Zoogeographic Analysis of the Features of Temperature Preferences of Fish of the European Part of Russia
- Authors: Smirnov A.K.1
-
Affiliations:
- Papanin Institute for Biology of Inland Waters, Russian Academy of Sciences, Borok, Yaroslavl Oblast, Russia
- Issue: Vol 63, No 2 (2023)
- Pages: 132-143
- Section: Articles
- URL: https://journals.rcsi.science/0042-8752/article/view/135166
- DOI: https://doi.org/10.31857/S0042875223020248
- EDN: https://elibrary.ru/FAFKLS
- ID: 135166
Cite item
Full Text
Abstract
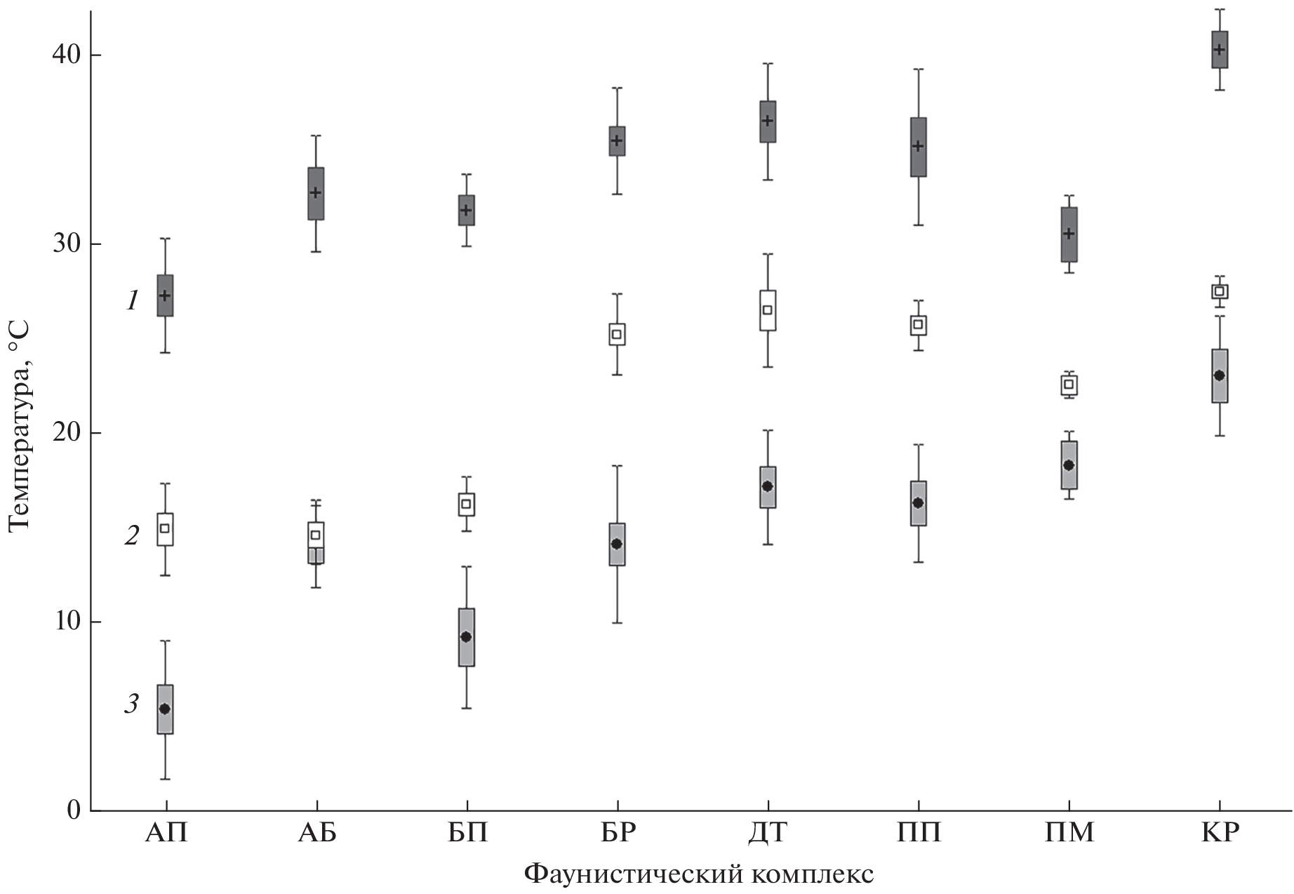
Analyzes of temperature preferences of fish and cyclostomes 54 species, inhabiting fresh water bodies of the European part of Russia are presented. It is shown that the main temperature criteria of the fundamental ecological niche (optimum, limits, and spawning temperatures) cannot be used as a clear sign of the species attribution to a particular faunistic complex. Nevertheless, these criteria are, apparently, a certain reflection of the climatic conditions in time of the species origin and development. Among the studied fish and cyclostomes, two separate groups of “northern” cold-water and “southern” warm-water species are identified. Their presence results from the historical features of the ichthyofauna formation in the region. The outlined in recent decades climatic trend towards an increase in water temperature probably favors the spread of the southern group representatives to the north, which can lead to further restructuring of competitive relations in fish populations and cause changes in the boundaries of their ranges.
About the authors
A. K. Smirnov
Papanin Institute for Biology of Inland Waters, Russian Academy of Sciences, Borok, Yaroslavl Oblast, Russia
Author for correspondence.
Email: smirnov@ibiw.ru
Россия, Ярославская обл., пос. Борок
References
- Айвазян С.А., Бухштабер В.М., Енюков И.С., Мешалкин Л.Д. 1989. Прикладная статистика. Классификация и снижение размерности. М.: Финансы и статистика, 607 с.
- Василенко А.Н. 2019. Современные представления о термическом режиме рек и его трансформациях в условиях изменяющегося климата // Матер. Междунар. науч.-практ. конф. “Глобальные климатические изменения: региональные эффекты, модели, прогнозы”. Т. 1. Воронеж: Цифровая полиграфия. С. 359–363.
- Герасимов Ю.В., Смирнов А.К., Кодухова Ю.В. 2018. Оценка возможных причин изменений численности и половой структуры в популяциях серебряного карася (Carassius auratus gibelio Bloch., 1783) // Биология внутр. вод. № 1. С. 70–79. https://doi.org/10.7868/S0320965218010096
- Голованов В.К. 2013. Температурные критерии жизнедеятельности пресноводных рыб. М.: Полиграф-Плюс, 300 с.
- Голованов В.К., Капшай Д.С., Герасимов Ю.В. и др. 2013. Термоизбирание и термоустойчивость молоди ротана-головешки Perccottus glenii в осенний сезон // Вопр. ихтиологии. Т. 53. № 2. С. 246–250. https://doi.org/10.7868/S0042875213020033
- Законнова А.В., Литвинов А.С. 2016. Многолетние изменения гидроклиматического режима Рыбинского водохранилища // Тр. ИБВВ РАН. Вып. 75 (78). С. 16–22. https://doi.org/10.24411/0320-3557-2016-10016
- Карабанов Д.П. 2013. Генетические адаптации черноморско-каспийской тюльки Clupeonella cultriventris (Nordmann, 1840) (Actinopterygii: Clupeidae). Воронеж: Науч. книга, 179 с.
- Карабанов Д.П., Павлов Д.Д., Никитин Э.В. и др. 2020. Анализ видового состава, проблемы идентификации и путей расселения чужеродных видов рыб в бассейне реки Волги // Вестн. АГТУ. Сер. Рыбн. хоз-во. № 3. С. 7–17. https://doi.org/10.24143/2073-5529-2020-3-7-17
- Кауфман Б.З. 1985. Возможное эволюционное значение реакции термопреферендума пойкилотермных животных // Журн. общ. биологии. Т. 46. № 4. С. 509–515.
- Кияшко В.И., Карабанов Д.П., Яковлев В.Н. и др. 2012. Становление и развитие популяции Черноморско-Каспийской тюльки Clupeonella cultriventris (Clupeidae) в Рыбинском водохранилище // Вопр. ихтиологии. Т. 52. № 5. С. 571–580.
- Никольский Г.В. 1956. Рыбы бассейна Амура. Итоги Амурской ихтиологической экспедиции 1945–1949 гг. М.: Изд-во АН СССР, 551 с.
- Никольский Г.В. 1980. Структура вида и закономерности изменчивости рыб. М.: Пищ. пром-сть, 183 с.
- Озернюк Н.Д. 2000. Температурные адаптации. М.: Изд-во МГУ, 205 с.
- Решетников Ю.С. 1981. Идеи Г.В. Никольского о фаунистических комплексах и их современное развитие // Современные проблемы ихтиологии. М.: Наука. С. 75–95.
- Рыбы в заповедниках России. 2010. Т. 1. М.: Т-во науч. изд. КМК, 627 с.
- Рыбы Монгольской Народной Республики. 1983. М.: Наука, 278 с.
- Рыбы Рыбинского водохранилища: популяционная динамика и экология. 2015. Ярославль: Филигрань, 418 с.
- Сахарова Е.Г. 2019. Фитопланктон озера Плещеево в 2014–2016 гг. // Тр. ИБВВ РАН. Вып. 86 (89). С. 23–33. https://doi.org/10.24411/0320-3557-2019-10009
- Слоним А.Д. 1971. Экологическая физиология животных. М.: Высш. школа, 448 с.
- Смирнов А.К., Смирнова Е.С. 2019. Поведение молоди окуня Perca fluviatilis (Percidae) в гетеротермальной среде при разной обеспеченности пищей // Зоол. журн. Т. 98. № 2. С. 182–192. https://doi.org/10.1134/S0044513419020168
- Яковлев В.Н. 1964. История формирования фаунистических комплексов пресноводных рыб // Вопр. ихтиологии. Т. 4. Вып. 1 (30). С. 10–22.
- Angilletta M.J., Niewiarowski P.H., Navas C.A. 2002. The evolution of thermal physiology in ectotherms // J. Therm. Biol. V. 27. № 4. P. 249–268. https://doi.org/10.1016/S0306-4565(01)00094-8
- Araújo M.B., Ferri-Yáñez F., Bozinovic F. et al. 2013. Heat freezes niche evolution // Ecol. Letters. V. 16. № 9. P. 1206–1219. https://doi.org/10.1111/ele.12155
- Armstrong J.B., Schindler D.E., Ruff C.P. et al. 2013. Diel horizontal migration in streams // Ecology. V. 94. № 9. P. 2066–2075. https://doi.org/10.1890/12-1200.1
- Beitinger T.L., Bennett W.A., McCauley R.W. 2000. Temperature tolerances of North American freshwater fishes exposed to dynamic changes in temperature // Environ. Biol. Fish. V. 58. № 3. P. 237–275. https://doi.org/10.1023/A:1007676325825
- Bennett S., Duarte C.M., Marbà N., Wernberg T. 2019. Integrating within-species variation in thermal physiology into climate change ecology // Phil. Trans. R. Soc. B. V. 374. № 1778. Article 20180550. https://doi.org/10.1098/rstb.2018.0550
- Bicego K.C., Barros R.C.H., Branco L.G.S. 2007. Physiology of temperature regulation // Comp. Biochem. Physiol. A Mol. Integr. Physiol. V. 147. № 3. P. 616–639. https://doi.org/10.1016/j.cbpa.2006.06.032
- Brett J.R. 1971. Energetic responses of salmon to temperature. A study of some thermal relations in the physiology and freshwater ecology of sockeye salmon (Oncorhynchus nerka) // Am. Zool. V. 11. № 1. P. 99–113. https://doi.org/10.1093/icb/11.1.99
- Brown J.H., Feldmeth C.R. 1971. Evolution in constant and fluctuating environments // Evolution. V. 25. № 2. P. 390–398. https://doi.org/10.1111/j.1558-5646.1971.tb01893.x
- Chen Z., Anttila K., Wu J. et al. 2013. Optimum and maximum temperatures of sockeye salmon (Oncorhynchus nerka) populations hatched at different temperatures // Can. J. Zool. V. 91. № 5. P. 265–274. https://doi.org/10.1139/cjz-2012-0300
- Clark C.W., Levy D.A. 1988. Diel vertical migrations by juvenile sockeye salmon and the antipredation window // Am. Nat. V. 131. № 2. P. 271–290.
- Clark D.S., Green J.M. 1991. Seasonal variation in temperature preference of juvenile Atlantic cod (Gadus morhua), with evidence supporting an energetic basis for their diel vertical migration // Can. J. Zool. V. 69. № 5. P. 1302–1307. https://doi.org/10.1139/z91-183
- Clough S., Ladle M. 1997. Diel migration and site fidelity in a stream-dwelling cyprinid, Leuciscus leuciscus // J. Fish Biol. V. 50. № 5. P. 1117–1119. https://doi.org/10.1111/j.1095-8649.1997.tb01635.x
- Cooper B.S., Williams B.H., Angilletta M.J. 2008. Unifying indices of heat tolerance in ectotherms // J. Therm. Biol. V. 33. № 6. P. 320–323. https://doi.org/10.1016/j.jtherbio.2008.04.001
- Dahlke F.T., Wohlrab S., Butzin M., Pörtner H.O. 2020. Thermal bottlenecks in the life cycle define climate vulnerability of fish // Science. V. 369. № 6499. P. 65–70. https://doi.org/10.1126/science.aaz3658
- Elliott J.M., Elliott J.A. 1995. The critical thermal limits for the bullhead, Cottus gobio, from three populations in north-west England // Freshw. Biol. V. 33. № 3. P. 411–418. https://doi.org/10.1111/j.1365-2427.1995.tb00403.x
- Elliott J.M., Klemetsen A. 2002. The upper critical thermal limits for alevins of Arctic charr from a Norwegian lake north of the Arctic circle // J. Fish Biol. V. 60. № 5. P. 1338–1341. https://doi.org/10.1006/jfbi.2002.1934
- Fangue N.A., Hofmeister M., Schulte P.M. 2006. Intraspecific variation in thermal tolerance and heat shock protein gene expression in common killifish, Fundulus heteroclitus // J. Exp. Biol. V. 209. № 15. P. 2859–2872. https://doi.org/10.1242/jeb.02260
- Fields R., Lowe S.S., Kaminski C. et al. 1987. Critical and chronic thermal maxima of northern and Florida largemouth bass and their reciprocal F1 and F2 hybrids // Trans. Am. Fish. Soc. V. 116. № 6. P. 856–863. https://doi.org/10.1577/1548-8659(1987)116<856:CACTMO>2.0.CO;2
- Fry F.E.J. 1947. Effects of the environment on animal activity // Univ. Toronto Stud. Biol. Ser. № 55. (Publ. Ontario Fish. Res. Lab. № 68). P. 1–62.
- Garner P., Clough S., Griffiths S.W. et al. 1998. Use of shallow marginal habitat by Phoxinus phoxinus: a trade-off between temperature and food? // J. Fish Biol. V. 52. № 3. P. 600–609. https://doi.org/10.1111/j.1095-8649.1998.tb02020.x
- Jobling M. 1981. Temperature tolerance and the final preferendum—rapid methods for the assessment of optimum growth temperatures // J. Fish Biol. V. 19. № 4. P. 439–455. https://doi.org/10.1111/j.1095-8649.1981.tb05847.x
- Karabanov D.P., Bekker E.I., Pavlov D.D. et al. 2022. New sets of primers for DNA identification of non-indigenous fish species in the Volga-Kama basin (European Russia) // Water. V. 14. № 3. Article 437. https://doi.org/10.3390/w14030437
- Konecki J.T., Woody C.A., Quinn T.P. 1995. Temperature preference in two populations of juvenile coho salmon, Oncorhynchus kisutch // Environ. Biol. Fish. V. 44. № 4. P. 417–421. https://doi.org/10.1007/BF00008256
- Lyytikäinen T., Koskela J., Rissanen I. 1997. Thermal resistance and upper lethal temperatures of underyearling Lake Inari Arctic charr // J. Fish Biol. V. 51. № 3. P. 515–525. https://doi.org/10.1111/j.1095-8649.1997.tb01509.x
- Magnuson J.J., Crowder L.B., Medvick P.A. 1979. Temperature as an ecological resource // Am. Zool. V. 19. № 1. P. 331–343. https://doi.org/10.1093/icb/19.1.331
- McKenzie D.J., Zhang Y., Eliason E.J. et al. 2020. Intraspecific variation in tolerance of warming in fishes // J. Fish Biol. V. 98. № 6. P. 1536–1555. https://doi.org/10.1111/jfb.14620
- Mehner T. 2012. Diel vertical migration of freshwater fishes – proximate triggers, ultimate causes and research perspectives // Freshw. Biol. V. 57. № 7. P. 1342–1359. https://doi.org/10.1111/j.1365-2427.2012.02811.x
- Mulhollem J.J., Suski C.D., Wahl D.H. 2015. Response of largemouth bass (Micropterus salmoides) from different thermal environments to increased water temperature // Fish Physiol. Biochem. V. 41. № 4. P. 833–842. https://doi.org/10.1007/s10695-015-0050-0
- Pörtner H.O. 2002. Climate variations and the physiological basis of temperature dependent biogeography // Comp. Biochem. Physiol. A Mol. Integr. Physiol. V. 132. № 4. P. 739–761. https://doi.org/10.1016/S1095-6433(02)00045-4
- Pörtner H.O., Knust R. 2007. Climate change affects marine fishes through the oxygen limitation of thermal tolerance // Science. V. 315. № 5808. P. 95–97. https://doi.org/10.1126/science.1135471
- Ricklefs R.E. 2006. Evolutionary diversification and the origin of the diversity–environment relationship // Ecology. V. 87. № sp7. P. S3–S13. https://doi.org/10.1890/0012-9658(2006)87[3:EDATOO]-2.0.CO;2
- Sokal R.R., Rohlf F.J. 1995. Biometry. New York: W.H. Freeman, 899 p.
- Sprent P., Smeeton N.C. 2007. Applied Nonparametric Statistical Methods. Boca Raton: Chapman and Hall; CRC, 530 p. https://doi.org/10.1201/b15842
- Sunday J.M., Bates A.E., Dulvy N.K. 2012. Thermal tolerance and the global redistribution of animals // Nat. Clim. Change. V. 2. № 9. P. 686–690. https://doi.org/10.1038/nclimate1539
- Zakhartsev M.V., Wachter B., Sartoris F.J. et al. 2003. Thermal physiology of the common eelpout (Zoarces viviparus) // J. Comp. Physiol. B. V. 173. № 5. P. 365–378. https://doi.org/10.1007/s00360-003-0342-z
Supplementary files





