A. Uspenskaya
Moscow State University
Author for correspondence.
Email: ira@td.chem.msu.ru
119991, Moscow, Russia
References
- Dubrovinsky L.S., Saxena S.K. // Phys. Chem. Miner. 1997. V. 24. № 8. P. 547. https://doi.org/10.1007/s002690050070
- Reeber R.R., Goessel K., Kai Wang // Eur. J. Mineral. 1995. V. 7. № 5. P. 1039. https://doi.org/10.1127/ejm/7/5/1039
- Fedotenko T., Dubrovinsky L., Khandarkhaeva S. et al. // J. Alloys Compd. 2020. V. 844. P. 156179. https://doi.org/10.1016/j.jallcom.2020.156179
- Wang X., Wang B., Tan D. et al. // J. Alloys Compd. 2021. V. 875. P. 159926. https://doi.org/10.1016/j.jallcom.2021.159926
- Díaz-Anichtchenko D., Santamaria-Perez D., Marqueño T. et al. // J. Alloys Compd. 2020. V. 837. P. 155505. https://doi.org/10.1016/j.jallcom.2020.155505
- Irshad K.A., Anees P., Rajitha R. et al. // J Alloys Compd. 2020. V. 822. P. 153657. https://doi.org/10.1016/j.jallcom.2020.153657
- Freund J., Ingalls R. // J. Phys. Chem. Solids. 1989. V. 50. № 3. P. 263. https://doi.org/10.1016/0022-3697(89)90486-1
- Roy P.B., Roy S.B. // J. Phys. Condens. Matter. 2005. V. 17. № 39. P. 6193. https://doi.org/10.1088/0953-8984/17/39/007
- Holland T.J.B., Powell R. // J. Metamorph. Geol. 2011. V. 29. № 3. P. 333. https://doi.org/10.1111/j.1525-1314.2010.00923.x
- Huang Y.K., Chow C.Y. // J. Phys. D: Appl. Phys. 1974. V. 7. № 15. P. 2021. https://doi.org/10.1088/0022-3727/7/15/305
- Perevoshchikov A.V., Maksimov A.I., Kovalenko N.A. et al. // Russ. J. Phys. Chem. 2022. V. 96. № 10. P. 2059. https://doi.org/10.1134/S0036024422100259
- Speziale S., Zha C.-S., Duffy T.S. et al. // J. Geophys. Res. 2001. V. 106. P. 515. https://doi.org/10.1029/2000JB900318
- Tange Y., Nishihara Y., Tsuchiya T. // J. Geophys. Res. Solid Earth. 2009. V. 114. № 3. P. 1. https://doi.org/10.1029/2008jb005813
- Kono Y., Irifune T., Higo Y. et al. // Phys. Earth Planet. Inter. 2010. V. 183. № 1–2. P. 196. https://doi.org/10.1016/j.pepi.2010.03.010
- Huang X., Li F., Zhou Q. et al. // Sci. Rep. 2016. V. 6. P. 19923. https://doi.org/10.1038/srep19923
- Anderson O.L. Equations of State of Solids for Geophysics and Ceramic Science. Oxford: Oxford University Press, 1995. 405 p.
- Berman R.G., Brown T.H. // Contrib. Mineral. Petrol. 1985. V. 89. № 2–3. P. 168. https://doi.org/10.1007/BF00379451
- Pechkovskaya K.I., Nikiforova G.E., Tyurin A.V. et al. // Russ. J. Inorg. Chem. 2022. V. 67. № 4. P. 476. https://doi.org/10.1134/S0036023622040155
- Nikiforova G.E., Kondrat’eva O.N., Tyurin A.V. et al. // Russ. J. Inorg. Chem. 2021. V. 66. № 2. P. 242. https://doi.org/10.1134/S0036023621020145
- Khvan A.V., Uspenskaya I.A., Aristova N.M. et al. // Calphad. 2020. V. 68. P. 101724. https://doi.org/10.1016/j.calphad.2019.101724
- Voronin G.F., Kutsenok I.B. // J. Chem. Eng. Data. 2013. V. 58. № 7. P. 2083. https://doi.org/10.1021/je400316m
- Khvan A.V., Dinsdale A.T., Uspenskaya I.A. et al. // Calphad. 2018. V. 60. P. 144. https://doi.org/10.1016/j.calphad.2017.12.008
- Khvan A.V., Babkina T., Dinsdale A.T. et al. // Calphad. 2019. V. 65. P. 50. https://doi.org/10.1016/j.calphad.2019.02.003
- Gerya T.V., Podlesskii K.K., Perchuk L.L. et al. // Phys. Chem. Miner. 2004. V. 31. № 7. P. 429. https://doi.org/10.1007/s00269-004-0409-8
- Feistel R., Wagner W. // J. Phys. Chem. Ref. Data. 2006. V. 35. P. 1021. https://doi.org/10.1063/1.2183324
- Trusler J.P.M. // J. Phys. Chem. Ref. Data. 2011. V. 40. № 4. https://doi.org/10.1063/1.3664915
- Jacobs M.H.G., Schmid-Fetzer R., van den Berg A.P. // Phys. Chem. Miner. 2013. V. 40. № 3. P. 207. https://doi.org/10.1007/s00269-012-0562-4
- Dorogokupets P.I., Oganov A.R. // Phys. Rev. B: Condens. Matter Mater. Phys. 2007. V. 75. № 2. P. 1. https://doi.org/10.1103/PhysRevB.75.024115
- Murnaghan F.D. // Proc. Natl. Acad. Sci. USA. 1944. V. 30. P. 244. https://doi.org/10.1073/pnas.30.9.244
- Jackson I., Ridgen S.M. // Phys. Earth Planet. Inter. 1996. V. 96. № 2–3. P. 85. https://doi.org/10.1016/0031-9201(96)03143-3
- Dewaele A., Fiquet G., Andrault D. et al. // J. Geophys. Res. Solid Earth. 2000. V. 105. № B2. P. 2869. https://doi.org/10.1029/1999jb900364
- Fei Y., Li J., Hirose K. et al. // Phys. Earth Planet. Inter. 2004. V. 143. № 1–2. P. 515. https://doi.org/10.1016/j.pepi.2003.09.018
- Barron T.H.K., Berg W.T., Morrison J.A. // Proc. R. Soc. A: Math. Phys. Eng. Sci. 1959. V. 250. № 1260. P. 70. https://doi.org/10.1098/rspa.1959.0051
- Krupka K.M., Robie R.A., Hemingway B.S. // Am. Mineral. 1979. V. 64. P. 86.
- Bosenick A., Geiger C.A., Cemič L. // Geochim. Cosmochim. Acta. 1996. V. 60. № 17. P. 3215. https://doi.org/10.1016/0016-7037(96)00150-0
- Victor A.C., Douglas T.B. // J. Res. Natl. Bur. Stand. A: Phys. Chem. 1963. V. 67A. № 4. P. 325. https://doi.org/10.6028/jres.067a.034
- Pankratz L.B., Kelley K.K. // Bur. Mines Res. 1963. V. 6295.
- Richet P., Fiquet G. // J. Geophys. Res. 1991. V. 96. № B1. P. 445. https://doi.org/10.1029/90JB02172
- Uspenskaya I.A., Kulikov L.A. // J. Chem. Eng. Data. 2015. V. 60. № 8. P. 2320. https://doi.org/10.1021/acs.jced.5b00217
- Fiquet G., Richet P., Montagnac G. // Phys. Chem. Miner. 1999. V. 27. № 2. P. 103. https://doi.org/10.1007/s002690050246
- Utsumi W., Weidner D.J., Liebermann R.C. // Geophys. Monogr. Ser. 1998. V. 101. P. 327. https://doi.org/10.1029/GM101p0327
- Zhang J. // Phys. Chem. Minerals. 2000. V. 27. P. 145. https://doi.org/10.1007/s002690050001
- Hirose K., Sata N., Komabayashi T. et al. // Phys. Earth Planet. Inter. 2008. V. 167. № 3–4. P. 149. https://doi.org/10.1016/j.pepi.2008.03.002
- Anderson O.L., Andreatch P. // J. Am. Ceram. Soc. 1966. V. 49. № 8. P. 404. https://doi.org/10.1111/j.1151-2916.1966.tb15405.x
- Sumino Y., Anderson O.L., Suzuki I. // Phys. Chem. Miner. 1983. V. 9. № 1. P. 38. https://doi.org/10.1007/BF00309468
- Isaak D.G., Anderson O.L., Goto T. // Phys. Chem. Miner. 1989. V. 16. № 7. P. 704. https://doi.org/10.1007/BF00223321
- Sinogeikin S.V., Jackson J.M., O’Neill B. et al. // Rev. Sci. Instrum. 2000. V. 71. № 1. P. 201. https://doi.org/10.1063/1.1150183
- Li B., Woody K., Kung J. // J. Geophys. Res. 2006. V. 111. № 11. P. 1. https://doi.org/10.1029/2005JB00425
Supplementary files










