Benzofuran Spiropyrans as Analytical Reagents for Low-Molecular-Weight Aminothiols
- Authors: Shcherbatykh A.A.1, Askalepova O.I.1, Bulanov A.O.1, Shcherbakov I.N.1, Nguyen S.T.1
-
Affiliations:
- Department of Chemistry, Southern Federal University
- Issue: Vol 78, No 2 (2023)
- Pages: 151-158
- Section: ORIGINAL ARTICLES
- Submitted: 14.10.2023
- URL: https://journals.rcsi.science/0044-4502/article/view/136007
- DOI: https://doi.org/10.31857/S0044450223010127
- EDN: https://elibrary.ru/CEFYIX
- ID: 136007
Cite item
Full Text
Abstract
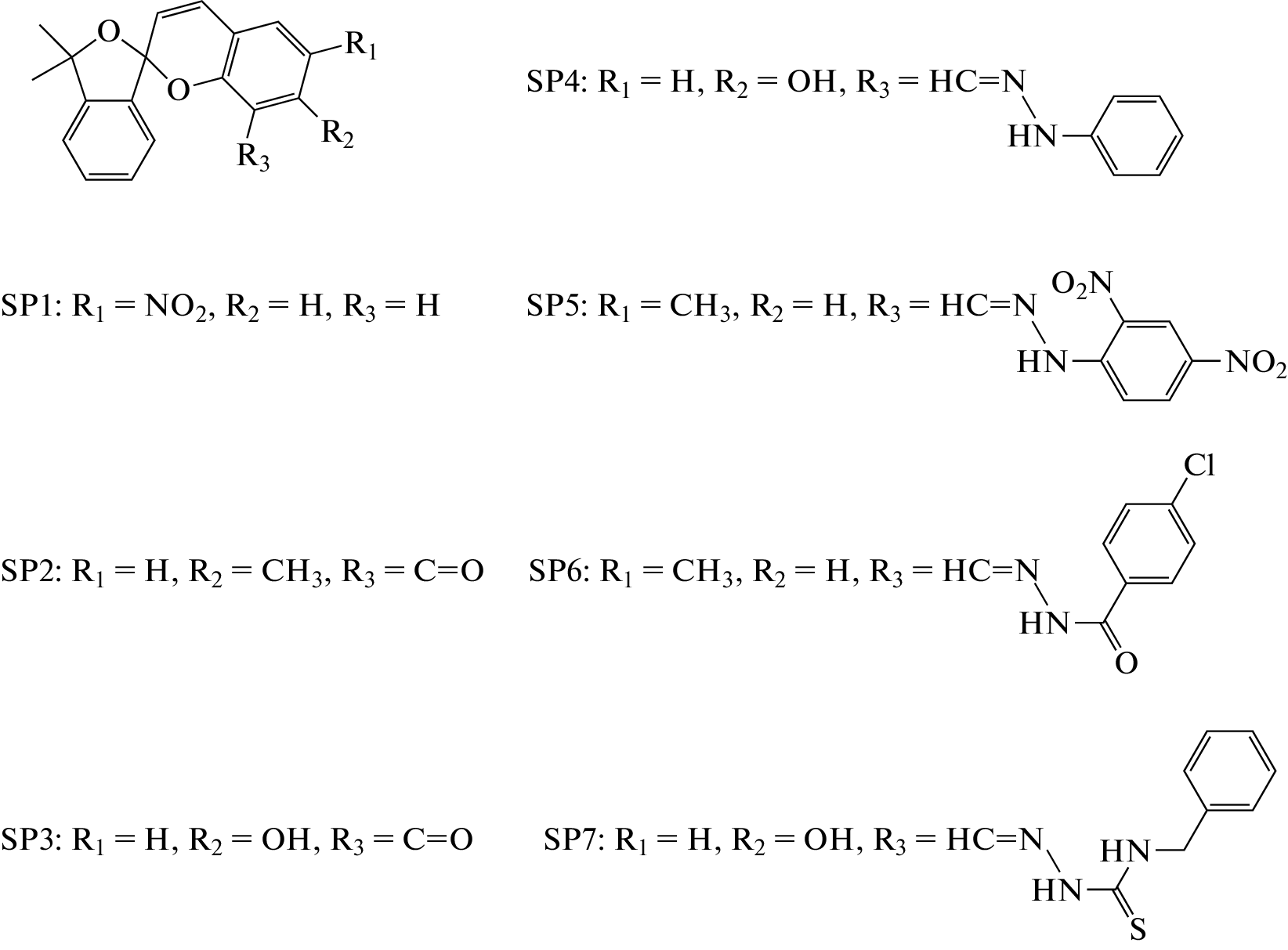
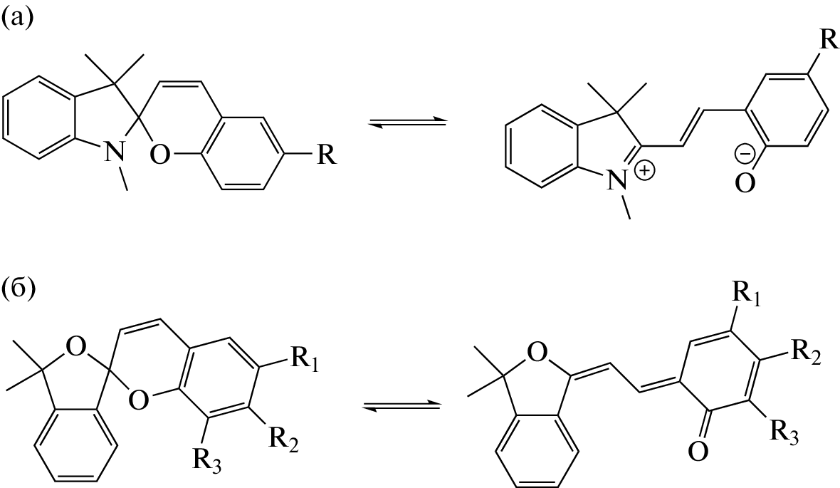
The problem of determining biologically active low-molecular-weight aminothiols, such as cysteine and glutathione, requires the development of new methods and analytical reagents. Among the latter substances, a group of spiropyrans can be distinguished, which are photochromic organic substances reaching an equilibrium between their cyclic and open forms in solutions. We consider a possibility of using benzofuran spiropyrans as analytical reagents for aminothiols and studied the effect of various substituents in their structure on the change in optical properties in the presence of cysteine and glutathione. An equilibrium in solutions of benzofuran spiropyrans bearing a hydroxyl group in position 7 shifts in the presence of analytes towards the formation of a colored open form. The considered spiropyrans were used to create a simple, selective, and sensitive procedure for the spectrophotometric and kinetic determination of cysteine and glutathione in vitro.
Keywords
About the authors
A. A. Shcherbatykh
Department of Chemistry, Southern Federal University
Email: sherbatyh@sfedu.ru
344090, Rostov-on-Don, Russia
O. I. Askalepova
Department of Chemistry, Southern Federal University
Email: sherbatyh@sfedu.ru
344090, Rostov-on-Don, Russia
A. O. Bulanov
Department of Chemistry, Southern Federal University
Email: sherbatyh@sfedu.ru
344090, Rostov-on-Don, Russia
I. N. Shcherbakov
Department of Chemistry, Southern Federal University
Email: sherbatyh@sfedu.ru
344090, Rostov-on-Don, Russia
S. T. Nguyen
Department of Chemistry, Southern Federal University
Author for correspondence.
Email: sherbatyh@sfedu.ru
344090, Rostov-on-Don, Russia
References
- Yin F., Sancheti H., Cadenas E. Mitochondrial thiols in the regulation of cell death pathways // Antioxid. Redox Signaling. 2012. V. 17. № 12. P. 1714.
- Щербатых А.А., Черновьянц М.С. Исследование антитиреоидных и антиоксидантных свойств цистеина, глутатиона и метионина методами спектрофотометрии и высокоэффективной жидкостной хроматографии // Журн. аналит. химии. 2021. Т. 76. № 4. С. 313. (Shcherbatykh A.A., Chernov’yants M.S. Study of antithyroid and antioxidant properties of cysteine, glutathione, and methionine by spectrophotometry and high performance liquid chromatography // J. Anal. Chem. 2021. V. 76. № 4. P. 476.)
- Jones D.P., Liang Y. Measuring the poise of thiol/disulfide couples in vivo // Free Radical Biol. Med. 2009. V. 47. № 10. P. 1329.
- Dröge W., Hack V., Breitkreutz R., Holm E., Shubinsky G., Schmid E., Galter D. Role of cysteine and glutathione in signal transduction, immunopathology and cachexia // BioFactors (Oxford, England). 1998. V. 8. № 1–2. P. 97.
- Yang Y., Feng Y., Qiu F., Iqbal K., Wang Y., Song X., Wang Y., Zhang G., Liu W. Dual-site and dual-excitation fluorescent probe that can be tuned for discriminative detection of cysteine, homocystein, and thiophenols // Anal. Chem. 2018. V. 90. № 23. P. 14048.
- Głowacki R., Borowczyk K., Bald E. Fast analysis of wine for total homocysteine content by high-performance liquid chromatography // Amino Acids. 2012. V. 42. № 1. P. 247.
- Yue Y., Huo F., Ning P., Zhang Y., Chao J., Meng X., Yin C. Dual-site fluorescent probe for visualizing the metabolism of CYS in living cells // J. Am. Chem. Soc. 2017. V. 139. № 8. P. 3181.
- Zhang S., Ong C.-N., Shen H.-M. Critical roles of intracellular thiols and calcium in parthenolide-induced apoptosis in human colorectal cancer cells // Cancer Lett. 2004. V. 208. № 2. P. 143.
- Seshadri S., Beiser A., Selhub J., Jacques P.F., Rosenberg I.H., D’Agostino R.B., Wilson P.W.F., Wolf P.A. Plasma homocysteine as a risk factor for dementia and Alzheimer’s disease // The New England J. Med. 2002. V. 346. № 7. P. 476.
- Gao Q., Zhang W., Song B., Zhang R., Guo W., Yuan J. Development of a novel lysosome-targeted ruthenium(II) complex for phosphorescence/time-gated luminescence assay of biothiols // Anal. Chem. 2017. V. 89. № 8. P. 4517.
- Zhang Q., Ding S., Zhai Q., Feng G. Highly sensitive and selective detection of biothiols by a new low dose colorimetric and fluorescent probe // RSC Adv. 2015. V. 5. № 77. P. 62325.
- Jia L., Niu L.-Y., Yang Q.-Z. Fluorescent probe for simultaneous discrimination of GSH, Cys, and SO2 derivatives // Anal. Chem. 2020. V. 92. № 15. P. 10800.
- Zhang M., Wang L., Zhao Y., Wang F., Wu J., Liang G. Using bioluminescence turn-on to detect cysteine in vitro and in vivo // Anal. Chem. 2018. V. 90. № 8. P. 4951.
- Liang S.-C., Wang H., Zhang Z.-M., Zhang H.-S. Determination of thiol by high-performance liquid chromatography and fluorescence detection with 5-methyl-(2-(m-iodoacetylaminophenyl)benzoxazole // Anal. Bioanal. Chem. 2005. V. 381. № 5. P. 1095.
- Ševčíková P., Glatz Z., Tomandl J. Determination of homocysteine in human plasma by micellar electrokinetic chromatography and in-capillary detection reaction with 2,2'-dipyridyl disulfide // J. Chromatogr. A. 2003. V. 990. № 1–2. P. 197.
- Yuan W., Edwards J.L. Thiol metabolomics of endothelial cells using capillary liquid chromatography mass spectrometry with isotope coded affinity tags // J. Chromatogr. A. 2011. V. 1218. № 18. P. 2561.
- Głowacki R., Stachniuk J., Borowczyk K., Jakubowski H. Quantification of homocysteine and cysteine by derivatization with pyridoxal 5’-phosphate and hydrophilic interaction liquid chromatography // Anal. Bioanal. Chem. 2016. V. 408. № 7. P. 1935.
- Shcherbatykh A.A., Chernov’yants M.S., Popov L.D. Determination of low molecular thiols and protein sulfhydryl groups using heterocyclic disulfides // Amino Acids. 2022. V. 54. P. 469.
- Shao N., Jin J., Wang H., Zheng J., Yang R., Chan W., Abliz Z. Design of bis-spiropyran ligands as dipolar molecule receptors and application to in vivo glutathione fluorescent probes // J. Am. Chem. Soc. 2010. V. 132. № 2. P. 725.
- Волошин Н.А., Чернышев А.В., Безуглый С.О., Метелица А.В., Волошина Е.Н., Минкин В.И. Спиропираны и спирооксазины // Изв. АН. Сер. хим. 2008. № 1. С. 146. (Voloshin N.A., Chernyshev A.V., Bezuglyi S.O., Metelitsa A.V., Voloshina E.N., Minkin V.I. Spiropyrans and spirooxazines // Russ. Chem. Bull. 2008. V. 57. № 1. P. 151.)
- Распопова Е.А., Морозов А.Н., Буланов А.О., Попов Л.Д., Щербаков И.Н., Левченков С.И., Коган В.А. Новая лигандная система на основе ферроценоилгидразона 7'-гидрокси-3-метил-8'-формил-3,4-дигидро-2Н-1,3-бензоксазин-2-спиро-2(Н)-хро-мена // Журн. общ. химии. 2012. Т. 82. № 8. С. 1396. (Raspopova E.A., Morozov A.N., Bulanov A.O., Popov L.D., Shcherbakov I.N., Levchenkov S.I., Kogan V.A. A new ligand system based on 7′-hydroxy-3-methyl-8′-formyl-3,4-dihydro-2H-1,3-benzoxazine-2-spiro-2(H)-chromene Ferrocenoylhydrazone // Russ. J. Gen. Chem. 2012. V. 82. № 8. P. 1457.)
- Chernyshev A.V., Rostovtseva I.A., Burov O.N., Popov L.D., Morozov A.N., Kletskii M.E., Bulanov A.O., Gaeva E.B., Metelitsa A.V. Hydrogen bond effect of the photoswitching of a spiropyran dyad // J. Photochem. Photobiol. A. 2020. V. 398. Article 112611.
- Feuerstein T.J., Müller R., Barner-Kowollik C., Roesky P.W. Investigating the photochemistry of spiropyran metal complexes with online LED-NMR // Inorg. Chem. 2019. V. 58. № 22. P. 15479.
- Liu Y., Fan M., Zhang S., Sheng X., Yao J. Basic amino acid induced isomerization of a spiropyran: Towards visual recognition of basic amino acids in water // New J. Chem. 2007. V. 31. № 11. P. 1878.
- Garcia J., Addison J.B., Liu S.Z., Lu S., Faulkner A.L., Hodur B.M., Balmond E.I., Or V.W., Yun J.H., Trevino K., Shen B., Shaw J.T., Frank N.L., Louie A.Y. Antioxidant sensing by spiropyrans: Substituent effects and NMR spectroscopic studies // J. Phys. Chem. B. 2019. V. 123. № 31. P. 6799.
- Li Y., Duan Y., Li J., Zheng J., Yu H., Yang R. Simultaneous nucleophilic-substituted and electrostatic interactions for thermal switching of spiropyran: A new approach for rapid and selective colorimetric detection of thiol-containing amino acids // Anal. Chem. 2012. V. 84. № 11. P. 4732.
- Shcherbakov I.N., Bulanov A.O., Revinskii Y.V., Popov L.D. Conjugated prototropic and ring opening rearrangements in Schiff base derivatives of formyl functionalized 2-oxaindane series spiropyran: Synthesis, NMR, IR, UV/Vis, and DFT study // Struct. Chem. 2019. V. 30. № 4. P. 1381.
- Попов Л.Д., Буланов А.О., Распопова Е.А., Морозов А.Н., Щербаков И.Н., Кобелева О.И., Валова Т.М., Барачевский В.А. Синтез новых спиропиранов и исследование влияния природы заместителей на их фотохромизм и комплексообразование // Журн. общ. химии. 2013. Т. 83. № 6. С. 980. (Popov L.D., Bulanov A.O., Raspopova E.A., Morozov A.N., Scherbakov I.N., Kobeleva O.I., Valova T.M., Barachevskii V.A. Synthesis of new spiropyranes and study of the effect of the nature of substituents on their photochromism and complexation // Russ. J. Gen. Chem. 2013. V. 83. № 6. P. 1111.)
- Попов Л.Д., Щербаков И.Н., Буланов А.О., Шашева Е.Ю., Ткаченко Ю.Н., Кобелева О.И., Валова Т.М., Барачевский В.А. Синтез, фотохромные свойства и комплексообразование с ионами металлов гидразонов на основе спиропирана оксаинданового ряда // Журн. общ. химии. 2012. Т. 82. № 8. С. 1362. (Popov L.D., Shcherbakov I.A., Bulanov A.O., Shasheva E.Y., Tkachenko Y.N., Kobeleva O.I., Vyalova T.M., Barachevskii V.A. Synthesis, photochromic properties, and complex formation with metal ions of hydrazones based on a spiropyran of oxaindane series // Russ. J. Gen. Chem. 2012. V. 82. № 8. P. 1432.)
- Bulanov A.O., Shcherbakov I.N., Popov L.D., Shasheva E.Y., Belikov P.A., Starikova Z.A. Novel hydrazone derivatives of 7-hydroxy-3',3'-dimethyl-3'H-spirochromene-2,1'-isobenzofuran-8-carbaldehyde // Acta Crystallogr. C: Struct. Chem. 2011. V. C67. Pt 3. P. o85.
- Bulanov A.O., Shcherbakov I.N., Tupolova Y.P., Popov L.D., Lukov V.V., Kogan V.A., Belikov P.A. A novel chelatofore functionalized spiropyran of the 2-oxaindane series // Acta Crystallogr. C: Struct. Chem. 2009. V. C65. Pt 12. P. o618.
Supplementary files







