Suspending Conditions for a Smooth-Wall Mixer
- Авторлар: Domanskii I.V.1,2, Mil’chenko A.I.2, Sargaeva Y.V.2, Kubyshkin S.A.2, Vorob’ev-Desyatovskii N.V.2
-
Мекемелер:
- Saint-Petersburg State Technological Institute (Technical University)
- JSC Polymetal
- Шығарылым: Том 57, № 2 (2023)
- Беттер: 166-176
- Бөлім: Articles
- ##submission.datePublished##: 01.03.2023
- URL: https://journals.rcsi.science/0040-3571/article/view/138440
- DOI: https://doi.org/10.31857/S0040357123010037
- EDN: https://elibrary.ru/SJAROU
- ID: 138440
Дәйексөз келтіру
Толық мәтін
Аннотация
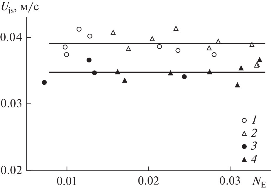
Based on the known assumption about the predominant effect of dynamic velocity on the detachment of solid-phase particles from a bottom, the suspending condition for a smooth-wall mixer is proposed. The importance of experimental dynamic-velocity measurements for a certain industrial suspension is emphasized. It is shown that the intensive tangential flow of a mixed suspension should be taken into account when calculating the dynamic velocity. The equation for calculating the minimum stirrer rotation speed to exclude the formation of a sediment on the bottom of a mixer is proposed. The equation is experimentally verified for mixers of laboratory and industrial scales in the mixing of L : S systems.
Авторлар туралы
I. Domanskii
Saint-Petersburg State Technological Institute (Technical University); JSC Polymetal
Email: domanskij.iv@gmail.com
190013, St.-Petersburg, Russia; 198216, St.-Petersburg, Russia
A. Mil’chenko
JSC Polymetal
Email: domanskij.iv@gmail.com
198216, St.-Petersburg, Russia
Yu. Sargaeva
JSC Polymetal
Email: domanskij.iv@gmail.com
198216, St.-Petersburg, Russia
S. Kubyshkin
JSC Polymetal
Email: domanskij.iv@gmail.com
198216, St.-Petersburg, Russia
N. Vorob’ev-Desyatovskii
JSC Polymetal
Хат алмасуға жауапты Автор.
Email: domanskij.iv@gmail.com
198216, St.-Petersburg, Russia
Әдебиет тізімі
- Kraume M. Die Entwicklung der Ruhrtechnik von einer empirischen Kunst zur Wissenschaft // Chem. Ing. Techn. 2014. V. 86. № 12. P. 2051.
- Nienow A.W. Stirring and stirred-tank reactors // Chem. Ing. Techn. 2014. V. 86. №12. P. 2063.
- Atiemo-Obeng V.A., Penney V.R., Armenante P. Solid-Liquid Mixing // Handbook of industrial mixing: Science and Practice. Hoboken: Wiley–Interscience, 2004. P. 543.
- Brown D.A.R., Etchells III A.W., Grenville R.K., Myers K.J., Gul N., Ozcan-Taskin, Atiemo-Obeng V.A., Armenante P.H., Penney W.R. Solid–Liquid Mixing // Advances in Industrial Mixing: A companion to the Handbook of Industrial Mixing. New Jersey: Wiley, 2016. P. 357.
- Kraume M. Mischen und Ruhren. Grundlagen und modern Verfahren. Weinheim: Willey, VCH, 2003.
- Beck H., Himmelsbach W. Handbuch der Rührtechnik: Grundlagen, Auswahlkriterien, Anwendung. Schopfheim: Ekato, 1990.
- Брагинский Л.Н., Бегачев В.И., Барабаш В.М. Перемешивание в жидких средах. Физические основы и инженерные методы расчета. Л.: Химия, 1984.
- Strek F. Michani a michaci zarizeni. Praha: SNTL, 1977.
- Mishra P., Ein-Mozaffari F. Critical review of different aspects of liquid-solid mixing operations // Reviews in Chemical Engineering. 2020. V. 36. № 5. P. 555.
- Cudak M., Domanski M., Szoplik J., Karcz J. An effect of the impeller eccentricity on the process characteristics in an agitated vessel – experimental and numerical modeling // Theor. Found. Chem. Eng. 2016. V. 50. № 6. P. 922.
- Delaplace G., Bouvier L., Moreau A., Andre Ch. An arrangement of ideal reactors as a way to model homogenizing processes with a planetary mixer // AIChE J. 2011. V. 57. № 7. P. 1678.
- Domanskii I.V., Mil’chenko A.I., Vorob’ev-Desyatovskii N.V. Large size agitators witch precession impeller for ore slurries – Study, design, tests // Chem. Eng. Sci. 2011. V. 66. P. 2277.
- Mil’chenko A.I., Domanskii I.V., Vorob’ev-Desyatovskii N.V., Kubyshkin S.A. Design of Precession Impellers for Ore Pulp Agitation in Large-volume Agitators // Proc. 15th European Conferences on Mixing. Sankt-Petersburg, 2015. P. 234.
- Domanskii I.V., Mil’chenko A.I., Sargaeva Y.V., Kubyshkin S.A., Vorob’ev-Desyatovskii N.V. Experience in design and robust operation of precession agitators of ore pulp for large-volume vessels // Theor. Found. Chem. Eng. 2017. V. 51. № 6. P. 1030.
- Nienow A.W., Bujalski W. The versatility of up-pumping hydrofoil agitators // Chem. Eng. Res. Des. 2004. V. 82. № A9. P. 1073.
- Вольдман Г.М., Зеликман А.Н. Теория гидрометаллургических процессов. М.: Интермет Инжиниринг, 2003.
- Latva-Kokko M., Hirsi T., Ritasalo T., Tiihonen J. Improving the process performance of gold cyanide leaching reactors // The Southern African Institute of Mining and Metallurgy. World Gold Conference 2015.
- Zwietering T.N. Suspension of solids in liquid by agitators // Chem. Eng. Sci. 1958. V. 8. P. 244.
- Oldshue J.Y. Fluid mixing technology. N.Y.: Mc Graw-Hill, 1983.
- Tamburini A., Cipollina A., Micale G., Scargiali F., Brucato A. Particle suspension in vortexing unbaffled stirred tanks // Ind. Eng. Chem. Res. 2016. V. 55. P. 7535.
- Cleaver J.W., Yates B. Mechanism of detachment of colloidal particles from a flat substrate in turbulent flow // J. Colloid Interface Sci. 1973. V. 44. P. 464.
- Boothroyd R.G. Flowing Gas–Solids Suspensions // Lecturer in Mechanical Engineering University of Birmingam. England, London, 1971. [Бусройд Р. Течение газа со взвешенными частицами. М.: Мир, 1975.]
- Saffman P.G. The lift on a small sphere in a slow shear flow // J. Fluid. Mech. 1965. V. 22. P. 385.
- Барабаш В.М., Брагинский Л.Н., Козлова Е.Г. Применение аппаратов с перемешивающими устройствами для перемешивания высококонцентрированных суспензий // Теорет. основы хим. технологии. 1990. Т. 24. №. 1. С. 63.
- Барабаш В.М., Зеленский В.Е. Перемешивание суспензий // Теорет. основы хим. технологии. 1997. Т. 31. № 5. С. 465.
- РД 26–01–90–85. Механические перемешивающие устройства. Метод расчета. Л.: ЛенНИИХИММАШ, 1987.
- Baldi G., Conti R., Alaria E. Complete suspension of particles in mechanically agitated vessels // Chem. Eng. Sci. 1978. V. 33. P. 21.
- Grenville R.K., Mak A.T.C., Brown D.A.R. Suspension of solid particles in vessels agitated by axial flow impellers // Chem. Eng. Res. Des. 2015. V. 100. P. 282.
- Колмогоров А.Н. Локальная структура турбулентности в несжимаемой вязкой жидкости при очень больших числах Рейнольдса // Докл. АН СССР. Т. ХХХ. № 4. 1941. С. 299.
- Calabrese R.V., Kresta S.M., Liu M. Recognizing the 21 Most influential contributions to mixing research // Chem. Eng. Prog. 2014. V. 110. № 1. P. 20.
- Доманский И.В., Соколов В.Н. Обобщение различных случаев конвективного теплообмена с помощью полуэмпирической теории турбулентного теплообмена // Теорет. основы хим. технологии. 1968. Т. 2. С. 761.
- Доманский И.В., Тишин В.Б., Соколов В.Н. Теплообмен при движении газо-жидкостных смесей в вертикальных трубах // Журн. прикл. химии. 1969. Т. 17. С. 851.
- Wang S. Suspension of High Concentration Slurry in Agitated Vessels. A Thesis Submitted for the Degree of Master of Engineering. Melbourne: RMIT University, 2010.
- ГОСТ 28300–2010. Валы карданные тягового привода тепловозов и дизель поездов. Общие технические условия. М.: Стандартинформ, 2011.
- Getriebebau Nord 2004/G1000-4/2004. Hamburg, 2004
- Wu J., Wang S., Nguen B., Daniel M., Ola E. Improved mixing in a magnetite iron ore tank via swirl flow: lab-scale and full-scale studies // Chem. Eng. Technol. 2016. V. 39. № 3. P. 505.
- Wu B.J., Wang S., Nguen B., Connor T., Daniel M., Ola E. Gain improved tank slurry agitation via swirl flow technology // Eng. and Mining J. Apr.2016.
- Assirelli M., Bujalski W., Eaglesham A., Nienow A.W. Macro- and micromixing studies in an unbaffled vessel agitated by a Rushton turbine // Chem. Eng. Sci. 2008. V. 63. P. 35.
- Yoshida M., Shimada N., Kanno R., Matsuura S., Otake Y. Liquid flow and mixing in bottom regions of baffled and unbaffled vessels agitated by turbine-tipe impeller // Intern. J. Chem. Reactor Eng. 2014. V. 12. № 1. P. 629.
- Лаптева Е.А., Фарахов Т.М. Математические модели и расчет тепломассообменных характеристик аппаратов. Казань: Отечество, 2013.
- Stoian D. Enhancing energy efficiency and mass transfer in solid–liquid systems using mechanical mixing and cavitation. A Thesis Submitted in Fulfilment of the Requirements for the Degree of Doctor of Philosophy. RMIT University, 2017.
Қосымша файлдар







