Polysaccharides of Crotalaria alata and Gleditsia triacanthos as Components of a Growth Medium for Cultivation of Microfungi
- Authors: Zakirova R.P.1, Kodiralieva F.1, Hwan A.M.1, Rakhmanberdieva R.K.1
-
Affiliations:
- Acad. Yunusov Institute of Chemistry of the Plant Substances, AS RUz
- Issue: Vol 59, No 3 (2023)
- Pages: 306-313
- Section: Component Composition of Resource Species
- URL: https://journals.rcsi.science/0033-9946/article/view/138806
- DOI: https://doi.org/10.31857/S003399462303007X
- EDN: https://elibrary.ru/SBYVAM
- ID: 138806
Cite item
Full Text
Abstract
Abstract
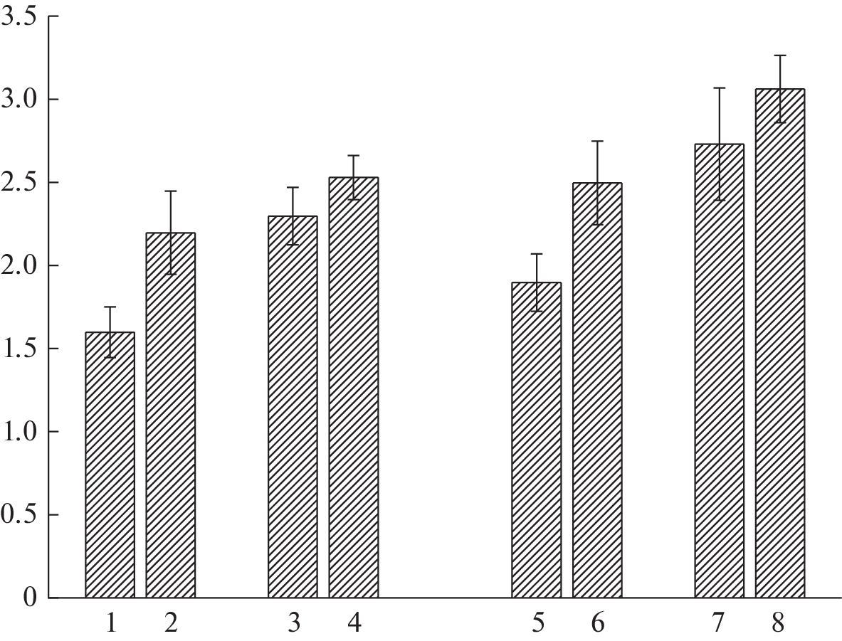
—The study explores the possibility of using the seeds of Crotalaria alata L. and Gleditsia triacanthos L. (Fabaceae) as a growth medium stabilizer for cultivation of microfungi. A synergistic effect was achieved when agar-agar was combined with galactomannans from Crotalaria alata and Gleditsia triacanthos, in a ratio of 1.5 : 4 : 1. Such a composition made it possible to obtain a solid growth medium, similar in consistency and color to 2% agar-agar medium. To establish biological parameters of the developed medium, the spores of microfungi Stachybotrys alternans Bonord. (Stachybotrys Cordа) и Fusarium oxysporum Schr f. vasinfectum Bilai (Fusarium), were plated on the surface of the growth media using inoculation needle and incubated in a thermostat at 25–26 °C. It was shown that partial substitution of agar-agar with galactomannans contributes to the active growth of the microorganisms. The growth of the Stachybotrys alternans and Fusarium oxysporum fungal colonies on the galactomannans growth medium surpassed the control on the fifth day by 37.2 and 31.5%, and on the seventh day – by 8.7 and 11.1% respectively.
About the authors
R. P. Zakirova
Acad. Yunusov Institute of Chemistry of the Plant Substances, AS RUz
Author for correspondence.
Email: ranozakirova@mail.ru
Republic of Uzbekistan, Tashkent
F. Kodiralieva
Acad. Yunusov Institute of Chemistry of the Plant Substances, AS RUz
Email: ranozakirova@mail.ru
Republic of Uzbekistan, Tashkent
A. M. Hwan
Acad. Yunusov Institute of Chemistry of the Plant Substances, AS RUz
Email: ranozakirova@mail.ru
Republic of Uzbekistan, Tashkent
R. K. Rakhmanberdieva
Acad. Yunusov Institute of Chemistry of the Plant Substances, AS RUz
Email: ranozakirova@mail.ru
Republic of Uzbekistan, Tashkent
References
- Kizevetter I.V., Gruner V.S., Evtushenko V.A. 1967. [Processing of algae and other commercial aquatic plants]. Moscow. 416 p. (In Russian)
- Lazykin A.G., Cherkasov N.A., Kovtun A.L., Rogozhin A.Z., Nesterov Ju.E., Kuznetsov V.G. https://patents.google.com/patent/RU2129159C1/ru
- Kohlenbach H.W., Wernicke W. 1978. Investigations on the inhibitory effect of agar and the function of active carbon in anther culture. – Ztsch. Pflanzenphysiol. 86(5): 463–472. https://doi.org/10.1016/S0044-328X(78)80292-X
- González M., Hernádes I., Jouve N. 1997. Analysis of anther culture response in hexaploid triticale. – Plant Breed. 116(3): 302–304. https://doi.org/10.1111/j.1439-0523.1997.tb01003.x
- Halberg N., Olesen A., Tuvesson K.D., Andersen S.B. 1990. Genotypes of perennial ryegrass (Lolium perenne L.) with high anther-culture response through hybridization. – Plant Breed. 105(2): 89–94. https://doi.org:/10.1111/j.1439-0523.1990.tb00459.x
- Finnie S.J., Powell W., Dyer A.F. 1989. The effect of carbohydrate composition and concentration on anther culture response in barley (Hordeum vulgare L.). – Plant Breed. 103(2): 110–118. https://doi.org/10.1111/j.1439-0523.1989.tb00358.x
- Sorvari S. 1986. The effect of starch gelatinized nutrient media in barley anther culture. – Ann. Agr. Fenn. 25: 127–133.
- Belinskaya E.V., Dulnev P.G. 2007. Modified DKKmod starch as a nutrient medium component for obtaining barley haploids in anther culture. – Physiology and biochemistry of cultivated plants. 39(2): 136–143. (In Russian)
- Nagori B.P., Mathur N.K. 1996. Preparation of galactomannans beads for pharmaceutical applications. – Indian J. Chem. Technol. 3(5): 279–281. http://nopr.niscpr.res.in/handle/123456789/31042
- Edwards M., Reid J.S.G. 1995. Galactomannans and other cell wall storage polysaccharides in seeds. – In: Food Polysaccharides and their application. New York. P. 155–185.
- Rakhmanberdyeva R.K., Rakhimov D.A., Vakhabov A.A., Khushbaktova Z.A., Syrov V.N. 2005. Galactomannans from Gleditsia macracantha seeds and its biological activity. – Chem. Nat. Compd. 41(1): 11–13. https://doi.org/10.1007/s10600-005-0062-6
- Anulov O.V., Smirnova N.I., Mestechkina N.M., Shcherbukhin V.D. 1998. Content and composition of nonstarch water-soluble polysaccharides in seeds of some Fabaceae. – Russ. J. Plant Physiol. 45(6): 802–804.
- Shcherbukhin V.D., Anulov O.V. 1999. Legume seed galactomannans (review). – Appl. Biochem. Microbiol. 35(3): 257–274. (In Russian)
- Zakirova R.P., Kurbanova E.R., Tashpulatova F.Sh., Rakhmanberdyeva R.K., Asatova S.S. 2016. [Using plant polysaccharide as a growth stimulant in cotton]. – In: [Modern trends in the development of the agrarian complex: Proceedings of the International scientific and practical conference]. Solenoye Zaimishche. P. 730. (In Russian)
- Zakirova R.P., Asatova S.S., Tashpulatova F.Sh. 2018. [Influence of galactomannans on the development of seedlings of Cucumis melo.] – In: [Proceedings of the International scientific and practical conference “Reproduction of soil fertility and their rational use”. Izhevsk. P. 204–206. (In Russian)
- Buckeridge M.S., Reid J.S.G. 1996. Major cell wall storage polysaccharides in legume seeds: Structure, catabolism and biological functions. – Ciencia e Cultura. 48(3): 153–162.
- Rakhmanberdyeva R.K., Nigmatullaev A.M. 2003. Seasonal dynamics content and composition of carbohydrates in Cardaria repens (Schrenk) Jarm. – Plant resources. 39(1): 76–79. https://elibrary.ru/item.asp?id=17080741 (In Russian)
- Kodiralieva F., Rakhmanberdyeva R.K. Polysaccharides from Сrotalaria alata. 2011. – Chem. Nat. Compd. 47(1): 7–9. https://doi.org/10.1007/s10600-011-9818-3
- Rakhmanberdyeva R.K., Talipova M., Gazizov F., Rakhimov D.A. 2002. Carbohydrates and lipids of Gleditsia triacanthos seeds. – Chem. Nat. Compd. 38(1): 24–26. https://doi.org/10.1023/A:1015717328738
- Bilay V.I., Bilay T.I., Musich E.G. 1982. [Transformation of cellulose by fungi]. Kyiv. 296 p. (In Russian)
- Krasilnikov N.A. 1966. [Methods for studying soil microorganisms and their metabolites]. Moscow. 216 p. (In Russian)
- Kodiralieva F.А., Shashkov A.S., Rakhmanberdyeva R.K. 2015. Structure of galactomannan from seeds of Сrotalaria alata. – Chem. Nat. Compd. 51(3): 405–408. https://doi.org:10.1007/s10600-015-1303-y




