Formation of the Inlet Flow Profile for Passive Control of a Magnetohydrodynamic Liquid-Metal Flow in a Channel
- Authors: Belyaev I.A.1,2, Chernysh D.Y.1,2, Luchinkin N.A.1,2, Krasnov D.S.3, Kolesnikov Y.B.3, Listratov Y.I.2
-
Affiliations:
- Joint Institute for High Temperatures, Russian Academy of Sciences (JIHT RAS)
- National Research University Moscow Power Engineering Institute
- Technische Universitat Ilmenau
- Issue: Vol 61, No 3 (2023)
- Pages: 452-464
- Section: Articles
- URL: https://journals.rcsi.science/0040-3644/article/view/232685
- DOI: https://doi.org/10.31857/S0040364423030031
- ID: 232685
Cite item
Full Text
Abstract
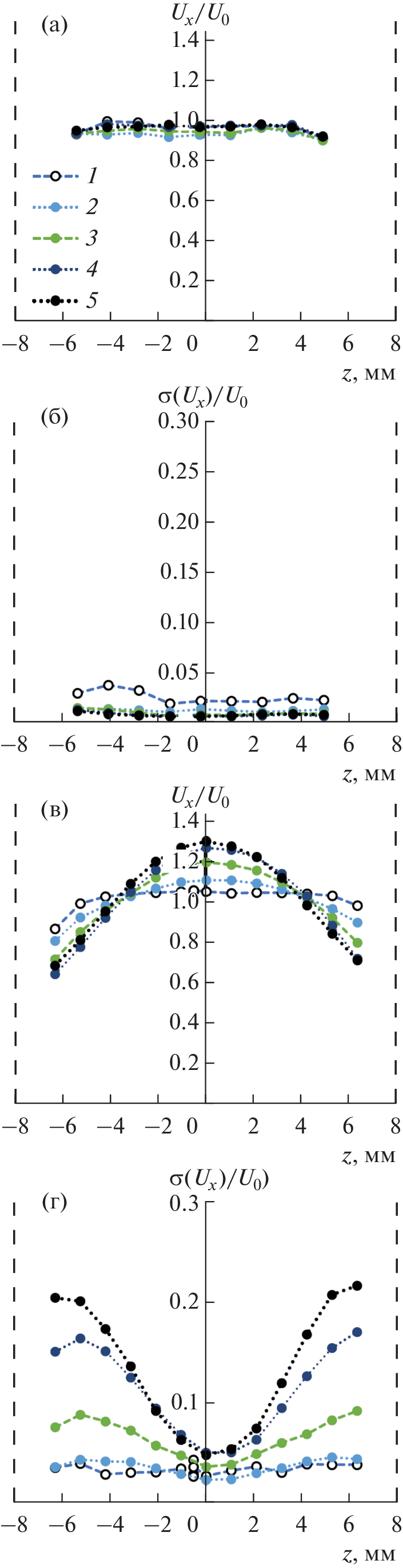
The paper describes an experimental attempt to affect the flow of liquid metal using a relatively small perturbation at an inlet to a long channel. The purpose is to form a flow structure which is stable in a strong magnetic field at high heat loads, enhance heat transfer, and achieve more predictable flow parameters. It is demonstrated that an obstacle in the form of a rod located transverse to the flow and parallel to the applied magnetic field and installed at the inlet can induce perturbations in the form of regular vortices observed along the flow at lengths as great as several tens of channel hydraulic diameters. The experiments confirm that thus generated vortices considerably change the structure of the isothermal MHD flow. In the case of mixed convection, such vortices suppress the development large-scale thermogravitational fluctuations in the flow and enhance heat transfer under certain flow conditions.
About the authors
I. A. Belyaev
Joint Institute for High Temperatures, Russian Academy of Sciences (JIHT RAS); National Research University Moscow Power Engineering Institute
Email: bia@ihed.ras.ru
Moscow, Russia; Moscow, Russia
D. Yu. Chernysh
Joint Institute for High Temperatures, Russian Academy of Sciences (JIHT RAS); National Research University Moscow Power Engineering Institute
Email: bia@ihed.ras.ru
Moscow, Russia; Moscow, Russia
N. A. Luchinkin
Joint Institute for High Temperatures, Russian Academy of Sciences (JIHT RAS); National Research University Moscow Power Engineering Institute
Email: bia@ihed.ras.ru
Moscow, Russia; Moscow, Russia
D. S. Krasnov
Technische Universitat Ilmenau
Email: bia@ihed.ras.ru
Ilmenau, Germany
Yu. B. Kolesnikov
Technische Universitat Ilmenau
Email: bia@ihed.ras.ru
Ilmenau, Germany
Ya. I. Listratov
National Research University Moscow Power Engineering Institute
Author for correspondence.
Email: bia@ihed.ras.ru
Moscow, Russia
References
- Krasnov D., Zikanov O., Schumacher J., Boeck T. Magnetohydrodynamic Turbulence in a Channel with Spanwise Magnetic Field // Phys. Fluids. 2008. V. 20. № 9. 095105.
- Zikanov O., Belyaev I., Listratov Y., Frick P., Razuvanov N., Sviridov V. Mixed Convection in Pipe and Duct Flows With Strong Magnetic Fields // Appl. Mech. Rev. 2021. V. 73. № 1. 010801.
- Belyaev I., Krasnov D., Kolesnikov Y., Biryukov D., Chernysh D., Zikanov O., Listratov Y. Effects of Symmetry on Magnetohydrodynamic Mixed Convection Flow in a Vertical Duct // Phys. Fluids. 2020. V. 32. № 9. 094106.
- Gad-el Hak M. Flow Control: Passive, Active, and Reactive Flow Management. Cambridge: University Press, 2007.
- Andreev O., Kolesnikov Y. Experimental Flow Around a Conducting Cylinder in an Axial Homogeneous Magnetic Field // Magnetohydrodynamics. 2007. V. 34. P. 286.
- Mück B., Günther C., Müller U., Bühler L. Three-dimensional MHD Flows in Rectangular Ducts with Internal Obstacles // J. Fluid Mech. 2000. V. 418. P. 265.
- Hussam W.K., Thompson M.C., Sheard G.J. Dynamics and Heat Transfer in a Quasi-two-dimensional MHD Flow Past a Circular Cylinder in a Duct at High Hartmann Number // Int. J. Heat Mass Transfer. 2011. V. 54. № 5–6. P. 1091.
- Hussam W.K., Sheard G.J. Heat Transfer in a High Hartmann Number MHD Duct Flow with a Circular Cylinder Placed near the Heated Side-wall // Int. J. Heat Mass Transfer. 2013. V. 67. P. 944.
- Hamid A.H., Hussam W.K., Pothérat A., Sheard G.J. Spatial Evolution of a Quasi-two-dimensional Kármán Vortex Street Subjected to a Strong Uniform Magnetic Field // Phys. Fluids. 2015. V. 27. № 5. 053602.
- Farahi Shahri M., Hossein Nezhad A. Quasi-two-dimensional Case Studies of MHD Flow and Heat Transfer Behind a Square Cylinder in a Duct // Int. J. Appl. Electromagnetics Mechanics. 2015. V. 49. № 1. P. 123.
- Cassells O.G., Hussam W.K., Sheard G.J. Heat Transfer Enhancement Using Rectangular Vortex Promoters in Confined Quasi-two-dimensional Magnetohydrodynamic Flows // Int. J. Heat Mass Transfer. 2016. V. 93. P. 186.
- Hussam W.K., Hamid A.H., Ng Z.Y., Sheard G.J. Effect of Vortex Promoter Shape on Heat Transfer in MHD Duct Flow with Axial Magnetic Field // Int. J. Thermal Sci. 2018. V. 134. P. 453.
- Kirillov I., Obukhov D., Genin L., Sviridov V., Razuvanov N., Batenin V., Belyaev I., Poddubnyi I., Pyatnitskaya N.Y. Buoyancy Effects in Vertical Rectangular Duct with Coplanar Magnetic Field and Single Sided Heat Load // Fusion Engineering and Design. 2016. V. 104. P. 1.
- Chernysh D.Y., Krasnov D., Kolesnikov Y.B., Belyaev I. Swirling to Improve Heat Transfer in the MHD Flow of Liquid Metal in a Duct // J. Phys.: Conf. Ser. 2021. V. 2088. 012007.
- Беляев И.А., Свиридов В.Г., Батенин В.М., Бирюков Д.А., Никитина И.С., Манчха С.П., Пятницкая Н.Ю., Разуванов Н.Г., Свиридов Е.В. Экспериментальный стенд для исследований теплообмена перспективных теплоносителей ядерной энергетики // Теплоэнергетика. 2017. Т. 64. № 11. С. 66.
- Bobkov V., Fokin L., Petrov E., Popov V., Rumiantsev V., Savvatimsky A. Thermophysical Properties of Materials for Nuclear Engineering: A Tutorial and Collection of Data. Vienna: IAEA, 2008.
- Теплофизические свойства материалов ядерной техники / Под ред. П.Л. Кириллова. 2-е изд., испр. и доп. М.: ИздАТ, 2007. 194 с.
- Razuvanov N., Frick P., Belyaev I., Sviridov V. Experimental Study of Liquid Metal Heat Transfer in a Vertical Duct Affected by Coplanar Magnetic Field: Downward Flow // Int. J. Heat Mass Transfer. 2019. V. 143. P. 118529.
- Jiménez J. Transition to Turbulence in Two-dimensional Poiseuille Flow // J. Fluid Mech. 1990. V. 218. P. 265.
- Votsish A., Kolesnikov Y. Anomalous Transfer of Energy in a Shear MHD Flow with Two-dimensional Turbulence // Magnitnaia Gidrodinamika. 1976. V. 12. № 4. P. 47.
- Roshko A. On the Development of Turbulent Wakes from Vortex Streets. Report 1191. California: Caltech, 1952. 25 p.
- Kolesnikov Y., Tsinober A. Two-dimensional Turbulent Flow Behind a Circular Cylinder // Magnetohydrodynamics. 1972. V. 8. № 3. P. 300.
- Генин Л.Г., Свиридов В.Г. Гидродинамика и теплообмен МГД-течений в каналах. М.: Изд-во “МЭИ”, 2001. 199 с.
- Smolentsev S. Physical Background, Computations, and Practical Issues of the Magnetohydrodynamic Pressure Drop in a Fusion Liquid Metal Blanket // Fluids. 2021. V. 6. № 3. P. 110.
Supplementary files














