Параметрическая оценка энергии тетрельных связей в комплексах тетраэдрических молекул с аммиаком и галогенид-анионами
- Авторы: Барташевич Е.В.1, Мухитдинова С.Э.1, Клюев И.В.1, Цирельсон В.Г.1,2
-
Учреждения:
- Южно-Уральский государственный университет
- Химико-технологический университет имени Д.И. Менделеева
- Выпуск: Том 97, № 11 (2023)
- Страницы: 1611-1619
- Раздел: СТРОЕНИЕ ВЕЩЕСТВА И КВАНТОВАЯ ХИМИЯ
- Статья получена: 26.12.2023
- Статья опубликована: 01.11.2023
- URL: https://journals.rcsi.science/0044-4537/article/view/233066
- DOI: https://doi.org/10.31857/S0044453723110043
- EDN: https://elibrary.ru/KWPBDF
- ID: 233066
Цитировать
Полный текст
Аннотация
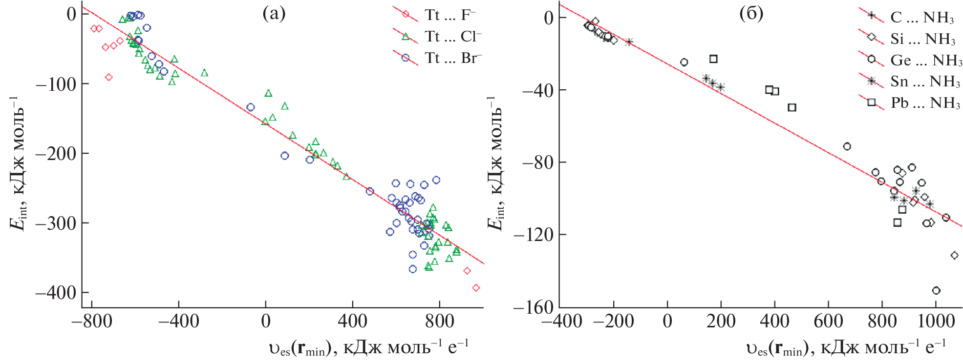
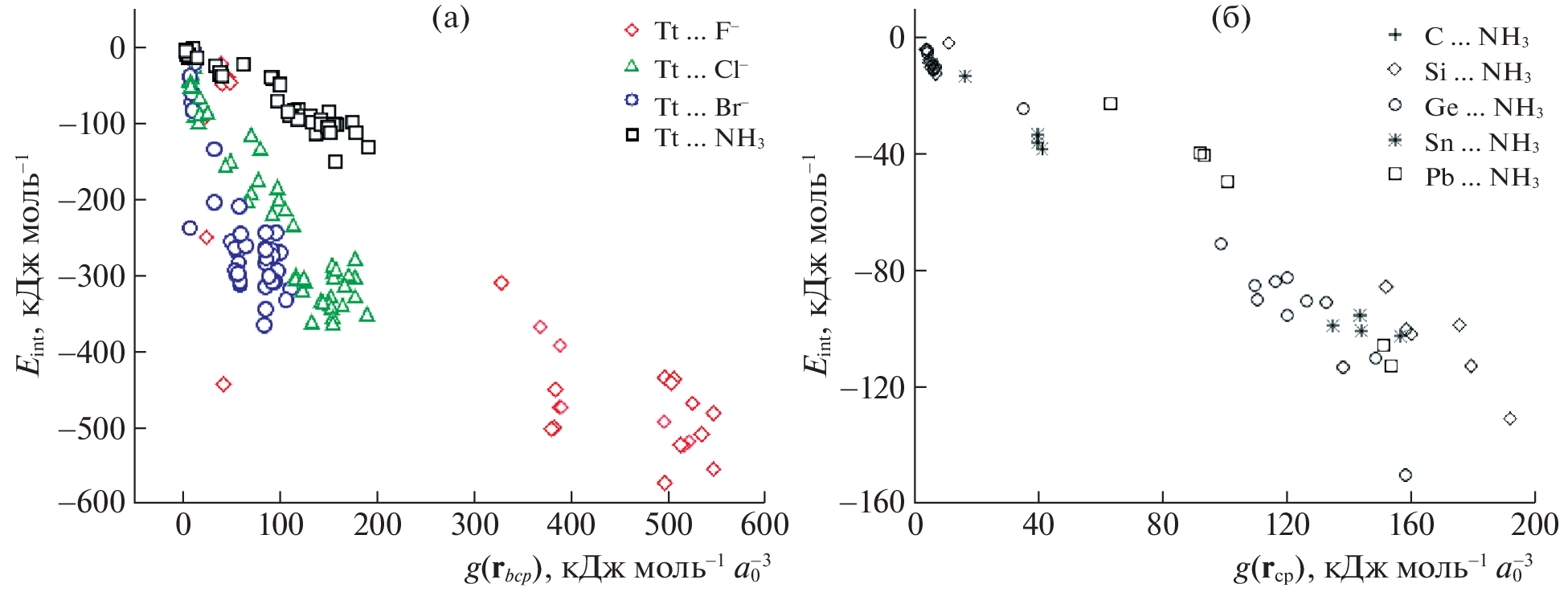
Изучены электронные свойства слабых и сильных тетрельных связей (TtB), формируемых элементами подгруппы углерода Tt = C, Si, Ge, Sn, Pb, предоставляющими для нековалентных взаимодействий свою субатомную электрофильную область. На примере обширной выборки молекулярных комплексов, образованных галогенид-анионами или молекулой аммиака с тетраэдрическими молекулами, получены обобщенные количественные модели для оценки энергии тетрельных связей. Показано, что смена нуклеофильного фрагмента в комплексах приводит к различным трендам для зависимостей энергии взаимодействия от электронной характеристики связи. Минимум электростатического потенциала на линии тетрельной связи, оказался наиболее универсальным фактором, подходящим для количественного сравнения как слабых, так и сравнительно сильных связей в рамках единой параметрической модели.
Об авторах
Е. В. Барташевич
Южно-Уральский государственный университет
Email: muhitdinova.s.e@gmail.com
Россия, 454080, Челябинск
С. Э. Мухитдинова
Южно-Уральский государственный университет
Email: muhitdinova.s.e@gmail.com
Россия, 454080, Челябинск
И. В. Клюев
Южно-Уральский государственный университет
Email: muhitdinova.s.e@gmail.com
Россия, 454080, Челябинск
В. Г. Цирельсон
Южно-Уральский государственный университет; Химико-технологический университет имени Д.И. Менделеева
Автор, ответственный за переписку.
Email: muhitdinova.s.e@gmail.com
Россия, 454080, Челябинск; Россия, 125047, Москва
Список литературы
- Politzer P., Murray J.S. // Theor. Chem. Accounts Theory, Comput. Model. (Theoretica Chim. Acta). 2002. V. 108. № 3. P. 134.
- Bartashevich E.V., Matveychuk Y.V., Mukhitdinova S.E. et al. // Theor. Chem. Acc. 2020. V. 139. № 2. P. 26.
- Legon A.C. // Phys. Chem. Chem. Phys. 2017. V. 19. № 23. P. 14884.
- Alkorta I., Elguero J., Frontera A. // Crystals. 2020. V. 10. № 3. P. 180.
- Grabowski S.J. // Phys. Chem. Chem. Phys. 2014. V. 16. № 5. P. 1824.
- Daolio A., Scilabra P., Terraneo G. et al. // Coord. Chem. Rev. 2020. V. 413. P. 213265.
- Scilabra P., Kumar V., Ursini M. et al. // J. Mol. Model. 2018. V. 24. № 1. P. 37.
- Scheiner S. // J. Phys. Chem. A. 2018. V. 122. № 9. P. 2550.
- Hou M., Liu Z., Li Q. // Int. J. Quantum Chem. 2020. V. 120. № 15. P. e26251.
- Scheiner S. // Phys. Chem. Chem. Phys. 2021. V. 23. № 10. P. 5702.
- Zierkiewicz W., Michalczyk M., Scheiner S. // Molecules. 2018. V. 23. № 6. P. 1416.
- Grabowski S. // Molecules. 2018. V. 23. № 5. P. 1183.
- Scheiner S. // Ibid. 2018. V. 23. № 5. P. 1147.
- Liu M., Li Q., Cheng J. et al. // J. Chem. Phys. 2016. V. 145. № 22. P. 224310.
- Frontera A., Bauzá A. // Chem. – A Eur. J. 2018. V. 24. № 62. P. 16582.
- Бейдер Р. Атомы в молекулах: Квантовая теория. М.: Мир, 2001. 533 с.
- Bader R.F.W. // J. Phys. Chem. A. 1998. V. 102. № 37. P. 7314.
- Tsirelson V.G. // The Quantum Theory of Atoms in Molecules. Weinheim, Germany: Wiley-VCH Verlag GmbH & Co. KGaA. 2007. P. 257.
- Pendás A.M., Francisco E., Blanco A.M. et al. // Chem. – A Eur. J. 2007. V. 13. № 33. P. 9362.
- Espinosa E., Molins E., Lecomte C. // Chem. Phys. Lett. 1998. V. 285. № 3–4. P. 170.
- Mata I., Alkorta I., Espinosa E. et al. // Ibid. 2011. V. 507. № 1–3. P. 185.
- Espinosa E., Alkorta I., Elguero J. et al. // J. Chem. Phys. 2002. V. 117. № 12. P. 5529.
- Vener M.V., Egorova A.N., Churakov A.V. et al. // J. Comput. Chem. 2012. V. 33. № 29. P. 2303.
- Bushmarinov I.S., Lyssenko K.A., Antipin M.Y. // Russ. Chem. Rev. 2009. V. 78. № 4. P. 283.
- Ananyev I.V., Karnoukhova V.A., Dmitrienko A.O. et al. // J. Phys. Chem. A. 2017. V. 121. № 23. P. 4517.
- Bartashevich E.V., Tsirelson V.G. // Russ. Chem. Rev. 2014. V. 83. № 12. P. 1181.
- Kuznetsov M.L. // Molecules. 2019. V. 24. № 15. P. 2733.
- Kuznetsov M.L. // Int. J. Quantum Chem. 2019. V. 119. № 8. P. e25869.
- Bartashevich E.V., Tsirelson V.G. // Phys. Chem. Chem. Phys. 2013. V. 15. № 7. P. 2530.
- Alkorta I., Legon A. // Molecules. 2017. V. 22. № 10. P. 1786.
- Granovsky A.A. Firefly version 8, http://classic.chem.msu.su/gran/firefly/index.html.
- Adamo C., Barone V. // J. Chem. Phys. 1999. V. 110. № 13. P. 6158.
- Jorge F.E., Neto A.C., Camiletti G.G. et al. // Ibid. 2009. V. 130. № 6. P. 064108.
- Bartashevich E.V., Mukhitdinova S.E., Klyuev I.V. et al. // Molecules. 2022. V. 27. № 17. P. 5411.
- Lu T., Chen F. // J. Comput. Chem. 2012. V. 33. № 5. P. 580.
- Colombant D., Manheimer W., Ott E. // Phys. Rev. Lett. 1984. V. 53. № 5. P. 446.
- Statistica: 13. TIBCO Software Inc, http://statsoft.ru/#tab-STATISTICA-link
- Vener M.V., Shishkina A.V., Rykounov A.A. et al. // J. Phys. Chem. A 2013. V. 117. № 35. P. 8459.
- Mata I., Alkorta I., Espinosa E. et al. // Chem. Phys. Lett. V. 508. № 4–6. P. 332.
Дополнительные файлы







