Sorption of Picolinic Acid and Iron(III) by Sulfocationite Dowex 50
- Authors: Altshuler G.N.1, Ostapova E.V.1, Lyrschikov S.Y.1, Zakharov N.S.1, Altshuler O.G.1,2
-
Affiliations:
- Federal Research Center of Coal and Coal-Chemistry, Siberian Branch, Russian Academy of Sciences
- Kemerovo State University
- Issue: Vol 97, No 10 (2023)
- Pages: 1488-1493
- Section: PHYSICAL CHEMISTRY OF DISPERSED SYSTEMS AND SURFACE PHENOMENA
- Submitted: 18.10.2023
- Published: 01.10.2023
- URL: https://journals.rcsi.science/0044-4537/article/view/140333
- DOI: https://doi.org/10.31857/S0044453723100035
- EDN: https://elibrary.ru/IHPVCS
- ID: 140333
Cite item
Full Text
Abstract
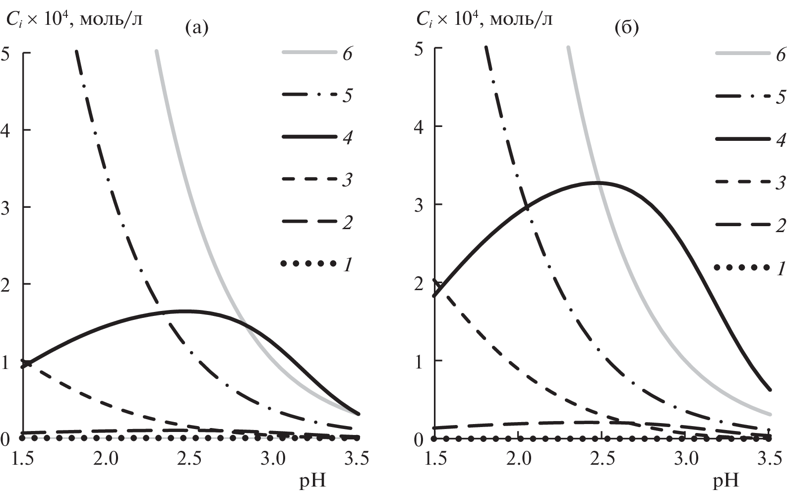
An experimental study of the equilibrium distribution of cations in the system of Dowex 50 sulfonic cation exchanger and an aqueous solution of picolinic acid and iron chloride was carried out. A high concentration of iron and picolinic acid complexes was obtained in the Dowex 50 sulfonic cationite phase. The possibility of calculating the equilibrium counterionic composition of Dowex 50 sulfonic cationite from the equilibrium constants of binary ion exchanges and the known composition of the solution is shown. Sulfocationite Dowex 50 is proposed as a container for biologically active preparations based on picolinic acid and Fe3+ cations.
About the authors
G. N. Altshuler
Federal Research Center of Coal and Coal-Chemistry, Siberian Branch, Russian Academy of Sciences
Email: altshulerh@gmail.com
Kemerovo, Russia
E. V. Ostapova
Federal Research Center of Coal and Coal-Chemistry, Siberian Branch, Russian Academy of Sciences
Email: altshulerh@gmail.com
Kemerovo, Russia
S. Yu. Lyrschikov
Federal Research Center of Coal and Coal-Chemistry, Siberian Branch, Russian Academy of Sciences
Email: altshulerh@gmail.com
Kemerovo, Russia
N. S. Zakharov
Federal Research Center of Coal and Coal-Chemistry, Siberian Branch, Russian Academy of Sciences
Email: altshulerh@gmail.com
Kemerovo, Russia
O. G. Altshuler
Federal Research Center of Coal and Coal-Chemistry, Siberian Branch, Russian Academy of Sciences; Kemerovo State University
Author for correspondence.
Email: altshulerh@gmail.com
Kemerovo, Russia; Kemerovo, Russia
References
- Солдатенков А.Т., Колядина Н.М., Шендрик И.В. Основы органической химии лекарственных веществ. М.: Химия, 2001. 188 с.
- Sinthpoom N., Prachayasittikul V., Prachayasittikul S. et al. // Eur. Food Res. Tech. 2014. V. 240. № 1. P. 1. https://doi.org/10.1007/s00217-014-2354-1
- Grant R.S., Coggan S.E., Smythe G.A. // Int. J. Tryptophan Res. 2009. V. 2. P. 71. https://doi.org/10.4137/IJTR.S2469
- Datta D., Uslu H., Kumar S. // Chemical Engineering Research and Design. 2015. V. 95. P. 105. https://doi.org/10.1016/j.cherd.2015.01.013
- Sahin K., Onderci M., Sahin N. et al. // Anim. Feed Sci. Technol. 2006. V. 129(1–2). P. 39. https://doi.org/10.1016/j.anifeedsci.2005.11.009
- Ciubotariu D., Nechifor M., Dimitriu G. // J. Trace Elem. Med. Biol. 2018. V. 50. P. 676. https://doi.org/10.1016/j.jtemb.2018.06.025
- Aguilar F., Charrondiere U.R., Dusemund B. et al. // The European Food Safety Authority. 2009. V. 1113. P. 1. https://doi.org/10.2903/j.efsa.2009.1113
- Sabatier M., Grathwohl D., Beaumont M. et al. // European J. of Nutrition. 2020. V. 59. P. 1371. https://doi.org/10.1007/s00394-019-01989-4
- Bryszewska M.A., Laghi L., Zannoni A. et al. // Nutrients. 2017. V. 9. № 3. P. 272. https://doi.org/10.3390/nu9030272
- Altshuler H., Ostapova E., Altshuler O. et al. // ADMET and DMPK. 2019. V. 7. № 1. P. 76. https://doi.org/10.5599/admet.626
- Альтшулер Г.Н., Шкуренко Г.Ю., Некрасов В.Н. и др. // Журн. физ. химии. 2022. Т. 96. № 7. С. 1062. [Altshuler G.N., Shkurenko G.Yu., Nekrasov V.N. et al. // Rus. J. of Phys.Chem. A. 2022. V. 96. № 7. P. 1535.] https://doi.org/10.1134/S0036024422070032
- Альтшулер Г.Н., Некрасов В.Н., Альтшулер О.Г. // Там же. 2022. Т. 96. № 8. С. 1176–1179. [Altshuler G.N., Nekrasov V.N., Altshuler O.G. // Ibid. 2022. V. 96. № 8. P. 1724.] https://doi.org/10.1134/S0036024422080027
- Альтшулер Г.Н., Остапова Е.В., Альтшулер О.Г. // Теоретические основы химической технологии. 2022. Т. 56. № 1. С. 128. [Altshuler G.N., Ostapova E.V., Altshuler O.G. // Theoretical Foundations of Chemical Engineering. 2022. V. 56. № 1. P. 124.] https://doi.org/10.1134/S0040579521060014
- Pepper K.W., Reichenberg D., Hale D.K. // J. Chem. Soc. 1952. V. 10. P. 3129. https://doi.org/10.1039/JR9520003129
- HySS 2009. Hyperquad Simulation and Speciation, Protonic Software, Leeds (UK), Universita di Firenze, Firenze (Italy), 2009. http: // www.hyperquad.co.uk/hyss.htm
- IUPAC Stability Constants Database; http: // www.acadsoft.co.uk/scdbase/scdbase.htm.
- Никольский Б.П. Справочник химика. М.: Медиа, 2012. Т. 3. 490 с.
- El-Dessouky M.A., El-Ezaby M.S., Shuaib N.M. // Inorg. Chim. Acta. 1980. 46:7–14. https://doi.org/10.1016/S0020-1693(00)84161-4
- Никольский Б.П. Справочник химика. М.: Книга по Требованию, 2013. Т. 4. 910 с.
- Остапова Е.В., Лырщиков С.Ю., Альтшулер Г.Н. // ЖПХ. 2022. Т. 95. № 8. С. 65. [Ostapova E.V., Lyrshchikov S.Yu., Al’tshuler G.N. // Rus. J. of Applied Chemistry. 2022. V. 95. P. 1223. https: // doi.org/10.1134/S1070427222080195]
- Cnockaert V., Maes K., Bellemans I. et al. // J. of Non-Crystalline Solids. 2020. V. 536. P. 120002. https://doi.org/10.1016/j.jnoncrysol.2020.120002
- Смит А. Прикладная ИК-спектроскопия: основы, техника, аналитическое применение. М.: Мир, 1982. С. 301–308.
- Наканиси К. Инфракрасные спектры и строение органических соединений. М.: Мир, 1965. С. 51.
- Marsh J.L., Wayman A.E., Smiddy N.M. et al. // Langmuir. 2017. V. 33. № 46. P. 13224. https://doi.org/10.1021/acs.langmuir.7b03338
- Koczon P., Dobrowolski J.Cz., Lewandowski W. et al. // J. of Molecular Structure. 2003. V. 655. № 1. P. 89. https://doi.org/10.1016/S0022-2860(03)00247-3
Supplementary files






