Influence of Leachable Filler on Parameters of Porous Structure and Water Sorption with Polyvinyl Formal Filters
- Authors: Akimova A.A.1, Lomovskoi V.A.2, Simonov-Emel’yanov I.D.1
-
Affiliations:
- MIREA, Russian Technological University (Lomonosov Institute of Fine Chemical Technologies)
- Frumkin Institute of Physical Chemistry and Elecrochemistry
- Issue: Vol 57, No 2 (2023)
- Pages: 188-193
- Section: Articles
- Published: 01.03.2023
- URL: https://journals.rcsi.science/0040-3571/article/view/138443
- DOI: https://doi.org/10.31857/S0040357123020021
- EDN: https://elibrary.ru/EINHGZ
- ID: 138443
Cite item
Full Text
Abstract
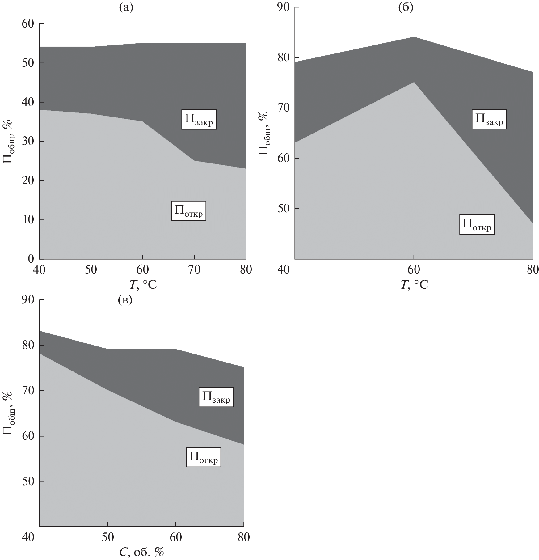
The work presents data on the formation of a porous structure from polyvinyl formal (PVF) with a leachable filler (starch) during the chemical reaction of PVA acetalization. It is found that under optimal conditions for the synthesis of PVF, the introduction of starch in a given amount leads to an increase in total porosity from 58 to 84% and of open porosity from 36 to 78%. It is established that the minimum apparent density is 0.2 g cm–3 for PVF samples with starch and is achieved at a synthesis temperature of 60°C and a catalyst concentration of 40 vol %. The dependences of PVF water absorption on time, synthesis temperature, and catalyst concentration are given. It is established that water sorption reaches its maximum values of ~900% only with the introduction of a leachable filler (starch). The introduction of a leachable filler (starch) leads to an increase in water sorption by a factor of ~2 compared to PVF without starch, which makes it possible to obtain filters with a high efficiency in separating water from hydrocarbon fuels.
Keywords
About the authors
A. A. Akimova
MIREA, Russian Technological University (Lomonosov Institute of Fine Chemical Technologies)
Email: akimova@mirea.ru
Moscow, Russia
V. A. Lomovskoi
Frumkin Institute of Physical Chemistry and Elecrochemistry
Email: akimova@mirea.ru
Moscow, Russia
I. D. Simonov-Emel’yanov
MIREA, Russian Technological University (Lomonosov Institute of Fine Chemical Technologies)
Author for correspondence.
Email: akimova@mirea.ru
Moscow, Russia
References
- Ломовской В.А., Абатурова Н.А., Ломовская Н.Ю., Хлебникова О.А., Саков Д.М., Галушко Т.Б., Бартенева А.Г. Влияние пористости структуры поливинилформаля на его сорбционные характеристики. 5-ая Научная конференция “Физическая химия поверхностных явлений и адсорбции”. 1–6 июля 2013 г. Плес: Труды конференции / ФБГОУ ВПО Иван.гос.хим.-технол. ун-т. Иваново, 2014. С. 52
- Акимова А.А., Ломовской В.А., Симонов-Емельянов И.Д. Пенообразование растворов поливинилового спирта с разной молекулярной массой в воде. Тонкие химические технологии. 2021; 16(4): 337–344. https://doi.org/10.32362/2410-6593-2021-16-4-337-344
- Акимова А.А., Ломовской В.А., Симонов-Емельянов Д. Кинетика устойчивости пен из водных растворов поливинилового спирта с разной молекулярной массой // Материаловедение. 2022. Т. 1. № 1. С. 18–23.
- Ушаков С.Н. Поливиниловый спирт и его производные. М.Л.: Изд. АН СССР. 1960. Т. 1. 552 с.
- Rigved Nagarkar, Jatin Patel. Polyvinyl Alcohol: A Comprehensive Study // Acta Scientific Pharmaceutical Sciences. 2019. V. 3. Is. 4. P. 34–44.
- Muppalaneni S., Omidian H. Polyvinyl Alcohol in Medicine and Pharmacy: A Perspective // J. Develop. Drugs. 2013. V. 2. Is. 3. https://doi.org/10.4172/2329-6631.1000112
- Манжай В.Н., Фуфаева М.С. Дисперсность и устойчивость пены, полученной из раствора поливинилового спирта и свойства сформированных пенокриогелей // Коллоидный журн. 2014. Т. 76. № 4. С. 495–499. https://doi.org/10.7868/S0023291214040090
- Вилкова Н.Г., Мишина С.И., Дорчина О.В. Устойчивость пен, содержащих дизельное топливо // Изв. высших учебных заведений. Серия: Химия и химическая технология. 2018. Т. 61. № 6. С. 48–53.
- Панов Ю.Т. Научные основы создания пенопластов второго поколения: монография / Ю.Т. Панов. Владимир: Ред.-издат. комплекс ВлГУ, 2003. 176 с. ISBN 5-89368-379-Х.
Supplementary files







