Determination of the Matrix Composition of Glasses of the Ga–Ge–Te–I System by Inductively Coupled Plasma Atomic Emission Spectrometry
- Authors: Evdokimov I.I.1, Kurganova A.E.1, Velmuzhov A.P.1
-
Affiliations:
- Devyatykh Institute of Chemistry of High-Purity Substances, Russian Academy of Sciences
- Issue: Vol 78, No 5 (2023)
- Pages: 461-468
- Section: ORIGINAL ARTICLES
- Submitted: 14.10.2023
- URL: https://journals.rcsi.science/0044-4502/article/view/136042
- DOI: https://doi.org/10.31857/S0044450223050043
- EDN: https://elibrary.ru/MIPKTY
- ID: 136042
Cite item
Full Text
Abstract
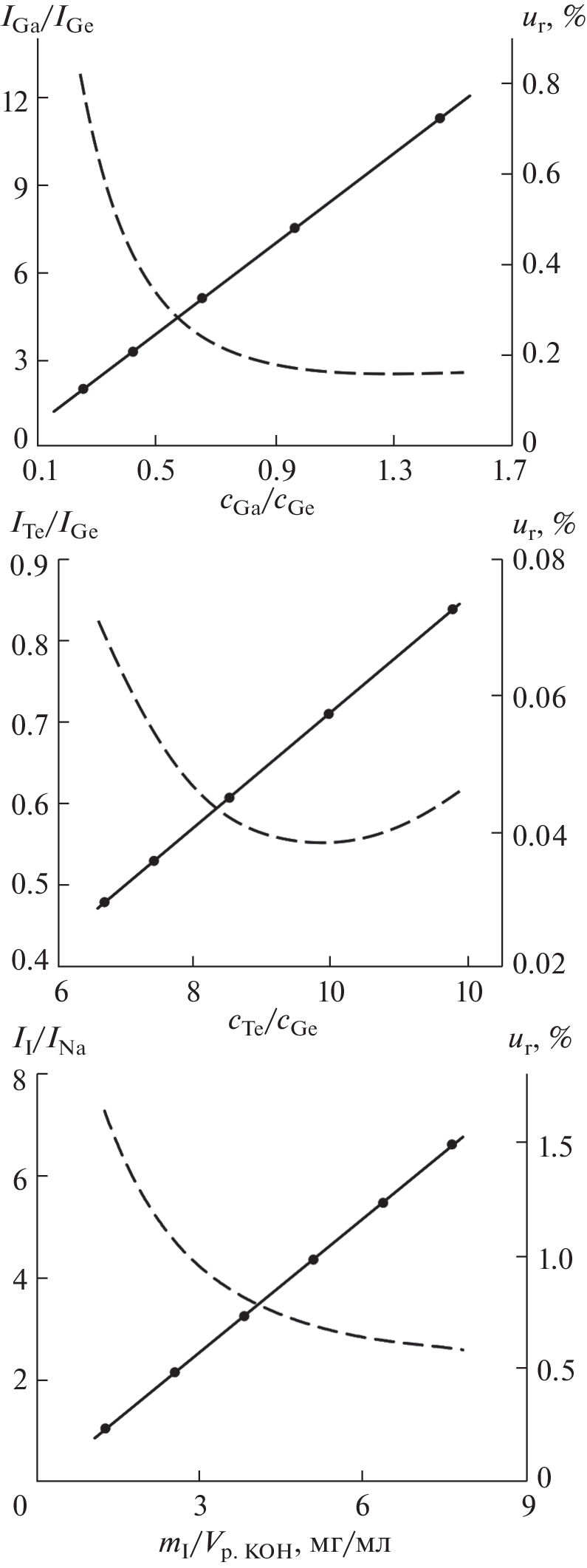
A procedure is developed for the high-precision determination of matrix elements of high-purity glasses of the Ga–Ge–Te–I system, containing from 5 to 15 at % Ga, from 10 to 20 at % Ge, from 69 to 75 at % Te, and from 1 to 6 at % I, using inductively coupled plasma atomic emission spectrometry. The procedure includes two stages independent of each other: determination of the ratio of the mass fractions of Ga and Te to the mass fraction of Ge (stage 1) and determination of the mass fraction of I (stage 2) in the glass sample. Based on these values, the mass and mole fractions of each matrix element of the analyzed sample were calculated. Sample preparation includes the acid dissolution (provides quantitative transfer of Ga, Ge, and Te into the solution) and alkaline opening (provides quantitative transfer of I into the solution) of samples. The accuracy of the results of analysis was confirmed by comparing the results of an analysis of model solutions and model glass samples with the calculated composition. The estimated uncertainty of the results of analysis is 0.05–0.1 at % at P = 0.95.
About the authors
I. I. Evdokimov
Devyatykh Institute of Chemistry of High-Purity Substances, Russian Academy of Sciences
Email: iliya@citydom.ru
603951, Nizhny Novgorod, Russia
A. E. Kurganova
Devyatykh Institute of Chemistry of High-Purity Substances, Russian Academy of Sciences
Email: iliya@citydom.ru
603951, Nizhny Novgorod, Russia
A. P. Velmuzhov
Devyatykh Institute of Chemistry of High-Purity Substances, Russian Academy of Sciences
Author for correspondence.
Email: iliya@citydom.ru
603951, Nizhny Novgorod, Russia
References
- Velmuzhov A.P., Sukhanov M.V., Plekhovich A.D., Zernova N.S., Churbanov M.F. Preparation and investigation of the properties of Ge25 – xGaxTe75 – yIy glass system (x = 5, 10, 15, y = 0–6) // J. Non-Cryst. Solids. 2019. V. 503–504. P. 297. https://doi.org/10.1016/j.jnoncrysol.2018.10.008
- Velmuzhov A.P., Sukhanov M.V., Plekhovich A.D., Shiryaev V.S., Churbanov M.F. Effect of iodine on the properties of [GeS1.5]100 – xIx (x = 0–10) glasses // J. Non-Cryst. Solids. 2018. V. 480. P. 8. https://doi.org/10.1016/j.jnoncrysol.2017.06.030
- Seddon A.B., Hemingway M.A. Thermal properties of chalcogenide-halide glasses in the system: Ge–S–I // J. Thermal Anal. 1991. V. 37. P. 2189. https://doi.org/10.1007/BF01905586
- Курганова А.Е., Снопатин Г.Е., Сучков А.И. Определение макросостава стекол систем As–S, As–Se, As–S–Se методом рентгенофлуоресцентного анализа // Неорг. материалы. 2009. Т. 45. № 12. С. 1506. (Kurganova A.E., Snopatin G.E., Suchkov A.I. X-ray fluorescence determination of the macroscopic composition of As–S, As–Se, and As–S–Se glasses // Inorg. Mater. 2009. V. 45. № 12. P. 1408.)https://doi.org/10.1134/S002016850912019X
- Бордовский Г.А., Марченко А.В., Серегин П.П., Бобохужаев К.У. Рентгенофлуоресцентный анализ стекол системы Ge–As–Se с возбуждением флуоресценции рентгеновским излучением и электронным пучком // Неорг. материалы. 2015. Т. 51. № 9. С. 1019. (Bordovsky G.A., Marchenko A.V., Seregin P.P., Bobokhuzhaev K.U. X-ray fluorescence analysis of Ge–As–Se glasses using X-ray and electron-beam excitation // Inorg. Mater. 2015. V. 51. № 9. P. 939. https://doi.org/10.1134/S002016851508006310.1134/S0020168515080063)https://doi.org/10.7868/S0002337X15080060
- Skripachev I.V., El-Amraoui M., Messaddeq Y. Study of the glass transition temperature of As–S glasses for the fabrication of chalcogenide optical fibers // Int. J. Appl. Glass Sci. 2013. V. 4 № 3. P. 256.https://doi.org/10.7868/S004445021804002310.1111/ijag.12020
- Евдокимов И.И., Пименов В.Г., Фадеева Д.А. Возможности определения матричных элементов высокочистых стекол систем As–Se и As–S методом атомно-эмиссионной спектрометрии с индуктивно связанной плазмой // Журн. аналит. химии. 2018. Т. 73. № 4. С. 253. (Evdokimov I.I., Pimenov V.G., Fadeeva D.A. Possibilities of the determination of matrix elements of high-purity glasses of As–Se and As–S systems by inductively coupled plasma atomic emission spectrometry // J. Anal. Chem. 2018. V. 73. P. 334. https://doi.org/10.1134/S106193481802004110.1134/S1061934818020041)https://doi.org/10.7868/S0044450218040023
- Velmuzhov A.P., Evdokimov I.I., Sukhanov M.V., Fadeeva D.A., Zernova N.S., Kurganova A.E. Distribution of elements in Ge–Se bulk glasses and optical fibers detected by inductively coupled plasma atomic emission spectrometry // J. Phys. Chem. Solids. 2020. V. 142. P. 109461. https://doi.org/10.1016/j.jpcs.2020.109461
- Фадеева Д.А., Евдокимов И.И., Пименов В.Г. Определение матричного состава халькогенидных стекол системы Ge–Se–Te методом АЭС-ИСП // Аналитика и контроль. 2020. Т. 24. № 4. С. 277. https://doi.org/10.15826/analitika.2020.24.4.002
- Евдокимов И.И., Фадеева Д.А., Курганова А.Е., Ширяев В.С., Пименов В.Г., Караксина Э.В. Определение матричных элементов и празеодима в стеклах системы Ga–Ge–As–Se методом атомно-эмиссионной спектрометрии с индуктивно связанной плазмой // Журн. аналит. химии. 2020. Т. 75. № 7. С. 606. (Evdokimov I.I., Fadeeva D.A., Kurganova A.E., Shiryaev V.S., Pimenov V.G., Karaksina E.V. Determination of matrix elements and praseodymium in Ga–Ge–As–Se glasses by inductively coupled plasma-atomic emission spectrometry // J. Anal. Chem. 2020. V. 75. № 7. P. 869. https://doi.org/10.1134/S106193482007006010.1134/S1061934820070060https://doi.org/10.31857/S0044450220070063
- Ксензенко В.И., Стасиневич Д.С. Химия и технология брома, йода и их соединений: Учебное пособие для вузов. М.: Химия, 1995. 432 с.
- Coplen T., Meyers F., Holden N. Clarifying atomic weights: A 2016 four-figure table of standard and conventional atomic weights // J. Chem. Educ. 2017. V. 94. № 3. P. 311. https://doi.org/10.1021/acs.jchemed.6b00510
- ГОСТ 34100.3-2017 /ISO/IEC Guide 98-3:2008. Неопределенность измерения. Часть 3. Руководство по выражению неопределенности измерения. М.: Стандартинформ, 2017. 112 с.
- Зайдель А.Н., Прокофьев В.К., Райский С.М., Славный В.А., Шрейдер Е.Я. Таблицы спектральных линий. М.: Наука, 1969. 788 с.
- Дворкин В.И. Метрология и обеспечение качества химического анализа. М.: Изд-во МИТХТ, 1994. 268 с.
- ГОСТ Р 50.4.006-2002. Межлабораторные сравнительные испытания при аккредитации и инспекционном контроле испытательных лабораторий. Методика и порядок проведения. М.: Изд-во стандартов, 2002. 19 с.
Supplementary files



