A Comparative Analysis of the Adsorption Properties and Porous Structure of an ASD-4 Powder Impregnated with Copper Formate in Different Concentrations
- Authors: Ryabina A.V.1, Shevchenko V.G.1, Krasil’nikov V.N.1
-
Affiliations:
- Institute of Solid State Chemistry, Ural Branch, Russian Academy of Sciences, 620219, Yekaterinburg, Russia
- Issue: Vol 59, No 1 (2023)
- Pages: 22-27
- Section: ФИЗИКО-ХИМИЧЕСКИЕ ПРОЦЕССЫ НА МЕЖФАЗНЫХ ГРАНИЦАХ
- URL: https://journals.rcsi.science/0044-1856/article/view/139698
- DOI: https://doi.org/10.31857/S0044185622050217
- EDN: https://elibrary.ru/BVAJQN
- ID: 139698
Cite item
Full Text
Abstract
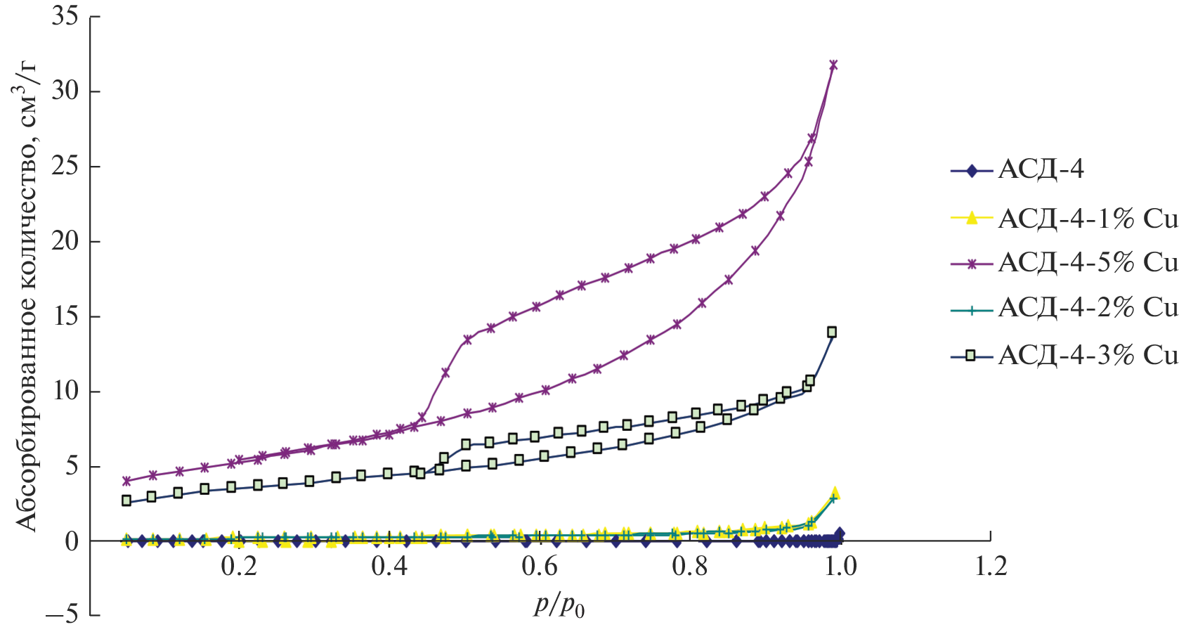
The adsorption properties of an ASD-4 aluminum powder and the powder modified with copper formate in different concentrations of 1, 2, 3, and 5 wt % were studied using the low-temperature adsorption of nitrogen at 78 K. The structural properties as morphology and phase composition of the interaction products were studied; the specific surface area and porosity were evaluated. It was shown that the adsorption characteristics of the powders modified with 1 and 2 wt % copper formate remained almost unchanged, which is of interest for creating a protective layer on the surface of the aluminum particles without significantly changing its structure-forming properties. The introduction of the modifier at a concentration of 3 and 5 wt % significantly affected the adsorption characteristics of the interaction products. For example, the specific surface of the ASD-4 + 3% Cu powder amounted to 12 m2/g, while that of the ASD-4 + 5% Cu achieved 19 m2/g, whereas the specific surface of the initial ASD-4 powder was only 0.7728 m2/g.
Keywords
About the authors
A. V. Ryabina
Institute of Solid State Chemistry, Ural Branch, Russian Academy of Sciences, 620219, Yekaterinburg, Russia
Email: anna-ryabina@yandex.ru
Россия, 620990, Екатеринбург, ГСП-145, Первомайская, 91
V. G. Shevchenko
Institute of Solid State Chemistry, Ural Branch, Russian Academy of Sciences, 620219, Yekaterinburg, Russia
Email: anna-ryabina@yandex.ru
Россия, 620990, Екатеринбург, ГСП-145, Первомайская, 91
V. N. Krasil’nikov
Institute of Solid State Chemistry, Ural Branch, Russian Academy of Sciences, 620219, Yekaterinburg, Russia
Author for correspondence.
Email: anna-ryabina@yandex.ru
Россия, 620990, Екатеринбург, ГСП-145, Первомайская, 91
References
- Iwasa N. // Bulletin of the Chemical Society of Japan. 1991. № 64. P. 2619–2623.
- Kanoun N. // Applied Catalysis. 1991. V. 70. Is. 1. P. 225–236.
- Yan Q.-L., Zhao F.-Q., Kuo K.K., Zhang X.-H., Zeman S., De Luca L.T. // Progress in Energy and Combustion Science. 2016. V. 57. P. 75–136.
- Gromov A., Strokova Y., Kabardin A., Vorozhtsov A., Teipel U. // Propellants Explos.Pyrotech. 2009. V. 34. P. 506–512.
- Gromov A., De Luca L.T., Ilin A.P., Teipel U., Petrova A., Prokopiev D. // Int. J. Energ. Mater. Chem. Propulsion. 2014. V. 13. P. 399–419.
- Rosenband V., Gany A. // J. Materials Proc. Technol. 2004. P. 1058–1061.
- Красильников В Н., Шевченко В.Г., Еселевич Д.А., Конюкова А.В. и др. Способ получения формиата меди (II) Заявка № 2019118417 бюллетень № 19 патент RU 2702227 C1.
- Shevchenko V.G., Krasilnikov V.N., Eselevich D.A., Konyukova A.V. Oxidation of ASD-4 powder modified by formiate Mn, Fe, Co, Ni, Cu Сборник тезисов докладов XIV Международной конференции “Забабахинские научные чтения”. Снежинск. 18–22 марта 2019 г., С. 81.
- Wang J., Hu A., Persic J., Wen J.Z., Zhou Y.N. // J. Phys. and Chemistry of Solids. 2011. V. 72(6). P. 620–625.
- Золоторевский В.С., Белов Н.А. // Технология легких сплавов. 1997. № 4. С. 20–24.
- Olacanmi E.O., Cohrane R.F., Dalgarno K.W. // Progress in Materials Science. 2015. V. 74. P. 401–477.
- Todd I. // Nature. 2017. V. 549(7672). P. 342–343. https://doi.org/10.1038/549342a
- Ahuja B., Karg M., Nagulin K.Yu., Schmidt M. // Physics Procedia. 2014. V. 56. P. 135–146.
- Шевченко В.Г., Еселевич Д.А., Попов Н.А., Кузнецов М.В., Конюкова А.В., Меркушев А.Г. // Физикохимия поверхности и защита материалов. 2020. Т. 56. № 4. С. 362–368.
- Зленко М.А. Аддитивные технологии в машиностроении // М.В. Нагайцев. В.М. Довбыш // Пособие для инженеров. М.: ГНЦ РФФГУП “НАМИ”, 2015. 220 с.
- Шевченко В.Г., Красильников В.Н., Еселевич Д.А., Конюкова А.В.// Физикохимия поверхности и защита материалов. 2019. Т. 55. № 1. С. 25–32.
- Грег С., Синг К. // Адсорбция. Удельная поверхность. Пористость.- пер. с англ. 2-е изд. М.: Мир, 1984. 306 с.
- Thommes M., Kaneko K., Neimark A.V., James P Olivier J.P., Rodriguez-Reinoso F., Rouquerol J., Sing K.S.W. // Pure and Applied Chemistry. 2015. V. 87. № 9–10. P. 1051–1069.
- Карнаухов А.П., Киселев А.В. // Журн. физической химии. 1957. Т. 31. Вып. 12.
- Rouquerol J., Rouquerol F., Sing K.S.W., Llewellyn P., Maurin G. // Adsorption by Powders and Porous Solids: Principles, Methodology and Applications, 2nd Ed., Academic Press, London, 2014.
- Lowell S., Shields J., Thomas M.A., Thommes M., Characterization of Porous Solids and Powders: Surface Area. Porosity and Density, Springer, 2004.
- De Boer J.H. The structure and properties of porous Materials. Butterworth, London, 1958.
- Thommes M., Cychosz K.A. // Adsorption. 2014. V. 20. P. 233–250.
- Fisher L.R., Israelachvili J.N. // J. Colloid Interface Sci. 1981. V. 80. P. 528–541.
- Thommes M. // Chemie Ingenieur Technik. 2010. V. 82. № 7. P. 1059–1073.
- Monson P.A. // Langmuir. 2008. V. 24. P. 12295–12302.
- Ball P.C., Evans R. // Langmuir. 1989. V. 5. P. 714–723.
- Evans R. // Phys. Condens. Matter. 1990. V. 2. P. 8989–9009.
- Ravikovitch P.I., Neimark A.V. // Langmuir. 2000. V. 16. P. 2419–2423.
Supplementary files







