Исследование межмолекулярных взаимодействий в бинарных системах бутилацетат–дибутилфталат и бутилацетат–диоктилфталат
- Authors: Полевщиков Д.И.1, Лоскутов В.В.1
- 
							Affiliations: 
							- Марийский государственный университет
 
- Issue: Vol 98, No 12 (2024)
- Pages: 77-86
- Section: PHYSICAL CHEMISTRY OF SOLUTIONS
- Submitted: 30.03.2025
- Accepted: 30.03.2025
- Published: 15.12.2024
- URL: https://journals.rcsi.science/0044-4537/article/view/285589
- DOI: https://doi.org/10.31857/S0044453724120125
- EDN: https://elibrary.ru/ENZSOS
- ID: 285589
Cite item
Abstract
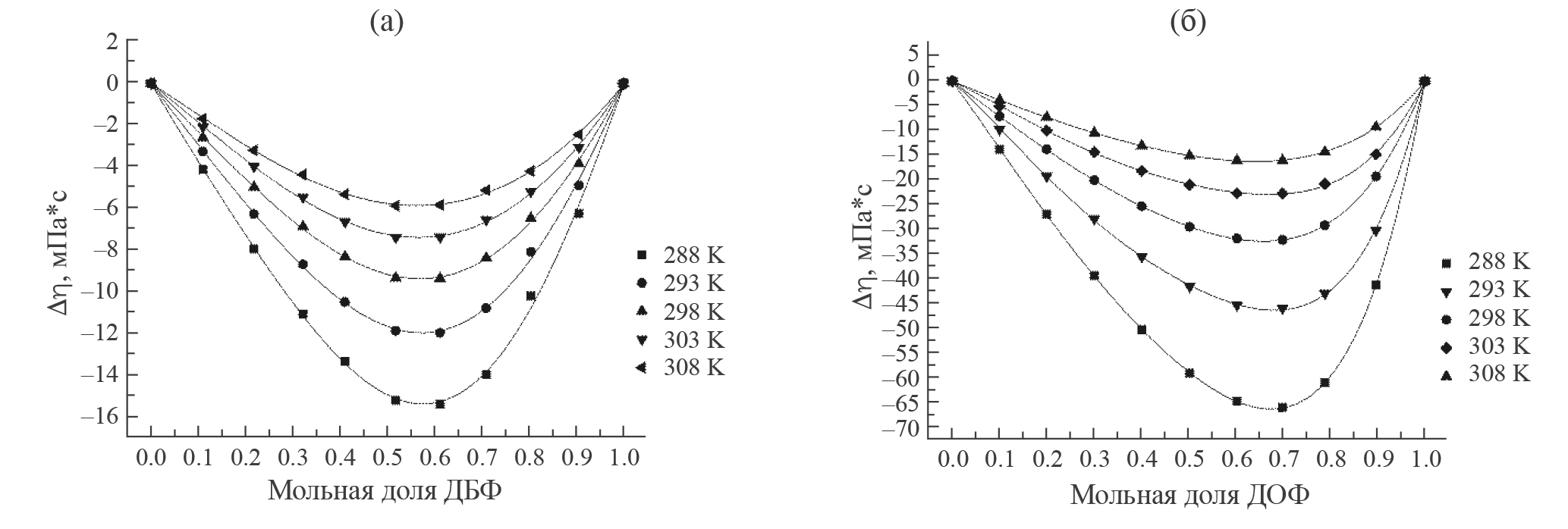
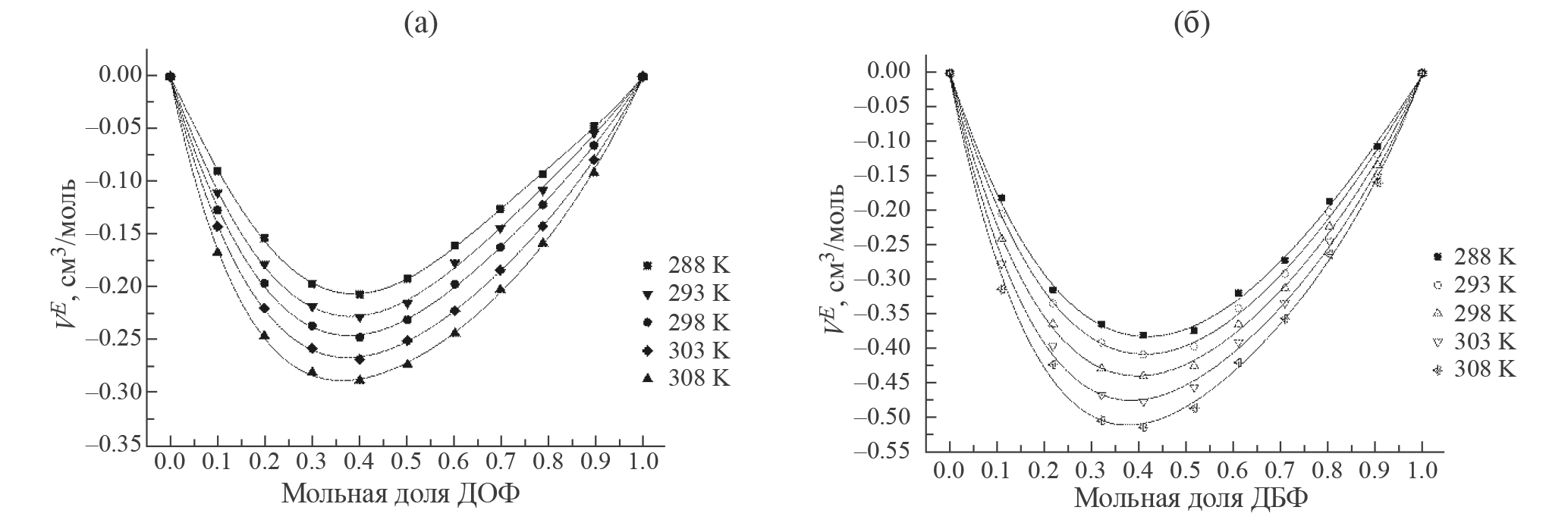
Исследование межмолекулярных взаимодействий в системах бутилацетат–дибутилфталат и бутилацетат–диоктилфталат показало, что отклонения свойств от идеальной смеси уменьшаются с повышением температуры, за исключением избыточного объема. Результаты указывают на присутствие значительных ван-дер-ваальсовых сил и подтверждают влияние размеров молекул на свойства бинарных смесей. Экспериментальные данные о плотности, показателе преломления, вязкости, избыточном молярном объеме и других свойствах представлены для систем и чистых веществ.
Keywords
Full Text
 
												
	                        About the authors
Д. И. Полевщиков
Марийский государственный университет
							Author for correspondence.
							Email: referalforme005@gmail.com
				                					                																			                												                	Russian Federation, 							Йошкар-Ола, 424000						
В. В. Лоскутов
Марийский государственный университет
														Email: referalforme005@gmail.com
				                					                																			                												                	Russian Federation, 							Йошкар-Ола, 424000						
References
- Krauskopf L.G. // J. of Vinyl and Additive Technology. 1993. V. 15. № 3. P. 140. doi: 10.1002/vnl.730150306
- Cadogan D.F., Howick C.J. // Ullmann’s Encyclopedia of Industrial Chemistry. 2000. V. 10. P. 766. doi: 10.1002/0471238961.161201190301041
- Petrovic M., Eljarrat E., Diez S., et al. // Sediment Quality and Impact Assessment of Pollutants. 2007. P. 99. doi: 10.1016/s1872-1990(07)80075-4
- Wojciechowska P. // Recent Advances in Plasticizers. 2012. P. 141. doi: 10.5772/35350
- Carroll W.F., Johnson R.W., Moore S.S., Paradis R.A. Applied Plastics Engineering Handbook. Elsevier, 2011. 61–76 p. doi: 10.1016/b978-1-4377-3514-7.10005-4
- Rathnam M.V. // J. Chem. Eng. Data. 1988. V. 33. P. 14. doi: 10.1021/je00051a006
- Applied Polymer Science: 21st Century / Eds. C. Craver, C. Carraher. Elsevier Science, 2000. P. 157–175. doi: 10.1016/b978-008043417-9/50011-8.
- Lorz P.M., Towae F.K., Enke W. et al. Ullmann’s Encyclopedia of Industrial Chemistry. Wiley, 2007. 147–148 p. doi: 10.1002/14356007.a20_181.pub2
- Wallace D.R. Encyclopedia of Toxicology. Elsevier, 2005. 1–2 p. doi: 10.1016/b0-12-369400-0/00309-4
- Pan I.-C., Tang M., Chen Y.-P. // J. of Chemical & Engineering Data. 2000. V. 45. № 6. P. 1012–1015. doi: 10.1021/je00060a027
- Nayak J.N., Aralaguppi M.I., Aminabhavi T.M. // J. of Chemical & Engineering Data. 2003. Vol. 48. № 6. P. 1489. doi: 10.1021/je0301489
- Belyaeva E.V., Volokhova D.M., Lavrenko P.N. // Rus. J. of Phys. Chem. 2006. V. 80. № 2. P. 187. doi: 10.1134/s0036024406020117
- Arago D.F.J., Biot J.B. Mémoires de l’Académie (royale) des sciences de l’Institut (imperial) de France. V. 7. Mem. Acad. Fr., 1806.
- Dale T.P., Gladstone J.H. On the influence of temperature on the refraction of light. Philos. Trans. R. Soc. Lond, 1858. 887 p. https://doi.org/ 10.1098/rstl.1858.0036
- Pineiro A., Brocos P., Amigo A., et al. // J. Chem. Thermodyn. 1999. V. 31. P. 931. https://doi.org/10.1006/jcht.1999.0517.
- Wiener O. Berichte über die Verhandlungen der Königlich-Sächsischen Gesellschaft der Wissenschaften zu Leipzig. Mathematisch-Physische Klasse, 1910. 256 p.
- Kurtz S.S., Ward A.L. // J. of the Franklin Institute-engineering and Applied Mathematics. 1936. V. 222. P. 563. https://doi.org/10.1016/S0016-0032(36)90986-9.
- Oster G. // Chem. Rev. 1948. V. 43. P. 319. https://doi.org/10.1021/cr60135a005
- Eyring H., Jhon M.S. Significant liquid structure. Wiley Inter Science, New York, 1969.
- Brocos P., Piñeiro Á., Amigo A. // Physical Chemistry Chemical Physics. 2003. V. 5. № 3. P. 550. doi: 10.1039/b208765k
- An N., Zhuang B., Li M., et al. // The Journal of Physical Chemistry B. 2015. V. 119. № 33. P. 10701. doi: 10.1021/acs.jpcb.5b05433
- Sharma S., Patel P.B., Patel R.S., Vora J.J. // E-Journal of Chemistry. 2007. V. 4. № 3. P. 343. doi: 10.1155/2007/485378
Supplementary files
 
				
			 
					 
						 
						 
						 
						 
				
 
  
  
  Email this article
			Email this article 
 Open Access
		                                Open Access Access granted
						Access granted




