Peculiarities of Sorption of Heavy-Metal Ions by Polysaccharide and Polyamide Biopolymers
- Authors: Nikiforova T.E.1, Gabrin V.A.1, Razgovorov P.B.2
-
Affiliations:
- Ivanovo State University of Chemistry and Technology, 153000, Ivanovo, Russia
- Yaroslavl State Technical University, 15023, Yaroslavl, Russia
- Issue: Vol 59, No 3 (2023)
- Pages: 231-243
- Section: ФИЗИКО-ХИМИЧЕСКИЕ ПРОЦЕССЫ НА МЕЖФАЗНЫХ ГРАНИЦАХ
- URL: https://journals.rcsi.science/0044-1856/article/view/139695
- DOI: https://doi.org/10.31857/S0044185623700298
- EDN: https://elibrary.ru/SESARQ
- ID: 139695
Cite item
Full Text
Abstract
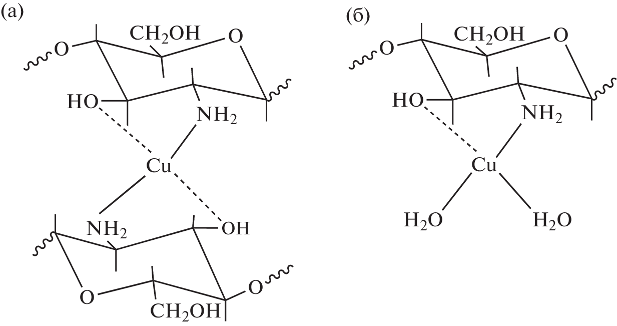
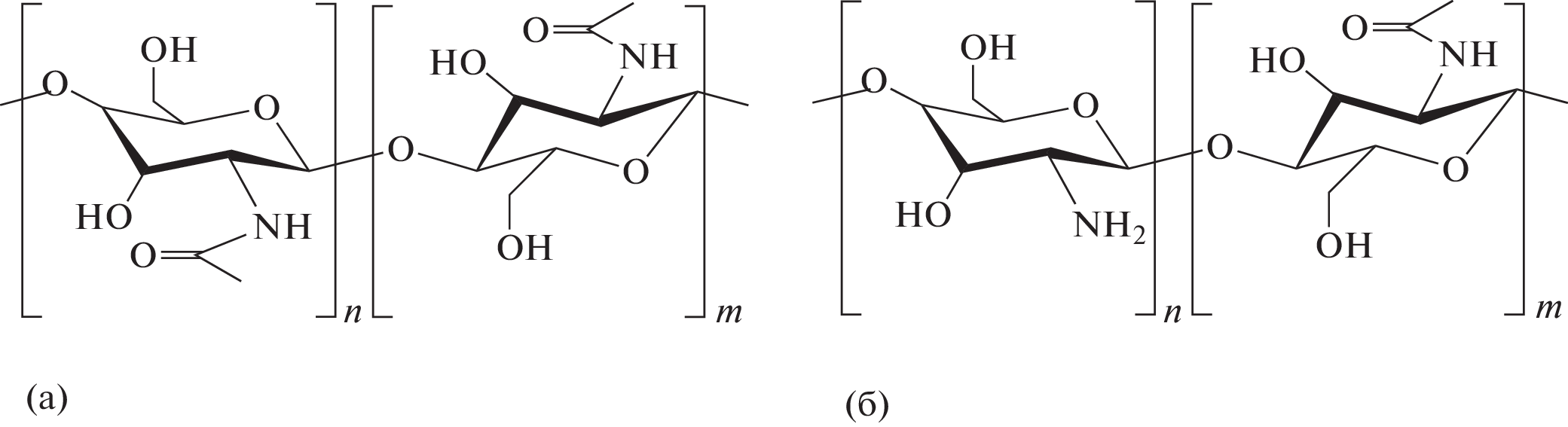
The results of a study of sorption properties of native and modified materials of polysaccharide and polyamide nature are presented, and the physicochemical regularities of the distribution of d-metals in a “biopolymer–aqueous solution” heterophase system have been established. The experimental sorption isotherms were analyzed within the framework of the Langmuir, Freundlich, and Dubinin–Radushkevich models. The sorption kinetics is most correctly described by the pseudo-second-order model. The influence of various factors affecting sorption efficiency such as temperature, mixing rate and others was examined. The effect of the environment pH on the sorption of heavy-metal ions onto polysaccharide and polyamide sorbents was observed. A number of regularities of the competitive sorption process of М2+/Н+ cations within the acid pH region with the involvement of various functional groups was established. The prospects are determined for the use of polysaccharide and polyamide biosorbents modified by employing new techniques that include a directional modification of surface properties based on the “structure–sorption activity” relationship.
About the authors
T. E. Nikiforova
Ivanovo State University of Chemistry and Technology, 153000, Ivanovo, Russia
Email: tatianaenik@mail.ru
Россия, 153000, Иваново, Шереметевский просп., 7
V. A. Gabrin
Ivanovo State University of Chemistry and Technology, 153000, Ivanovo, Russia
Email: tatianaenik@mail.ru
Россия, 153000, Иваново, Шереметевский просп., 7
P. B. Razgovorov
Yaroslavl State Technical University, 15023, Yaroslavl, Russia
Author for correspondence.
Email: tatianaenik@mail.ru
Россия, 150023, Ярославль, Московский просп., 88
References
- Vardhan K.H., Kumar P.S., Panda R.C. // J. Mol. Liq. 2019. V. 290. P. 111197.
- Jeevanantham S., Saravanan A., Hemavathy R.V. et al. // Environ. Technol. Innov. 2019. V. 13. P. 246–276.
- Duan C., Ma T., Wang J., Zhou Y. // J. Water. Process. Eng. 2020. V. 37. P. 101339.
- Naushad M., Lichtfouse E. (Eds.) Green Materials for Wastewater Treatment. Springer International Publishing. Cham. 2020.
- Joseph L., Jun B.-M., Flora J.R.V. et al. // Chemosphere 2019. V. 229. P. 142–159.
- Nikiforova T.E., Kozlov V.A., Telegin F.Y. // Materials Science & Engineering B – Advanced Functional Solid State Materials 2021. V. 263. P. 114778.
- Mishra A., Clark J.H. (Eds.) Green Materials for Sustainable Water Remediation and Treatment. Royal Society of Chemistry. Cambridge. 2013.
- Pap S., Kirk C., Bremner B. et al. // Water Res. 2020. V. 173. P. 115573.
- Khan T.A., Chaudhry S.A., Ali I. // J. Mol. Liq. 2015. V. 202. P. 165–175.
- Разговоров П.Б., Игнатьев А.А., Абрамов М.А., Нагорнов Р.С. // Умные композиты в строительстве. 2020. Т. 1. № 1. С. 10–26.
- Al-Asheh S., Aidan A. A Comprehensive Method of Ion Exchange Resins Regeneration and its Optimization for Water Treatment. IntechOpen. 2020. Book: Promising Techniques for Wastewater Treatment and Water Quality Assessment. Eds. Ahmed I., Summers J.K.
- Singh N., Gupta S.K. // Int. J. Innov. Res. Sci. Eng. Technol. 2016. V. 5(2). P. 2267–2281.
- Manjuladevi M., Anitha R., Manonmani S. // Appl. Water Sci. 2018. V. 8(1). P. 36.
- Hur J., Shin J., Yoo J., Seo Y.S. // Sci. World J. 2015. P. 1–11.
- De la Villa Mencia R.V., Goiti E., Ocejo M., Gimenez R.G. // Microp. Mesop. Mater. 2020. V. 293. P. 109817.
- Amphlett J.T.M, Choi S., Parry S.A. et al. // Chem. Eng. J. 2020. V. 392. P. 123712.
- Foster R.I., Amphlett J.T., Kim K.W. et al. // J. Ind. Eng. Chem. 2020. V. 81. P. 144–152.
- Hajiyeva S.R., Bahmanova F.N, Alirzaeva E.N. et al. // Uranium, Radiochemistry. 2018. V. 60(2). P. 195–200.
- Graillot A., Bouyer D., Monge S. et al. // J. Hazard. Mater. 2013. V. 244–245. P. 507–515.
- Page M.J., Soldenhoff K., Ogden M.D. // Hydrometallurgy. 2017. V. 169. P. 275–281.
- Vasudevan T., Pandey A.K., Das S., Pujari P.K. // Chem. Eng. J. 2014. V. 236. P. 9–16.
- Krishnan S., Zulkapli N.S., Kamyab H. et al. // Environmental Technology & Innovation. 2021. V. 22. P. 101525.
- Meretin R.N., Nikiforova T.E. // Chem Chem Tech [Izv. Vyssh. Uchebn. Zaved. Khim. Khim. Tekhnol.]. 2021. V. 64. № 11. P. 147–155.
- Kamari A., Yusoff S.N.M., Abdullah F., Putra W.P. // J. Environ. Chem. Eng. 2014. V. 2(4). P. 1912–1919.
- Zhang J., Fu H., Ly X. et al. // Biomass Bioenergy. 2011. V. 35 (1). P. 464–472.
- Quyen V., Pham T.-H., Kim J. // Chemosphere. 2021. V. 284. P. 131312.
- Fu F., Wang Q. // J. Environ. Manage. 2011. V. 92. P. 407–418.
- Li A., Lin R., Lin C. et al. // Carbohydr. Polym. 2016. V. 148. P. 272–280.
- Nikiforova T.E., Kozlov V.A. // Prot. Met. Phys. Chem. Surf. 2016. V. 52. № 3. 399–424,
- Hubbe M.A., Hasan S.H., Ducoste J.J. // Bio Resources. 2011. V. 6. № 2. 161–287.
- Nikiforova T.E., Kozlov V.A. // Prot. Met. Phys. Chem. Surf. 2012. V. 48. № 3. P. 310–314.
- Kozlov V.A., Nikiforova T.E., Loginova V.A., Koifman O.I. // J. Hazard. Mater. 2015. V. 299. P. 725–732.
- Kozlov V.A., Ivanov S.N., Koifman O.I. // J. Phys. Org. Chem. 2017. P. 3715.
- Ivanov S.N., Kozlov V.A., Koifman O.I. // J. Solut. Chem. 2021. V. 50. P. 630–651.
- Kozlov V.A., Nikiforova T.E. // Fibre Chemistry. 2019. V. 51. № 4. P. 250–253.
- Bhatnagar A., Sillanpaa M., Witek-Krowiak A. // Chem. Eng. J. 2015. V. 270. P. 244–271.
- Yadav S., Yadav A., Bagotia N. et al. // Water Process Engineering. 2021. V. 42. P. 102148.
- Chai W.S., Cheun J.Y., Kumar P.S. et al. // J. Cleaner Production. 2021. V. 296. P.126589.
- Nikiforova T.E., Kozlov V.A. // Prot. Met. Phys. Chem. Surf. 2012. V. 48. № 6. P. 620–626.
- Nurchi V.M., Crisponi G., Villaescusa I. // Coordination Chemistry Reviews. 2010. V. 254. P. 2181–2192.
- Beni A.A., Esmaeili A. // Environmental Technology & Innovation. 2020. V. 17. P. 100503.
- Agarwal A., Upadhyay U., Sreedhar I. et al. // J. Water Process Engineering. 2020. V. 38. P. 101602.
- Kozlov V.A., Nikiforova T.E., Islyaikin M.K., Koifman O.I. // Can. J. Chem. 2017. V. 95. P. 28–36.
- Losev N.V., Nikiforova T.E., Makarova L.I., Lipatova I.M. // Prot. Met. Phys. Chem. Surf. 2017. V. 53. № 5. P. 801–806.
- Nikiforova T.E., Kozlov V.A., Karaseva E.N. // Prot. Met. Phys. Chem. Surf. 2021. V. 57. №. 4. P. 680–686.
- Fufaeva V.A., Nikiforova T.E. // Prot. Met. Phys. Chem. Surf. 2022. V. 58. №. 2. P. 262–268.
- Kumar R., Sharma R.Kr., Singh A.P. // J. Mol. Liquids 2017. V. 232. P. 62–93.
- Agarwal A., Upadhyay U., Sreedhar I. et al. // J. Water Proc. Eng. 2020. V. 38. P. 101602.
- Ezeonuegbu B.A., Machido D.A., Whong C.M.Z. et al. // Biotechnology Reports. 2021. 30. P. e00614.
- Nikiforova T.E., Kozlov V.A. // Prot. Met. Phys. Chem. Surf. 2011. V. 47(1). P. 20–24.
- Ahmad R., Hasan I. // Groundw. Sustain. Dev. 2017. V. 5. P. 75–84.
- Dotto G.L., Campana-Filho S.P., Pinto L.A.A. (Eds) Frontiers in Biomaterials. V. 3. Chitosan Based Materials and its Applications. 2017. Bentham Science Publishers – Sharjah, UAE.
- Naushad M., Lichtfouse E. (Eds.) Green Materials for Wastewater Treatment, Springer International Publishing, Cham. 2020.
- Ahmed S., Ikram S. (Eds.) Chitosan Derivatives, Composites and Applications. 2017. Scrivener Publishing Wiley.
- Lucia L., Ayoub A. (Eds.) Polysaccharide-based Fibers and Composites. Chemical and Engineering Fundamentals and Industrial Applications. 2018. Springer International Publishing AG.
- Bautista-Banos S. Chitosan in the Preservation of Agricultural Commodities. 2016. Elsevier. Boston MA.
- Bai R., Zhang Y., Zhao Z. et al. // J. Ind. Eng. Chem. 2018. V. 59. P. 416–424.
- Kim S.-K. Chitin, Chitosan, Oligosaccharides and their Derivatives: Biological activities and applications. 2011. CRC Press. Taylor & Francis/Boca Raton.
- Vieira R.M., Vilela P.B., Becegato V.A., Paulino A.T. // J. Environ. Chem. Eng. 2018. V. 6. P. 2713–2723.
- Nagireddi S., Katiyar V., Uppaluri R. // Int. J. Biol. Macromol. 2017. V. 94. P. 72–84.
- Nikiforova T.E., Kozlov V.A., Islyaikin M.K. // Can. J. Chem. 2019. V. 97. P. 621–628.
- Jennings J.A., Bumgardner J.D. // Chitosan Based Biomaterials. V. 2. 2017.
- Salehi E., Daraei P., Shamsabadi A.A. // Carbohydr. Polym. 2016. V. 152. P. 419–432.
- Wang J., Chen C. // Bioresour. Technol. 2014. V. 160. P. 129–141.
- Gutha Y., Munagapati V.S. // Int. J. Biol. Macromol. 2016. V. 93. P. 408–417.
- Hussain M.S., Musharraf S.G., Bhanger M.I., Malik M.I. // Int. J. Biol. Macromol. 2020. V. 147. P. 643–652.
- Yu K., Ho J., McCandlish E. et al. // Colloids Surf. A. 2013. V. 425. P. 31–41.
- Guibal E. // Sep. Purif. Technol. 2004. V. 38. P. 43–74.
- Kuczajowska-Zadrożna M., Filipkowska U., Joźwiak T. // Environ. Chem. Eng. 2020. V. 8. P. 103878.
- Wang J., Zhuang S. // J. Cleaner Production. 2022. V. 355. P. 131825.
- Jennings J.A., Bumgardner J.D. (Eds.) Chitosan Based Biomaterials. 2017. V. 1. Fundamentals. Woodhead Publishing Series in Biomaterials. № 122.
- Tahira I., Aslam Z., Abbas A. // Int. J. Biol. Macromol. 2019. V. 136. P. 1209–1218.
- Saheed I.O., Oh W.D., Suah F.B.M. // J. Hazard. Mater. 2021. V. 408. P. 124889.
- Wang J., Zhuang S. // J. Cleaner Production. 2022. V. 355. P. 131825.
- Nunes Y.L., de Menezes F.L., de Sousa I.G. // Int. J. Biological Macromolecules 2021. V. 181. P. 1124–1170.
- Liang X., Mu M., Fan R. et al. // Carbohydrate Polymers. 2022. V. 290. P. 119452.
- Federer C., Kurpiers M., Bernkop-Schnurch A. // Biomacromolecules. 2021. V. 22(1). P. 24–56.
- Guo D.-M., An Q.-D., Xiao Z.-Y. et al. // Carbohydrate Polymers. 2018. V. 202. P. 306–314.
- Fatima B., Rathi G., Ahmad R., Chaudhry S.A. Composites: Types, Method of Preparation and Application as An Emerging Tool for, Environmental Remediation. 2019.
- Nikiforova T.E., Kozlov V.A., Telegin F.Y. // Materials Science & Engineering B – Advanced Functional Solid State Materials. 2021. V. 263. P. 114778.
- Dragan E.S., Dinu M.V. // React. Funct. Polym. 2020. V. 146. P. 104372.
- Khosa M.A., Ullah A.A. // J. Food Proc. Bev. 2013. V. 1(1). P. 1–8.
- Никифорова Т.Е., Козлов В.А., Сионихина А.Н. // Физикохимия поверхности и защита материалов. 2019. Т. 55. № 5. С. 496–506.
- Abd J.R. // J. Mater. Sci. 2015. V. 50. P. 5913–5943.
- Hanzlikova Z., Braniša J., Hybler P. // Chem. Pap. 2016. V. 70 (9). P. 1299–1308.
- Naik R., Wen G., Dharmaprakash M.S. et al. // J. Appl. Polym. Sci. Symp. 2010. V. 115. P. 1642–1650.
- Wen G., Naik R., Cookson P.G. et al. // Powder Technol. 2010. V. 197. P. 235–240.
- Zhang R., Wang A. // J. Cleaner Production. 2015. V. 87. P. 961.
- Hanzlíková Z., Braniša J., Jomová K. et al. // Separation and Purification Technology. 2018. V. 193. P. 345–350.
- Yin Z., Chen M., Hu S., Cheng H. // Desalin. Water Treat. 2015. V. 57. P. 17367–17376.
- Sekimoto Y., Okiharu T., Nakajima H. et al. // Environ. Sci. Pollut. Res. Int. 2013. V. 20. P. 6531–6538.
- Nikiforova T.E., Kozlov V.A., Islyaikin M.K. // J. Environ. Chem. Eng. 2019. V. 7(5). P. 103417.
- Шайхиев И.Г. // Вестник технологического университета. 2017. Т. 20. № 21. С. 139.
Supplementary files





