The Influence of the Cadmium Complex of Nitrilo-Tris-Methylenephosphonic Acid and Electrochemical Behavior of Low-Carbon Steel in Neutral Aqueous Media Containing Chloride Ions
- Authors: Kazantseva I.S.1, Chausov F.F.2, Lomova N.V.2, Vorobyov V.L.1
-
Affiliations:
- Federal State Budgetary Institution of Science “Udmurt Federal Research Center of the Ural Branch of the Russian Academy of Sciences”, 426067, Izhevsk, Russia
- Udmurt Federal Research Center, Ural Branch, Russian Academy of Sciences, Izhevsk, 426000 Russia
- Issue: Vol 59, No 3 (2023)
- Pages: 330-340
- Section: ФИЗИКО-ХИМИЧЕСКИЕ ПРОБЛЕМЫ ЗАЩИТЫ МАТЕРИАЛОВ
- URL: https://journals.rcsi.science/0044-1856/article/view/139725
- DOI: https://doi.org/10.31857/S0044185623700389
- EDN: https://elibrary.ru/SFQBTB
- ID: 139725
Cite item
Full Text
Abstract
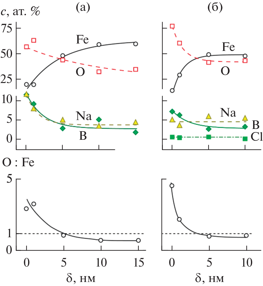
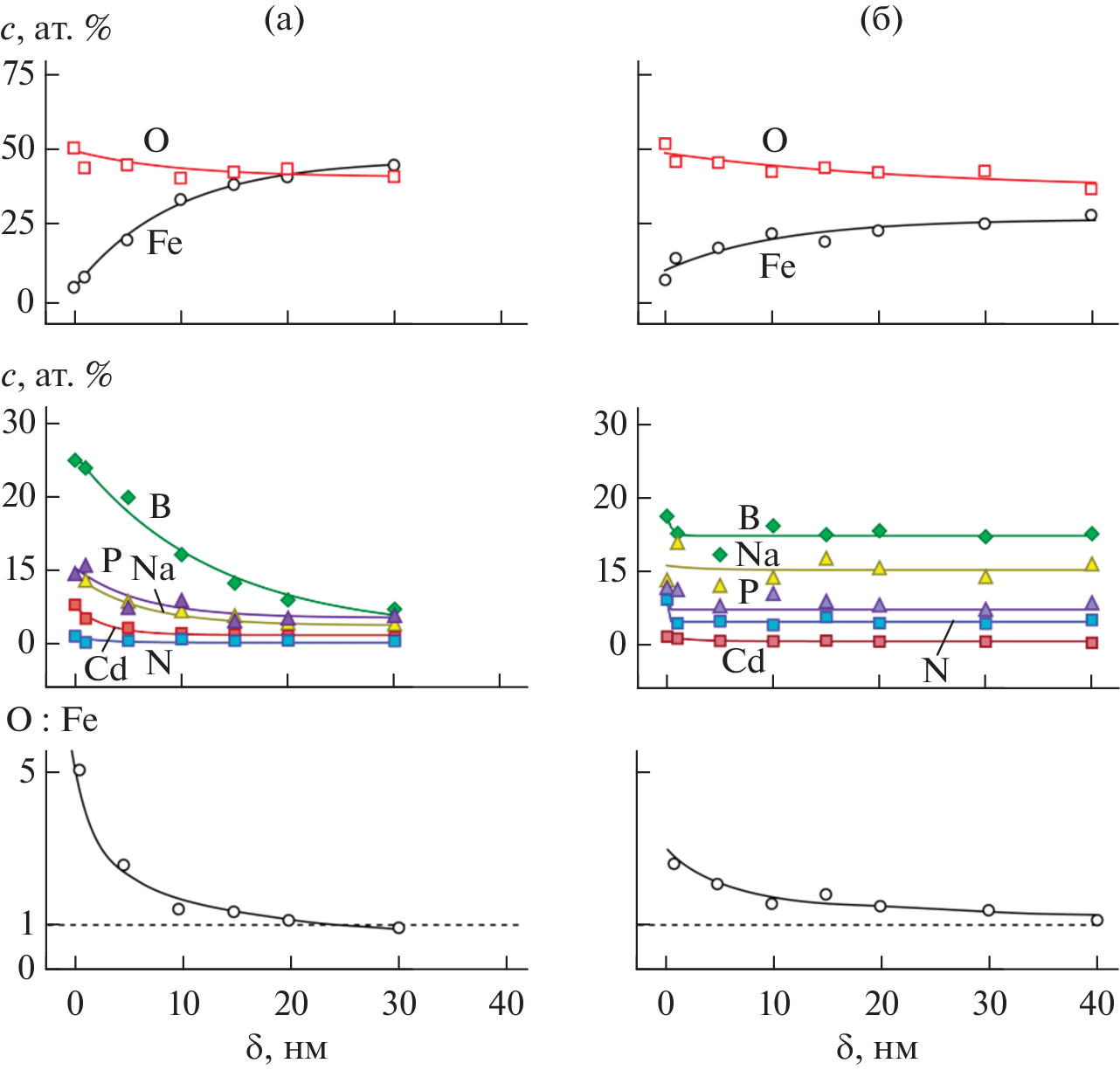
The potentiodynamic method was used to study the influence of the cadmium complex of nitrilo-tris-methylenephosphonic acid Na4[Cd(H2O)N(CH2PO3)3]·7H2O on the corrosion-electrochemical behavior of low-carbon steel in neutral aqueous media in the presence of Cl ions-. The composition and structure of passive films formed at different potentials and composition of the medium were studied by X-ray photoelectron spectroscopy with layer-by-layer etching. When the content of Cl– ions up to 20 mg/dm3 Na4[Cd(H2O)N(CH2PO3)3]·7H2O at a concentration of 0.025–1.00 g/dm3 acts as a corrosion inhibitor, reducing the current density of anodic dissolution of the metal, and, at a concentration of more than 1.00 g/dm3, encouraging corrosion. The minimum corrosion rate is achieved at a concentration of Na4[Cd(H2O)N(CH2PO3)3]·7H2O 0.15 g/dm3 regardless of the concentration of Cl– ions. At Cl– ion concentrations of 50 mg/dm3 and more, Na4[Cd(H2O)N(CH2PO3)3]·7H2O is ineffective as a corrosion inhibitor.
About the authors
I. S. Kazantseva
Federal State Budgetary Institution of Science “Udmurt Federal Research Center of the Ural Branch of the Russian Academy of Sciences”, 426067, Izhevsk, Russia
Email: chaus@udman.ru
Россия, 426067, Ижевск, ул. Т. Барамзиной, 34
F. F. Chausov
Udmurt Federal Research Center, Ural Branch, Russian Academy of Sciences, Izhevsk, 426000 Russia
Email: chaus@udman.ru
Россия, Ижевск
N. V. Lomova
Udmurt Federal Research Center, Ural Branch, Russian Academy of Sciences, Izhevsk, 426000 Russia
Email: chaus@udman.ru
Россия, Ижевск
V. L. Vorobyov
Federal State Budgetary Institution of Science “Udmurt Federal Research Center of the Ural Branch of the Russian Academy of Sciences”, 426067, Izhevsk, Russia
Author for correspondence.
Email: chaus@udman.ru
Россия, 426067, Ижевск, ул. Т. Барамзиной, 34
References
- Kuznetsov Yu.I. Organic Inhibitors of Corrosion of Metals. NY: Springer. 1996. 284 p.
- Ralston P.H. // J. Pet. Chem. 1969. V. 21. P. 1029–1036.
- Дятлова Н.М., Темкина В.Я., Попов К.И. Комплексоны и комплексонаты металлов. М.: Химия. 1988. 544 с.
- Benner R.S., Green L.A. / Treating water to retard corrosion // US Patent 3901651.
- Carter D.A., Vogt F.G. / Silicate-based corrosion inhibitor // US Patent 3960576.
- Кузнецов Ю.И., Казанская Г.Ю., Цирульникова Н.В. // Защита металлов. 2003. Т. 39. № 2. С. 141–146.
- Chausov F.F., Kazantseva I.S., Reshetnikov S.M., Lomova N.V. et al. // Chemistry Select. 2020. V. 5. P. 13711–13719.
- Saha G., Kurmaih N. // Corros. Sci. 1986. V. 42. P. 233–235.
- Кузнецов Ю.И., Раскольников А.Ф. // Защита металлов. 1992. Т. 28. № 2. С. 249–256.
- Gonzalez Y., Lafont M.C., Pebere N., Moran F. // J. Appl. Electrochem. 1996. V. 26. P. 1259–1265.
- Yabuki A., Kunimoto H. // Zairyo to Kankyo. 2005. V. 54. P. 74–78.
- Papadaki M., Demadis K.D. // Comments Inorg. Chem. 2009. V. 30. P. 89–118.
- Labjar M., Lebrini N., Bentiss F., Chihib N.E. et al. // Mater. Chem. Phys. 2010. V. 119. P. 330–336.
- Umoren S.A., Solomon M.M., Environ J. // Chem. Eng. 2017. V. 5. P. 246–273.
- Kavipriya K., Rajendran S., Sathiyabama J., Suriya Prabha A. // Eur. Chem. Bull. 2012. V. 1. P. 366–374.
- Muthumani N., Rajendran S., Pandiarajan M., Lydia Christy J. et al. // Port. Electrochim. Acta. 2012. V. 30. P. 307–315.
- Daly J.J., Wheatley P.J. // J. Chem. Soc. A. 1967. P. 212–221.
- Popov K., Rönkkömäki H.H., Lajunen L.H.J. // Pure Appl. Chem. 2001. V. 73. №. 10. P. 1641–1677.
- Sawada K., Miyagawa T., Sakaguchi T., Doi K. // J. Chem. Soc., Dalton Trans. 1993. V. 24. P. 3777–3784.
- Sawada K., Araki T., Suzuki T. // Inorg. Chem. 1987. V. 26. №. 8. P. 1199–1208.
- Sawada K., Araki T., Suzuki T., Doi K. // Inorg. Chem. 1989. V. 28. P. 2687–2698.
- Sharma C.V.K., Clearfield A., Cabeza A., Aranda M.A.G. et al. // J. Am. Chem. Soc. 2001. V. 123. P. 2885–2886.
- Guan L., Wang Y. // J. Coord. Chem. 2017. V. 70. P. 253–254.
- Holmes W. // The Anatomical Record. 1943. V. 86. P. 157–187.
- Кузнецов Ю.И., Трунов Е.А. // Журн. прикладной химии. 1984. Т. 57. № 3. С. 498–504.
- Kazantseva I.S., Chausov F.F., Lomova N.V., Vorob’yov V.L. et al. // Mater. Today Communications. 2022. V. 32. Article number 104022.
- Чаусов Ф.Ф., Сомов Н.В., Закирова Р.М., Алалыкин А.А. и др. // Известия Российской академии наук. Серия физическая. 2017. Т. 81. № 3. С. 394–396.
- Dobysheva L.V., Chausov F.F., Lomova N.V. // Mater. Today Communications. 2021. V. 29. Article number 102892.
- Chausov F.F., Kazantseva I.S., Reshetnikov S.M., Lomova N.V., Maratkanova A.N., Somov N.V. CCDC 2036586: Experimental Crystal Structure Determination, 2020.
- Shirley D.A. // Phys. Rev. 1972. B. 5. P. 4709–4714.
- Wojdyr M. // J. Appl. Crystallogr. 2010. V. 43. P. 1126–1128.
Supplementary files











