Spectrophotometric Study of Palladium(II) Complexation with Elementary Amino Acids in Aqueous Solution
- Authors: Zharkov G.P.1, Yastremskaya M.A.1, Pavlushin A.V.1, Petrova Y.S.1, Neudachina L.K.1
-
Affiliations:
- Ural Federal University named after Yeltsin, the First President of Russia
- Issue: Vol 68, No 3 (2023)
- Pages: 349-356
- Section: ФИЗИКОХИМИЯ РАСТВОРОВ
- URL: https://journals.rcsi.science/0044-457X/article/view/136335
- DOI: https://doi.org/10.31857/S0044457X22601377
- EDN: https://elibrary.ru/JCKMXP
- ID: 136335
Cite item
Full Text
Abstract
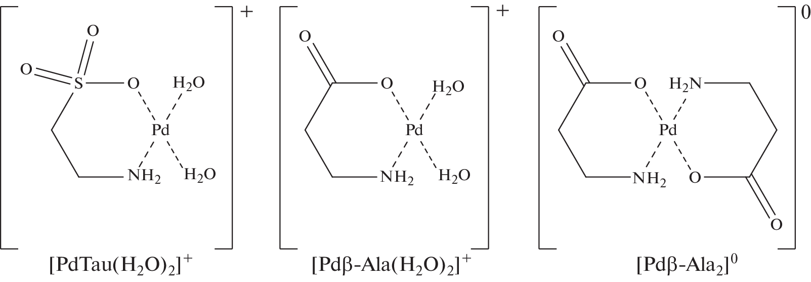
Complex formation of aqua palladium(II) ions with glycine (Gly), β‑alanine (β-Ala), and taurine (Tau) in aqueous solution was studied by spectrophotometric titration at I = 1.0 mol/L (HClO4 + NaClO4) and T = 25 ± 1°C. A monoligand complex appeared at pH 0 in the H‒Pd–Gly system under the conditions of our experiment; mono- and biscomplexes were formed at pH 1. In the H‒Pd‒β-Ala system, a monoligand complex was formed at pH 1 and mono- and biscomplexes were formed at pH 2. In the H‒Pd‒Tau system, a monoligand complex was formed at pH 1 and 2. Molar absorption coefficients were calculated: the peak absorption occurs at λ = 370 nm and ε = 203 L/(mol cm) for the monoligand glycinate complex [PdGly(H2O)2]+; at λ = 325 nm and ε = 274 L/(mol cm) for the biscomplex [PdGly2]0; at λ = 365 nm and ε = 342 and 297 L/(mol cm) for the β‑alaninate [Pdβ‑Ala(H2O)2]+ and taurinate [PdTau(H2O)2]+ monoligand complexes, respectively; and at λ = 330 nm and ε = 549 L/(mol cm) for the β‑alaninate biscomplex [Pdβ‑Ala2]0. Logarithmic concentration formation constants were calculated for glycinate (log β1 = 15.03 ± 0.07, and log β2 = 28.97 ± 0.28), β-alaninate (log β1 = 13.94 ± 0.05, and log β2 = 25.24 ± 0.06), and taurinate (log β1 = 9.74 ± 0.08) palladium(II) complexes.
Keywords
About the authors
G. P. Zharkov
Ural Federal University named after Yeltsin, the First President of Russia
Email: gennady.zharkov@mail.ru
620002, Yekaterinburg, Russia
M. A. Yastremskaya
Ural Federal University named after Yeltsin, the First President of Russia
Email: gennady.zharkov@mail.ru
620002, Yekaterinburg, Russia
A. V. Pavlushin
Ural Federal University named after Yeltsin, the First President of Russia
Email: gennady.zharkov@mail.ru
620002, Yekaterinburg, Russia
Yu. S. Petrova
Ural Federal University named after Yeltsin, the First President of Russia
Email: gennady.zharkov@mail.ru
620002, Yekaterinburg, Russia
L. K. Neudachina
Ural Federal University named after Yeltsin, the First President of Russia
Author for correspondence.
Email: gennady.zharkov@mail.ru
620002, Yekaterinburg, Russia
References
- Salishcheva O.V., Prosekov A.Yu., Moldagulova N.E. et al. // Proceedings of Universities. Appl. Chem. Biotechnol. 2022. V. 11. № 4. P. 651. https://doi.org/10.21285/2227-2925-2021-11-4-651-662
- Batyrenko A.A., Mikolaichuk O.V., Ovsepyan G.K. et al. // Russ. J Gen. Chem. 2021. V. 91. № 6. P. 1260. https://doi.org/10.1134/S1070363221060426
- Denisov M.S., Dmitriev M.V., Eroshenko D.V. et al. // Russ. J. Inorg. Chem. 2019. V. 64. № 1. P. 56. https://doi.org/10.1134/S0036023619010054
- Efimenko I.A., Dobrynina N.A., Shishilov O.N. et al. // Russ. J. Coord. Chem. 2012. V. 38. № 4. P. 233. https://doi.org/10.1134/S1070328412020029
- Kiss T., Sovago I., Gergely A. // Pure Appl. Chem. 1991. V. 63. № 4. P. 597. https://doi.org/10.1351/pac199163040597
- Sovago I., Kiss T., Gergely A. // Pure Appl. Chem. 1993. V. 65. № 5. P. 1029. https://doi.org/10.1351/pac199365051029
- Бек М., Надьпал И. // Исследование комплексообразования новейшими методами. М.: Мир, 1989.
- Isaeva E.I., Gorbunova V.V., Nazarova A.M. // Russ. J. Gen. Chem. 2020. V. 90. № 12. P. 2296. https://doi.org/10.1134/S1070363220120129
- Appleton T.G., Bailey A.J., Bedgood D.R. et al. // Inorg. Chem. 1994. V. 33. № 2. P. 217. https://doi.org/10.1021/ic00080a008
- Nakayama K., Komorita T., Shimura Y. // Bull. Chem. Soc. Jpn. 1984. V. 57. № 10. P. 2930. https://doi.org/10.1246/bcsj.57.2930
- Bondarenko V.S., Gabuda S.P., Mal’chikov G.D. et al. // J. Struct. Chem. 1977. V. 17. № 3. P. 412. https://doi.org/10.1007/BF00746658
- Kozachkova A.N., Tsaryk N.V., Dudko A.V. et al. // Russ. J. Phys. Chem. A. 2012. V. 86. № 10. P. 1570. https://doi.org/10.1134/S0036024412100123
- Shoukry M.M., Khairy E.M., Saeed A. // J. Coord. Chem. 1988. V. 17. № 4. P. 305. https://doi.org/10.1080/00958978808073921
- Anderegg G., Malik S.C. // Helv. Chim. Acta. 1976. V. 59. № 5. P. 1498. https://doi.org/10.1002/hlca.19760590511
- Kollmann J., Hoyer E. // J. Praktische Chem. 1974. V. 316. № 1. P. 119. https://doi.org/10.1002/prac.19743160116
- Farooq O., Ahmad N., Malik A.U. // J. Electroanal. Chem. Interfacial Electrochem. 1973. V. 48. № 3. P. 475. https://doi.org/10.1016/S0022-0728(73)80379-1
- Solov’ev V.P., Baulin V.E., Strakhova N.N. et al. // J. Chem. Soc. 1998. V. 2. № 6. P. 1489. https://doi.org/10.1039/a708245b
- NIST Critically Selected Stability Constants of Metal Complexes, Version 8.0, 2004
- Wallace R.M., Katz S.M. // J. Phys. Chem. 1964. V. 68. № 12. P. 3890. https://doi.org/10.1021/j100794a511
- Хартли Ф., Бёргес К., Олкок Р. // Равновесия в растворах. M.: Мир, 1980.
- Anderegg G., Wanner H. // Inorg. Chim. Acta. 1986. V. 113. № 2. P. 101. https://doi.org/10.1016/S0020-1693(00)82229-X
- Elding L.I. // Inorg. Chim. Acta. 1972. V. 6. P. 647. https://doi.org/10.1016/S0020-1693(00)91874-7
- Rasmussen L., Jørgensen Chr.K., Sjövall J. et al. // Acta Chem. Scand. 1968. V. 22. P. 2313. https://doi.org/10.3891/acta.chem.scand.22-2313
- Shi T., Elding L.I. // Inorg. Chem. 1996. V. 35. № 3. P. 735. https://doi.org/10.1021/ic950935u
Supplementary files







