Na5Rb7Sc2(WO4)9: Yb3+, Er3+: Luminescence Properties and Prospects for Non-Contact Thermometry
- Authors: Lipina O.A.1, Spiridonova T.S.2, Baklanova Y.V.1, Khaikina E.G.2,3
-
Affiliations:
- Institute of Solid State Chemistry, Ural Branch, Russian Academy of Sciences
- Baikal Institute of Nature Management, Siberian Branch, Russian Academy of Sciences
- Dorji Banzarov Buryat State University
- Issue: Vol 68, No 5 (2023)
- Pages: 603-612
- Section: СИНТЕЗ И СВОЙСТВА НЕОРГАНИЧЕСКИХ СОЕДИНЕНИЙ
- URL: https://journals.rcsi.science/0044-457X/article/view/136355
- DOI: https://doi.org/10.31857/S0044457X22601973
- EDN: https://elibrary.ru/SMUCYJ
- ID: 136355
Cite item
Full Text
Abstract
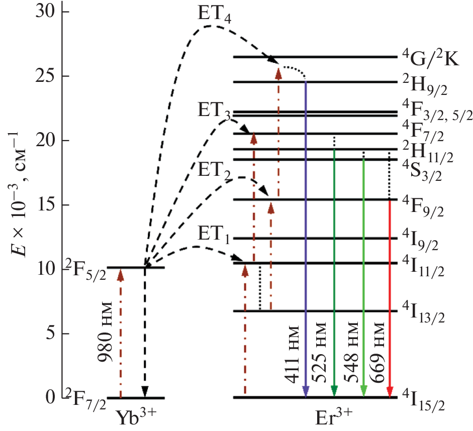
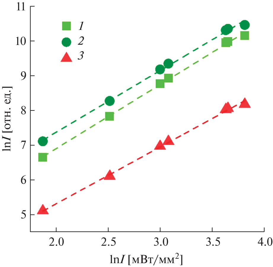
Trigonal solid solutions Na5Rb7Sc1.95Yb0.05 – xErx(WO4)9 (x = 0.0025–0.0375) and Na5Rb7Sc2 – 5y-Yb2yEr3y(WO4)9 (y = 0.005–0.015) based on ternary tungstate Na5Rb7Sc2(WO4)9 have been obtained by ceramic technology and their luminescence properties have been studied. Excitation of powders by infrared radiation of the laser module (λex = 980 nm, Pmax = 45 mW/mm2) leads to the appearance of a bright green emission. The highest intensity of the bands at 515–540 nm (2H11/2 → 4I15/2), 540–575 nm (4S3/2 → 4I15/2), and 645–680 nm (4F9/2 → 4I15/2) is observed for sample Na5Rb7Sc1.95Yb0.02Er0.03(WO4)9. For a given composition, the power and temperature dependences of optical characteristics have been studied, a mechanism for energy transfer between optical centers has been proposed, and chromaticity coordinates have been determined. Based on the data obtained, it has been concluded that Na5Rb7Sc1.95Yb0.02Er0.03(WO4)9 can be used as a material for non-contact luminescent thermometry.
Keywords
About the authors
O. A. Lipina
Institute of Solid State Chemistry, Ural Branch, Russian Academy of Sciences
Email: chvanova10_99@mail.ru
620990, Yekaterinburg, Russia
T. S. Spiridonova
Baikal Institute of Nature Management, Siberian Branch, Russian Academy of Sciences
Email: spiridonova-25@mail.ru
670047, Ulan-Ude, Russia
Ya. V. Baklanova
Institute of Solid State Chemistry, Ural Branch, Russian Academy of Sciences
Email: chvanova10_99@mail.ru
620990, Yekaterinburg, Russia
E. G. Khaikina
Baikal Institute of Nature Management, Siberian Branch, Russian Academy of Sciences; Dorji Banzarov Buryat State University
Author for correspondence.
Email: spiridonova-25@mail.ru
670047, Ulan-Ude, Russia; 670000, Ulan-Ude, Russia
References
- Kaminskii A.A. // Laser Photon. Rev. 2007. V. 1. № 2. P. 93. https://doi.org/10.1002/lpor.200710008
- Yu Y., Wu S., Zhu X. et al. // Opt. Mater. 2021. V. 111. P. 110653. https://doi.org/10.1016/j.optmat.2020.110653
- Zhang L., Sun S., Lin Z. et al. // J. Lumin. 2018. V. 203. P. 676. https://doi.org/10.1016/j.jlumin.2018.07.016
- Xiao B., Huang Y., Zhang L. et al. // PLoS ONE. 2012. V. 7. P. e40229. https://doi.org/10.1371/journal.pone.0040229
- Li H., Zhang L., Wang G. // J. Alloys Compd. 2009. V. 478. P. 484. https://doi.org/10.1016/j.jallcom.2008.11.079
- Belli P., Bernabei R., Borovlev Yu.A. et al. // Nucl. Instrum. Methods Phys. Res., Sect. A. 2019. V. 935. P. 89. https://doi.org/10.1016/j.nima.2019.05.014
- Barabash A.S., Belli P., Bernabei R. et al. // J. Instrumentation. 2011. V. 6. P08011. https://doi.org/10.1088/1748-0221/6/08/P08011
- Isupov V.A. // Ferroelectrics. 2005. V. 321. P. 63. https://doi.org/10.1080/00150190500259699
- Isupov V.A. // Ferroelectrics. 2005. V. 322. P. 83. https://doi.org/10.1080/00150190500315574
- Lind C. // Materials. 2012. V. 5. P. 1125. https://doi.org/10.3390/ma5061125
- Rahimi-Nasrabadi M., Pourmortazavi S.M., Ganjali M.R. et al. // J. Mater. Sci. Mater. Electron. 2016. V. 27. P. 12860. https://doi.org/10.1007/s10854-016-5421-5
- Mishra S., Choudhary R.N.P., Parida S.K. // Ceram. Int. 2022. V. 48. P. 17020. https://doi.org/10.1016/j.ceramint.2022.02.257
- Kaimieva O.S., Sabirova I.E., Buyanova E.S. et al. // Russ. J. Inorg. Chem. 2022. V. 67. P. 1348. [Каймиева О.С. Сабирова И.Э., Буянова Е.С. и др. / Журн. неорган. химии. 2022. Т. 67. P. 1211.]https://doi.org/10.1134/S0036023622090054
- Muthamizh S., Suresh R., Giribabu K. et al. // J. Alloys Compd. 2015. V. 619. P. 601. https://doi.org/10.1016/j.jallcom.2014.09.049
- Assis M., Tello A.C.M., Abud F.S.A. et al. // Appl. Surf. Sci. 2022. V. 600. P. 154081. https://doi.org/10.1016/j.apsusc.2022.154081
- Huang B., Wang H., Liang S. et al. // Energy Stor. Mater. 2020. V. 32. P. 105. https://doi.org/10.1016/j.ensm.2020.07.014
- Patil U., Khandare L., Late D.J. // Mater. Sci. Eng.: B. 2022. V. 284. P. 115874. https://doi.org/10.1016/j.mseb.2022.115874
- Hosseinpour M., Abdoos H., Mirzaee O. et al. // Ceram. Int. 2023. V. 49. № 3. P. 4722. https://doi.org/10.1016/j.ceramint.2022.09.362
- Bravina S.L., Morozovsky N.V., Solodovnikov S.F. et al. // J. Alloys Compd. 2015. V. 649. P. 635. https://doi.org/10.1016/j.jallcom.2015.07.137
- Dkhilalli F., Megdiche Borchani S., Rasheed M. et al. // R. Soc. Open Sci. 2018. V. 5. P. 172214. https://doi.org/10.1098/rsos.172214
- Durairajan A., Suresh Kumar J., Thangaraju D. et al. // Superlattices Microstruct. 2016. V. 93. P. 308. https://doi.org/10.1016/j.spmi.2016.03.025
- Morozov V.A., Batuk D., Batuk M. et al. // Chem. Mater. 2017. V. 29. P. 8811. https://doi.org/10.1021/acs.chemmater.7b03155
- Morozov V., Deyneko D., Basovich O. et al. // Chem. Mater. 2018. V. 30. P. 4788. https://doi.org/10.1021/acs.chemmater.8b02029
- Keil Ja.-N., Paulsen Ch., Florian R. et al. // Dalton Trans. 2021. V. 50. P. 9225. https://doi.org/10.1039/d1dt00795e
- Wei B., Liu Zh., Xie Ch. et al. // J. Mater. Chem. C. 2015. V. 3. P. 12322. https://doi.org/10.1039/C5TC03165F
- Yang Y., Li F., Lu Y. et al. // J. Lumin. 2022. V. 251. P. 119234. https://doi.org/10.1016/j.jlumin.2022.119234
- Zhang J., Jin C. // J. Alloys Compd. 2019. V. 783. P. 89. https://doi.org/10.1016/j.jallcom.2018.12.281
- Yun R., He J., Luo L. et al. // Ceram. Int. 2021. V. 47. P. 16062. https://doi.org/10.1016/j.ceramint.2021.02.180
- Lim Ch.S., Aleksandrovsky A., Molokeev M. et al. // J. Solid State Chem. 2015. V. 228. P. 160. https://doi.org/10.1016/j.jssc.2015.04.032
- Bin X., Lin Zh., Zhang L. et al. // PLoS One. 2012. V. 7. № 7. e40631. https://doi.org/10.1371/journal.pone.0040631
- Van der Ende B.M., Aarts L., Meijerink A. // Phys. Chem. Chem. Phys. 2009. V. 11. P. 11081. https://doi.org/10.1039/B913877C
- Khare A. // J. Alloys Compd. 2020. V. 821. P. 153214. https://doi.org/10.1016/j.jallcom.2019.153214
- Xiang G.T., Liu X.T., Xia Q. et al. // Talanta. 2021. V. 224. P. 121832. https://doi.org/10.1016/j.talanta.2020.121832
- Rafique R., Baek S.H., Phan L.M.T. et al. // Mater. Sci. Eng. C. 2019. V. 99. P. 1067. https://doi.org/10.1016/j.msec.2019.02.046
- Bai. X., Cun Y., Xu Z. et al. // Chem. Eng. J. 2022. V. 429. P. 132333. https://doi.org/10.1016/j.cej.2021.132333
- Brites C.D.S., Millán A., Carlos L.D. // Handb. Phys. Chem. Rare Earths. 2016. V. 49. P. 339. https://doi.org/10.1016/bs.hpcre.2016.03.005
- Dramićanin M. Chapter 6 – Lanthanide and Transition Metal Ion Doped Materials for Luminescence Temperature Sensing in Luminescence Thermometry: Methods, Materials, and Applications, Woodhead Publishing Series in Electronic and Optical Materials. 2018. P. 113. https://doi.org/10.1016/B978-0-08-102029-6.00006-3
- Wu Y., Suo H., He D. et al. // Mater. Res. Bull. 2018. V. 106. P. 14. https://doi.org/10.1016/j.materresbull.2018.05.019
- Peng S., Lai F., Xiao Z. et al. // J. Lumin. 2022. V. 242. P. 118569. https://doi.org/10.1016/j.jlumin.2021.118569
- Chen L., He K., Bai G. et al. // J. Alloys Compd. 2020. V. 846. P. 156425. https://doi.org/10.1016/j.jallcom.2020.156425
- Zhang J., Chen J., Jin C. // J. Alloys Compd. 2020. V. 846. P. 156397. https://doi.org/10.1016/j.jallcom.2020.156397
- Lipina O.A., Surat L.L., Chufarov A.Yu. et al. // Mendeleev Commun. 2021. V. 31. P. 113. https://doi.org/10.1016/j.mencom.2021.01.035
- Lipina O.A., Surat L.L., Melentsova A.A. et al. // Phys. Solid State. 2021. V. 63. P. 1036. [Липина О.А., Сурат Л.Л., Меленцова А.А. и др. // ФТТ. 2021. Т. 63. С. 944.]https://doi.org/10.1134/S1063783421070143
- Lim Ch.S., Atuchin V.V., Aleksandrovsky A.S. et al. // Mater. Lett. 2016. V. 181. P. 38. https://doi.org/10.1016/j.matlet.2016.05.121
- Zhou Y., Yan B., He X.-H. // J. Mater. Chem. C. 2014. V. 2. P. 848. https://doi.org/10.1039/c3tc31880j
- Jain A., Ong Sh. P., Hautier G. et al. // APL Materials. 2013. V. 1. P. 011002. https://doi.org/10.1063/1.4812323
- ICDD PDF-2 Data Base, Cards ## 01-074-2369, 01-073-2342, 01-089-4691
- Rietveld H.M. // J. Appl. Crystallogr. 1969. V. 2. P. 65. https://doi.org/10.1107/S0021889869006558
- Bruker AXS TOPAS V4: General profile and structure analysis software for powder diffraction data. User’s Manual. Bruker AXS, Karlsruhe, Germany. 2008.
- Spiridonova T.S., Solodovnikov S.F., Molokeev M.S. et al. // J Solid State Chem. 2022. V. 305. P. 122638. https://doi.org/10.1016/j.jssc.2021.122638
- Spiridonova T.S., Savina A.A., Kovtunets E.V. et al. // Chimica Techno Acta. 2021. V. 8. P. 20218412. https://doi.org/10.15826/chimtech.2021.8.4.12
- Basovich O.M., Uskova A.A., Solodovnikov S.F. et al. // Vest. Buryats Gos. Univ. Khim. Fiz. 2011. V. 3. P. 24. In Russian. [Басович О.М., Ускова А.А., Солодовников С.Ф. и др. // Вестник Бурятского государственного университета. 2011. Т. 3. С. 24.]
- Khaikina E.G., Solodovnikov S.F., Basovich O.M. et al. // Chimica Techno Acta. 2015. V. 2. № 4. P. 356. https://doi.org/10.15826/chimtech.2015.2.4.032
- Shannon R.D. // Acta Crystallogr. 1976. V. A32. P. 751. https://doi.org/10.1107/S0567739476001551
- Huang L., Liu X., Hu W. et al. // J. Appl. Phys. 2001. V. 90. P. 5550. https://doi.org/10.1063/1.1413494
- Singh S.K., Kumar K., Rai S.B. // Appl. Phys. B: Lasers Opt. 2009. V. 94. P. 165. https://doi.org/10.1007/s00340-008-3261-6
- Singh S.K., Singh A.K., Kumar D. et al. // Appl. Phys. B: Lasers Opt. 2010. V. 98. P. 173. https://doi.org/10.1007/s00340-009-3711-9
- Pokhrel M., Kumar G.A., Sardar D.K. // J. Mater. Chem. A. 2013. V. 1. P. 11595. https://doi.org/10.1039/C3TA12205K
- Georgescu S., Voiculescu A.M., Matei C. et al. // Phys. B. 2013. V. 413. P. 55. https://doi.org/10.1016/j.physb.2012.12.045
- Singh V., Rai V.K., Al-Shamery K. et al. // Spectrochim. Acta, Part A. 2013. V. 108. P. 141. https://doi.org/10.1016/j.saa.2013.01.073
- Lipina O.A., Surat L.L., Tyutyunnik A.P. et al. // Opt. Mater. 2016. V. 61. P. 98. https://doi.org/10.1016/j.optmat.2016.05.031
- Pollnau M., Gamelin D.R., Lüthi S.R. et al. // Phys. Rev. B. 2020. V. 61. P. 3337.
- Auzel F. // C.R. Acad. Sci. 1966. V. 263. P. 819.
- Anderson R.B., Smith S.J., May P.S. et al. // J. Phys. Chem. Lett. 2014. V. 5. P. 36. https://doi.org/10.1021/jz402366r
- McCamy C.S. // Color Res. Appl. 1992. V. 17. P. 142. https://doi.org/10.1002/col.5080170211
- Kelly K.L. // J. Opt. Soc. Am. 1943. V. 33. P. 627. https://doi.org/10.1364/JOSA.33.000627
Supplementary files









