Уравнение состояния корунда на основе функций Планка–Эйнштейна
- Авторы: Перевощиков А.В.1, Коваленко Н.А.1, Успенская И.А.1
-
Учреждения:
- Московский государственный университет имени М.В. Ломоносова, Химический факультет
- Выпуск: Том 97, № 4 (2023)
- Страницы: 486-494
- Раздел: ХИМИЧЕСКАЯ ТЕРМОДИНАМИКА И ТЕРМОХИМИЯ
- Статья получена: 15.10.2023
- Статья опубликована: 01.04.2023
- URL: https://journals.rcsi.science/0044-4537/article/view/136552
- DOI: https://doi.org/10.31857/S0044453723040234
- EDN: https://elibrary.ru/TGKFZV
- ID: 136552
Цитировать
Полный текст
Аннотация
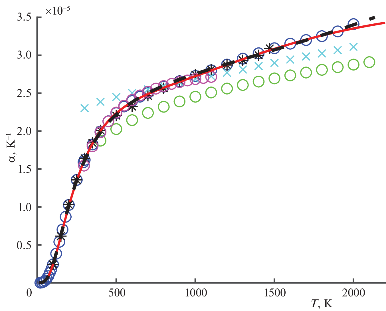
На примере корунда α-Al2O3 показана возможность построения уравнения состояния кристаллического вещества на основе линейной комбинации функций Планка–Эйнштейна. В результате процедуры самосогласования значений теплоемкости, приращения энтальпии, PVT-данных, коэффициента термического расширения и адиабатического модуля упругости получены два варианта уравнения состояния корунда – на основе функций F(V,T) и G(P,T). Оба уравнения показывают приемлемое описание перечисленных свойств в широком интервале изменения переменных (вплоть до давления 165 ГПа и температуры 2250 К).
Об авторах
А. В. Перевощиков
Московский государственный университет имени М.В. Ломоносова,Химический факультет
Email: ira@td.chem.msu.ru
Россия, 119991, Москва
Н. А. Коваленко
Московский государственный университет имени М.В. Ломоносова,Химический факультет
Email: ira@td.chem.msu.ru
Россия, 119991, Москва
И. А. Успенская
Московский государственный университет имени М.В. Ломоносова,Химический факультет
Автор, ответственный за переписку.
Email: ira@td.chem.msu.ru
Россия, 119991, Москва
Список литературы
- Перевощиков А.В., Максимов А.И., Бабаян И.И. и др. // Журн. неорган. химии 2023. Т. 68. № 2. https://doi.org/10.31857/S0044457X22601407
- Voronin G.F., Kutsenok I.B. // J. Chem. Eng. Data 2013. V. 58. № 7. P. 2083. https://doi.org/10.1021/je400316m
- Khvan A.V., Uspenskaya I.A., Aristova N.M. et al. // Calphad 2020. V. 68. P. 101724. https://doi.org/10.1016/j.calphad.2019.101724
- Khvan A.V., Dinsdale A.T., Uspenskaya I.A. et al. // Calphad 2018. V. 60. P. 144. https://doi.org/10.1016/j.calphad.2017.12.008
- Uspenskaya I.A., Kulikov L.A. // J. Chem. Eng. Data 2015. V. 60. № 8. P. 2320. https://doi.org/10.1021/acs.jced.5b00217
- D’Amour H., Schiferl D., Denner W. et al. // J. Appl. Phys. 1978. V. 49. № 8. P. 4411. https://doi.org/10.1063/1.325494
- Archer D.G. // J. Phys. Chem. Ref. Data. 1993. V. 22. № 6. P. 1441. https://doi.org/10.1063/1.555931
- Mao H.K., Bell P.M., Shaner J.W. et al. // J. Appl. Phys. 1978. V. 49. № 6. P. 3276. https://doi.org/10.1063/1.325277
- Levin I., Brandon D. // J. Am. Ceram. Soc. 1998. V. 81. № 8. P. 1995. https://doi.org/10.1111/j.1151-2916.1998.tb02581.x
- Fiquet G., Richet P., Montagnac G. // Phys. Chem. Minerals 1999. V. 27. № 2. P. 103. https://doi.org/10.1007/s002690050246
- Perevoshchikov A.V., Maksimov A.I., Kovalenko N.A. et al. // Russ. J. Phys. Chem. 2022. V. 96. № 10. P. 2059. https://doi.org/10.1134/S0036024422100259
- Huang Y.K., Chow C.Y. // J. Phys. D: Appl. Phys 1974. V. 7. № 15. P. 2021. https://doi.org/10.1088/0022-3727/7/15/305
- Finger L.W., Hazen R.M. // J. Appl. Phys. 1978. V. 49. № 12. P. 5823. https://doi.org/10.1063/1.324598
- Dewaele A., Torrent M. // Phys. Rev. B 2013. V. 88. № 6. P. 064107. https://doi.org/10.1103/PhysRevB.88.064107
- Dorogokupets P.I., Sokolova T.S., Dymshits A.M. et al. // Geodyn. Tectonophys. 2016. V. 7. № 3. P. 459. https://doi.org/10.5800/GT-2016-7-3-0217
- Grevel K.D., Burchard M., Faßhauer D.W. et al. // J. Geophys. Res. Solid Earth 2000. V. 105. № B12. P. 27877. https://doi.org/10.1029/2000jb900323
- Goto T., Anderson O.L., Ohno I. et al. // J. Geophys. Res. 1989. V. 94. № B6. P. 7588. https://doi.org/10.1029/JB094iB06p07588
- Richet P., Xu J.-A., Mao H.-K. // Phys. Chem. Minerals 1988. V. 16. P. 207. https://doi.org/10.1007/BF00220687
- Krupka K.M., Robie R.A., Hemingway B.S. // Am. Mineral 1979. V. 64. P. 86.
- Andrews J.T.S., Norton P.A., Westrum E.F. // J. Chem. Thermodynamics 1978. V. 10. P. 949. https://doi.org/10.1016/0021-9614(78)90056-3
- Inaba A. // J. Chem. Thermodynamics 1983. V. 15. P. 1137. https://doi.org/10.1016/0021-9614(83)90004-6
- Fugate R.Q., Swenson C.A. // J. Appl. Phys. 1969. V. 40. № 7. P. 3034. https://doi.org/10.1063/1.1658118
- Furukawa G.T., Douglas T.B., Mccoskey R.E. et al. // J. Res. Natl. Bur. Stand. 1956. V. 57. № 2. https://doi.org/10.6028/JRES.057.008
- Tan Z., Yin A., Chen S. et al. // Thermochim. Acta 1988. V. 123. P. 105. https://doi.org/10.1016/0040-6031(88)80014-5
- Tan Z.-C., Shi Q., Liu B.-P. et al. // J. Therm. Anal. Calorim. 2008. V. 92. № 2. P. 367. https://doi.org/10.1007/s10973-007-8954-2
- Tan Z., Ye J., Sun Y. et al. // Thermochim. Acta 1991. V. 183. P. 29. https://doi.org/10.1016/0040-6031(91)80442-L
- Tan Z., Zhang J., Meng S. et al. // Sci. China, Ser. B. 1999. V. 42. № 4. P. 382. https://doi.org/10.1007/BF02873967
- Sorai M., Kaji K., Kaneko Y. // J. Chem. Thermodynamics 1992. V. 24. P. 167. https://doi.org/10.1016/S0021-9614(05)80046-1
- Ditmars D.A., Douglas T.B. // J. Res. Natl. Bur. Stand. A Phys. Chem. 1971. V. 75. № 5. P. 401. https://doi.org/10.6028/JRES.075A.031
- Richet P., Denielou L., Petitet J.P. et al. // Geochim. Cosmochim. Acta 1982. V. 46. P. 2639. https://doi.org/10.1016/0016-7037(82)90383-0
- Ditmars D.A., Ishihara S., Chang S.S. et al. // J. Res. Natl. Bur. Stand. 1982. V. 87. № 2. P. 159. https://doi.org/10.6028/jres.087.012
- Richet P., Fiquet G. // J. Geophys. Res. 1991. V. 96. № B1. P. 445. https://doi.org/10.1029/90JB02172
- Петухов В., Чеховской В., Багдасаров Х. // Теплофизика высоких температур 1973. Т. 11. № 5. C. 1083.
- Aldebert P., Traverse J.-P. // High Temp. High Pres. 1984. V. 16. № 2. P. 127.
- White G.K., Minges M.L., Castanet R.B. et al. // Int. J. Thermophys. 1997. V. 18. № 5. P. 1269. https://doi.org/10.1007/BF02575261
- Schauer A. // Can. J. Phys. 1965. V. 43. P. 523. https://doi.org/10.1139/p65-049
- Wachtman J.B., Scuderi T.G., Cleek G.W. // J. Am. Ceram. Soc. 1962. V. 45. № 7. P. 319. https://doi.org/10.1111/j.1151-2916.1962.tb11159.x
- Dubrovinsky L., Saxená Lazor S.P., Dubrovinsky L.S. et al. // Phys. Chem. Minerals 1998. V. 25. P. 434. https://doi.org/10.1007/s002690050133
- Tarumi R., Ledbetter H., Ogi H. et al. // Philos. Mag. 2013. V. 93. № 36. P. 4532. https://doi.org/10.1080/14786435.2013.837225
- Dubrovinsky L.S., Saxena S.K. // Phys. Chem. Minerals 1997. V. 24. № 8. P. 547. https://doi.org/10.1007/s002690050070
- Sato Y., Akimoto S.I. // J. Appl. Phys. 1979. V. 50. № 8. P. 5285. https://doi.org/10.1063/1.326625






