Электрохимическое поведение золотого электрода в водном растворе калиевой соли мостикового 1,2,4,5-тетраоксана
- Авторы: Поляков М.В.1, Веденяпина М.Д.1, Скундин А.М.2, Яременко И.А.1, Радулов П.С.1, Кузнецов В.В.1
- 
							Учреждения: 
							- ФГБУН Институт органической химии им. Н.Д. Зелинского Российской академии наук
- ФГБУН Институт физической химии и электрохимии им. А.Н. Фрумкина Российской акаемии наук
 
- Выпуск: Том 97, № 7 (2023)
- Страницы: 972-979
- Раздел: ФИЗИЧЕСКАЯ ХИМИЯ РАСТВОРОВ
- Статья получена: 15.10.2023
- Статья опубликована: 01.07.2023
- URL: https://journals.rcsi.science/0044-4537/article/view/136623
- DOI: https://doi.org/10.31857/S0044453723070221
- EDN: https://elibrary.ru/SMEKND
- ID: 136623
Цитировать
Полный текст
Аннотация
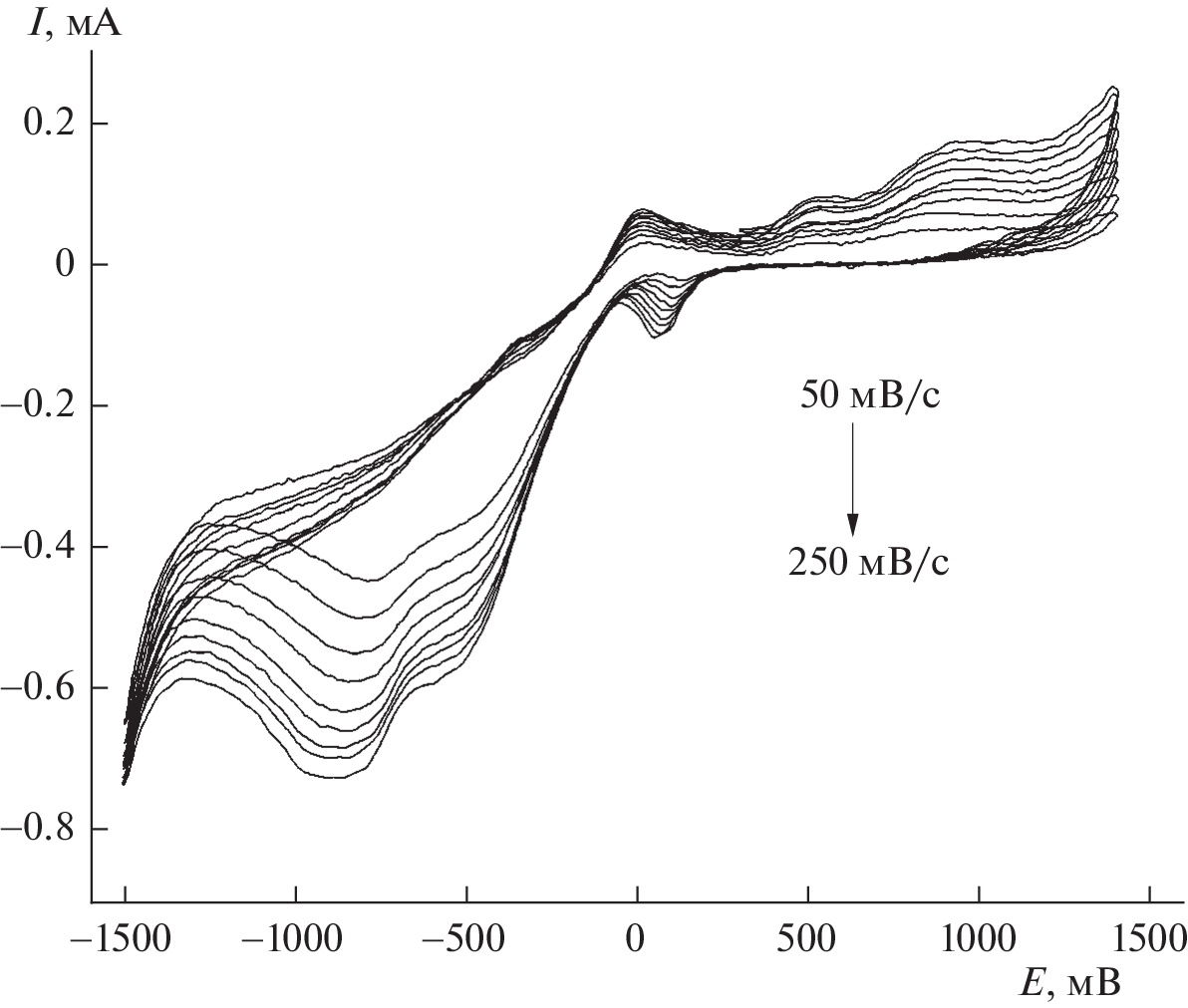
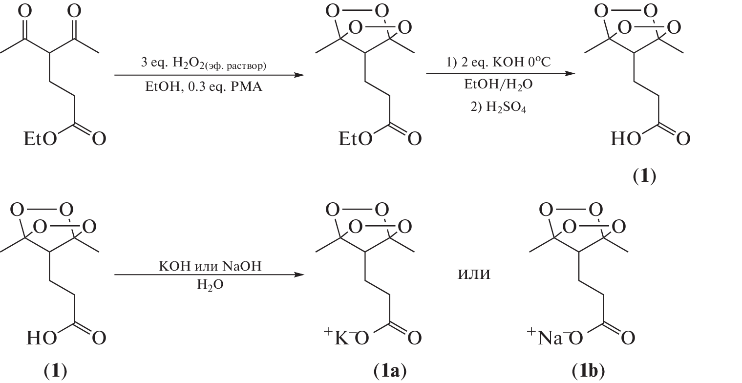
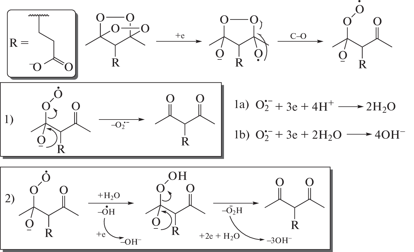
Методом ЦВА изучено поведение гладкого золотого электрода в водных растворах калиевой соли мостикового 1,2,4,5-тетраоксана, содержащей бипероксидный циклический фрагмент. Подробно проанализирован катодный процесс, в котором показано участие четырех электронов, изучены продукты электролиза калиевой соли и предложен механизм протекания реакции.
Ключевые слова
Об авторах
М. В. Поляков
ФГБУН Институт органической химии им. Н.Д. Зелинского Российской академии наук
														Email: SatPolyak@yandex.ru
				                					                																			                												                								Россия, Москва						
М. Д. Веденяпина
ФГБУН Институт органической химии им. Н.Д. Зелинского Российской академии наук
														Email: kuznvv@yandex.ru
				                					                																			                												                								Россия, Москва						
А. М. Скундин
ФГБУН Институт физической химии и электрохимии им. А.Н. Фрумкина Российской акаемии наук
														Email: kuznvv@yandex.ru
				                					                																			                												                								Россия, Москва						
И. А. Яременко
ФГБУН Институт органической химии им. Н.Д. Зелинского Российской академии наук
														Email: kuznvv@yandex.ru
				                					                																			                												                								Россия, Москва						
П. С. Радулов
ФГБУН Институт органической химии им. Н.Д. Зелинского Российской академии наук
														Email: kuznvv@yandex.ru
				                					                																			                												                								Россия, Москва						
В. В. Кузнецов
ФГБУН Институт органической химии им. Н.Д. Зелинского Российской академии наук
							Автор, ответственный за переписку.
							Email: kuznvv@yandex.ru
				                					                																			                												                								Россия, Москва						
Список литературы
- Wenzel D.G., Smith C.M. // J. Am. Pharm. Assoc. Am. Pharm. Assoc. 1958. V. 47. № 11. P. 792–794. https://doi.org/10.1002/jps.3030471109
- Panic G., Duthaler U., Speich B., Keiser J. // Int. J. Parasitol. Drugs Drug. Resist. 2014. V. 4. № 3. P. 185–200. https://doi.org/10.1016/j.ijpddr.2014.07.002
- Perry T.L., Dickerson A., Khan A.A. et al. // Tetrahedron. 2001. V. 57. № 8. P. 1483–1487. https://doi.org/10.1016/S0040-4020(00)01134-0
- Otoguro K., Iwatsuki M., Ishiyama A. et al. // Phytochemistry. 2011. V. 72. № 16. P. 2024–2030. https://doi.org/10.1016/j.phytochem.2011.07.015
- Coghi P. Yaremenko I.A., Prommana P. et al. // ChemMedChem. 2022. V. 17. № 20.
- Chen Y., Killday K.B., McCarthy P.J. et al. // J. Nat. Prod. 2001. V. 64. № 2. P. 262. https://doi.org/10.1021/np000368+
- Gunasekera S.P., Gunasekera M., Gunawardana G.P. et al. // J. Nat. Prod. 2004. V. 53. № 3. P. 669. https://doi.org/10.1021/np50069a021
- Yaremenko I.A., Radulov P.S., Belyakova Y.Y. et al. // Chem Eur. J. 2020. V. 26. № 21. P. 4734.
- Yaremenko I.A., Radulov P.S., Belyakova Y.Y. et al. // Molecules. 2020. V. 25. № 8. P. 1954.
- Yu D.Q., Chen R.Y., Huang L.J. et al. // J. Asian Nat. Prod. Res. 2008. V. 10. № 9–10. P. 851. https://doi.org/10.1080/10286020802144677
- Dias D.A., Urban S. // Nat. Prod. Commun. 2009. V. 4. № 4. P. 489. https://doi.org/10.1177/1934578X0900400409
- Vil’ V.A., Yaremenko I.A., Ilovaisky A.I., Terent’ev A.O. // Synthesis and Reactions. Molecules. 2017. V. 22. № 11. P. 1881. https://doi.org/10.3390/molecules22111881
- Herrmann L., Yaremenko I.A., Çapcı A. et al. // ChemMedChem. 2022. V. 17. № 9.
- Yaremenko I.A., Coghi P., Prommana P. et al. // ChemMedChem. 2020. V. 15. № 13. P. 1118. https://doi.org/10.1002/cmdc.202000042
- Tyumkina T.V., Makhmudiyarova N.N., Kiyamutdinova G.M. et al. // Tetrahedron. 2018. V. 74. № 15. P. 1749. https://doi.org/10.1016/j.tet.2018.01.045
- Yaremenko I.A., Syroeshkin M.A., Levitsky D. et al. // Med. Chem. Res. 2017. V. 26. № 1. P. 170.
- Stringle D.L., Magri D.C., Workentin M.S. // Chemistry. 2010. V. 16. № 1. P. 178. https://doi.org/10.1002/chem.200902023
- Magri D.C., Donkers R.L., Workentin M.S. // J. Photochem. Photobiol., A. 2001. V. 138. № 1. P. 29. https://doi.org/10.1016/S1010-6030(00)00386-5
- Веденяпина М.Д., Скундин А.М., Виль В.А. и др. // Журн. физ. хим. 2020. Т. 94. № 4. С. 624. https://doi.org/10.1134/S0036024420040238
- Веденяпина М.Д., Виль В.А., Терентьев А.О., Веденяпин А.А. // Изв. АН. Сер. Хим. 2017. Т. 66. № 11. С. 2044. https://doi.org/10.1007/s11172-017-1979-1
- Веденяпина М.Д., Симакова А.П., Платонов М.М. и др. // Журн. физ. химии. 2013. Т. 87. № 3. С. 418. https://doi.org/10.1134/S0036024413030333
- Веденяпина М.Д., Скундин А.М., Виль В.А. и др. // Там же. 2021. Т. 95. № 1. С. 147. https://doi.org/10.1134/S0036024421010313
- Terent’ev A.O., Borisov D.A., Chernyshev V.V., Nikishin G.I. // J. Org. Chem. 2009. V. 74. № 9. P. 3335. https://doi.org/10.1021/jo900226b
- Хенце Г. пер. с нем. А.В. Гармаша и А.И. Каменева. Полярография и вольтамперометрия. Теоретические основы и аналитическая практика. М.: БИНОМ. Лаборатория знаний, 2008. С. 43.
- Savéant J. // Advances in Physical organic chemistry. 2000. V. 35. P. 117. https://doi.org/10.1016/s0065-3160(00)35013-4
- Rand D.A.J., Woods R. // J. Electroanal. Chem. 1972. V. 35. № 1. P. 209. https://doi.org/10.1016/S0022-0728(72)80308-5
- Mohammad M., Khan A.Y., Subhani M.S. et al. // Res. Chem. Intermed. 2001. V. 27. № 3. P. 259. https://doi.org/10.1163/156856701300356473
- Chang X., Batchelor-McAuley C., Compton R.G. // Chem. Sci. 2020. V. 11. P. 4416. https://doi.org/10.1039/d0sc00379d
Дополнительные файлы
 
				
			 
						 
						 
						 
					 
						 
									
 
  
  
  Отправить статью по E-mail
			Отправить статью по E-mail 










