State of Limonium gmelinii (Plumbaginaceae) Coenopopulations in the Republic of Khakassia
- Authors: Barsukova I.N.1, Cheryomushkina V.A.2
-
Affiliations:
- Katanov Khakass State University
- Central Siberian Botanical Garden SB RAS
- Issue: Vol 59, No 3 (2023)
- Pages: 262-276
- Section: Structure of Plant Populations
- URL: https://journals.rcsi.science/0033-9946/article/view/138803
- DOI: https://doi.org/10.31857/S0033994623030056
- EDN: https://elibrary.ru/SAESYZ
- ID: 138803
Cite item
Full Text
Abstract
Abstract
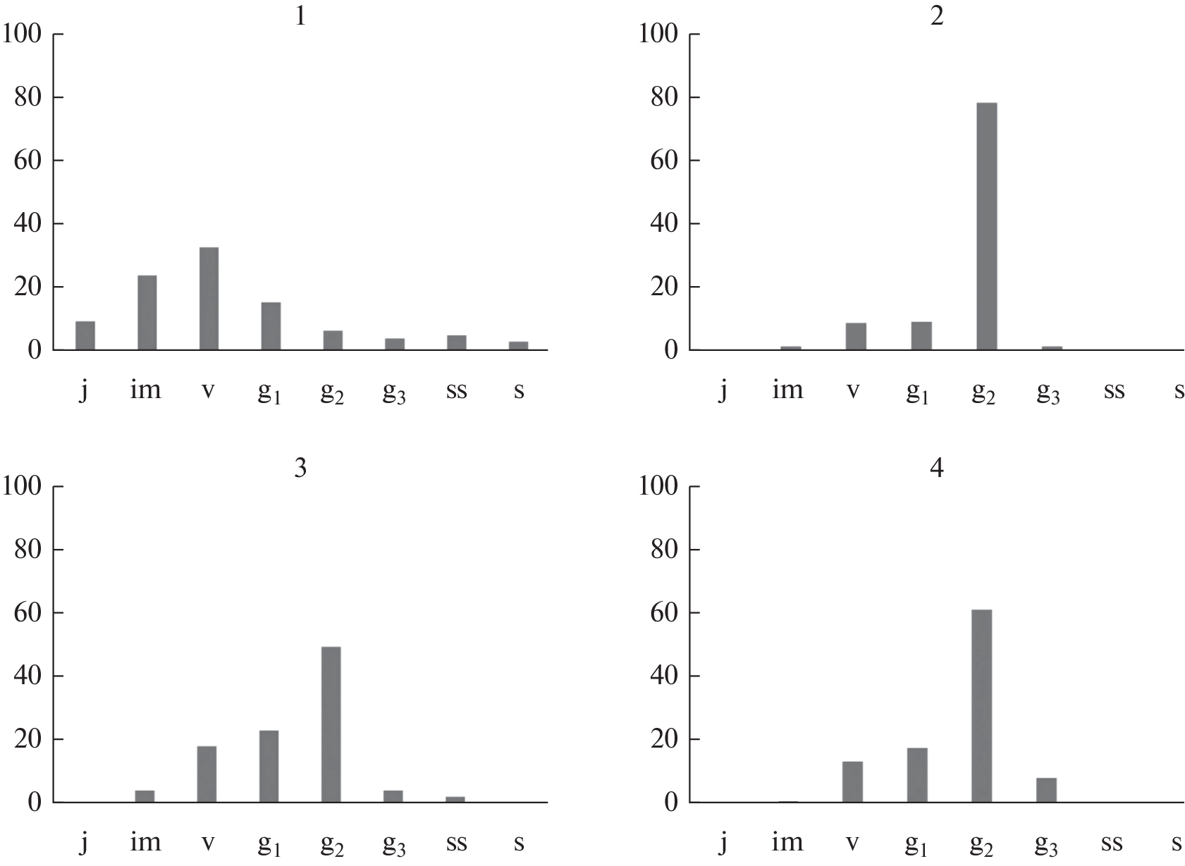
—The study is focused on the characteristic halophyte of Khakassia – Limonium gmelinii (Willd.) Kuntze (Plumbaginaceae). There is no information on the structure and assessment of the state of the coenopopulations of L. gmelinii in Khakassia. The materials were collected in 2022 from steppe and meadow plant communities with varying degrees of salinity. It was found that L. gmelinii coenopopulations are stable. The studied coenopopulations are normal, complete and incomplete. The left-sided type of the ontogenetic spectrum is formed in the alkaline steppe with low total projective cover and sufficient moisture; centered – on slightly saline or almost non-saline substrate of grass-covered steppe and meadow communities under different moisture regimes. The change in the ontogenetic structure and an increase in the undergrowth are associated with seed renewal and ecological and phytocenotic conditions of habitats. The density of individuals depends on the ecological and phytocenotic environment. The maximum total score of organismal and populational characters in Limonium gmelinii individuals was observed on slightly saline and practically non-saline soils in the cold sagebrush-grass and sagebrush real steppes of Khakassia. On the steppe meadows with low salinity, extensive grass cover and lack of moisture, the species does not reach the optimum. On highly saline soils, under low competition from related species and sufficient moisture, the total score of organismal and population characters reaches an average value.
About the authors
I. N. Barsukova
Katanov Khakass State University
Author for correspondence.
Email: saphronovairina@mail.ru
Russia, Abakan
V. A. Cheryomushkina
Central Siberian Botanical Garden SB RAS
Email: saphronovairina@mail.ru
Russia, Novosibirsk
References
- Gontar E.M., Kurochkina N.Yu. 2005. [Age structure of coenopopulations of Hypericum perforatum (Clusiaceae), Polemonium caeruleum (Polemoniaceae) and Primula macrocalyx (Primulaceae) in Khakassia, Altai and Eastern Kazakhstan]. – Rastitelnye resursy. 41(2): 17–28. https://www.elibrary.ru/item.asp?id=9150184 (In Russian)
- Vodolazova C.V., Cheryomushkina V.A., Kolegova E.B., Myadelets M.A. 2010. Ontogenesis, structure of coenopopulations and ecological-coenotic characteristics of Nepeta sibirica (Lamiaceae) in Khakasia. – Rastitelnye resursy. 46(1): 3–16. https://www.elibrary.ru/item.asp?id=17020773 (In Russian)
- Leonova T.V., Cheryomushkina V.A., Vodolazova S.V. 2010. Ontogenetic structure of Coluria geoides (Rosaceae) populations under different ecological-coenotic conditions in Khakasia. – Rastitelnye resursy. 46(2): 24–32. https://www.elibrary.ru/item.asp?id=17028758 (In Russian)
- Kolegova E.B., Cheryomushkina V.A. 2015. Ontogenetic structure of Thymus jenisseensis (Lamiaceae) coenopopulations in the South Siberia. – Rastitelnye resursy. 51(1): 60–69. https://www.elibrary.ru/item.asp?id=22740096 (In Russian)
- Karnaukhova N.A. 2015. Ontogenesis and life forms of Hedysarum L. (Fabaceae) in South Siberia. – Cont. Probl. Ecol. 8(5): 614–623. http://doi.org/10.1134/S199542551505008X (In Russian)
- Shurupova M.N. 2018. Coenopopulation structure and ontogenesis of Saussurea baicalensis (Asteraceae) in Kuznetsk Alatau (Khakassia). – Botanicheskij zhurnal. 103(5): 616–630. http://doi.org/10.1134/S0006813618050046 (In Russian)
- Talovskaya E.B., Cheryomushkina V.A., Barsukova I.N. 2020. Architecture of the dwarf shrub Thymus petraeus (Lamiaceae) in the conditions of Southern Siberia. – Cont. Probl. Ecol. 13(1): 85–94. http://doi.org/10.1134/S1995425520010102
- Cheryomushkina V.A., Guseva A.A., Makunina N.I., Astashenkov A.Yu., Denisova G.R. 2020. Phytocenotic characteristics, ontogenetic structure and assessment of the state of Scutellaria scordiifolia (Lamiaceae) coenopopulations in Siberia. – Rastitelnye resursy. 56(2): 138–150. http://doi.org/10.31857/S003399462002003X (In Russian)
- Karnaukhova N.A., Syeva S.Ya. 2022. Status of coenopopulations of Astragalus austrosibiricus (Fabaceae) in the Altai Mountains and Khakassia. – Izvestiya of Timiryazev Agricultural Academy. 3: 31–43. http://doi.org/10.26897/0021-342X-2022-3-31-43 (In Russian)
- Yuritsyna N.A. 2016. [Vegetation features of saline ecotopes in southeastern Europe and adjacent territories: Abstr. … Dis. Doct. (Biology) Sci.]. Tolyatti. 36 p. (In Russian)
- Limonium gmelinii. https://www.plantarium.ru/page/image/id/268405.html
- Astashenkov A.Yu., Grebenjuk A.V. 2017. Morphological adaptation of individuals and ontogenetic structure of Limonium gmelinii (Plumbaginaceae) coenopopulations in conditions of Kulunda steppe (Altay territory). – Botanicheskij zhurnal. 102(8): 1136–1149. http://doi.org/10.1134/S0006813617080063 (In Russian)
- Linchevskij I.A. 1952. Limonium Mill. – In: Flora URSS. Vol. XVIII. Moscow; Leningrad. P. 411–467. (In Russian)
- Kovtonyuk N.K. 1997. Limonium Miller. – In: Flora of Sibiriae. T. 11. Pyrolaceae – Lamiaceae (Labiatae). Novosibirsk. P. 50–56. (In Russian)
- Pignatti S. 1972. Limonium Miller. – In: Flora Europaea. V. 3: Diapensiacea to Myoporaceae. Cambridge. P. 38–50.
- Peng T.H., Kamelin R.V. 1996. Plumbaginaceae. – In: Flora of China. V. 15. P. 190–204. http://flora.huh.harvard.edu/china/mss/volume15/Plumbaginaceae.published.pdf
- Kleshcheva E.A. 2010. Indicator properties of Southern Siberian plants with respect to soil moisture. – Russ. J. Ecol. 41(6): 480–485. http://doi.org/10.1134/S1067413610060044
- Grigore M.N., Toma C. 2014. Integrative ecological notes on halophytes from “Valea Ilenei” (Iaşi) nature reserve. – Mem. Sci. Sect. Rom. Acad. 37: 19–36. http://mss.academiaromana-is.ro/mem_sc_st_2014/2_Grigore.pdf
- Korolyuk A.Yu. 2014. Plant communities of the class Festuco–Brometea in the West Siberian Plane. – Rastitelnost’ Rossii. 25: 45–70. https://doi.org/10.31111/vegrus/2014.25.45 (In Russian)
- Lebedeva S.A., Grechushkina N.A., Lebedev E.A. 2012. Communities of the Camphorosmo–Suaedion corniculatae from the southern part of the Minussinskaya basin. – Izvestia RAS SamSC. 1(4). http://www.ssc.smr.ru/media/journals/izvestia/2012/2012_1_1054_1057.pdf (In Russian)
- Daraban I.-N., Mihali C.V., Turcuș V., Ardelean A., Arsene G-G. 2013. ESEM and EDAX observations on leaf and stem epidermal structures (stomata and salt glands) in Limonium gmelinii (Willd.) Kuntze. – Ann. Romanian Soc. Cell Biol. 18(1): 123–130.
- Zorić L.N., Anačkov G.T., Karanović D.S., Luković J.Ž. 2013. Leaf structural adaptations of two Limonium Miller (Plumbaginales, Plumbaginaceae) taxa. – Zbornik Matice srpske za prirodne nauke. 125: 43–54. http://doi.org/10.2298/ZMSPN1325043Z
- Vestek A., Knežević J., Janjić Đ., Rat M., Anačkov G. 2016. Limonium gmelinii (Willd.) O. Kuntze in Serbia and Republic of Macedonia: analysis of morphological variability. – Biologia Serbica. 38(1): 3–11. http://doi.org/10.5281/zenodo.48467
- Malekmohammadi M., Lack H.W., Lomonosova M., Akhani H. 2017. The discovery, naming and typification of Limonium gmelinii (Plumbaginaceae). – Willdenowia. 47(2): 99–106. http://doi.org/10.3372/wi.47.47201
- Movsumov I.S., Garaev E.A. 2012. Compounds and biological activity of Limonium (Limoniaceae) species. – Rastitelnye resursy. 48(2): 288–293. https://www.elibrary.ru/item.asp?id=17775357 (In Russian)
- Lovinskaya A.V., Kolumbayeva S.Zh., Shalakhmetova T.M., Marsova M.V., Abilev S.K. 2017. Antigenotoxic activity of biologically active substances from Inula britannica and Limonium gmelinii. – Russ. J. Genet. 53(12): 1311–1319. http://doi.org/10.1134/S1022795417120080
- Kuminova A.V., Maskaev Yu.M. 1976. [Geobotanical zoning]. – In: [Vegetation cover of Khakassia]. Novosibirsk. P. 309–367. (In Russian)
- Korchagin A.A. 1964. [Species (floristic) composition of plant communities and the methods of its investigation]. – In: [Field geobotany]. V. 3. Moscow; Leningrad. P. 39–62. (In Russian)
- The Plant List. http://www.theplantlist.org/
- Rabotnov T.A. 1950. [Life cycle of perennial herbaceous plants in meadow coenoses]. – Trudy BIN AN SSSR. 3(6): 7–196. (In Russian)
- Rabotnov T.A. 1950. [The problems of studying population composition for the purposes of phytocoenology]. – Problemy botaniki. 1: 465–483. (In Russian)
- Uranov A.A. 1975. The age spectrum of coenopopulations as a function of time and energy wave processes. – Biologicheskie nauki. 2: 7–34. (In Russian)
- [Plant coenopopulations: basic concepts and structure]. 1976. Moscow. 217 p. (In Russian)
- [Plant coenopopulations: essays on population biology]. 1988. Moscow. 184 p. (In Russian)
- Zaugolnova L.B. 1994. [The structure of populations of seed plants and the problems of their monitoring: Dis. … Doct. (Biology) Sci.]. St. Petersburg. 70 p. (In Russian)
- Zhukova L.A. 1995. [Population life of meadow plants]. Yoshkar-Ola. 224 p. (In Russian)
- Kovalenko I.M. 2005. The structure of populations, which dominant in ground layer of woody phytocenosis at national nature park Desnyansk-Starogutsky. I. Age structure. – Ukrainian botanical journal. 62(5): 707–714. http://dspace.nbuv.gov.ua/handle/123456789/163446 (In Ukrainian)
- Glotov N.V. 1998. [On the estimation of the parameters of the age structure of plant populations]. – In: [Life of populations in heterogeneous environment]. Part 1. Yoshkar-Ola. P. 146–149. (In Russian)
- Zhivotovsky L.A. 2001. Ontogenetic states, effective density and classification of plant populations. – Ekologiya. 32(1): 1–5. https://doi.org/10.1023/A:1009536128912
- Odum Yu. 1975. [Fundamentals of ecology]. Moscow. 740 p. (In Russian)
- Zlobin Yu.A. 1989. [Principles and methods for studying coenotic populations of plants]. Kazan. 147 p. (In Russian)
- Glantz S. 1999. [Biomedical statistics]. Moscow. 462 p. (In Russian)
- Tsatsenkin I.A. 1967. [Ecological scales for plants of pastures and hayfields in alpine and plain regions of Central Asia, Altai and the Urals]. Dushanbe. 225 p. (In Russian)
- Abramova I.M., Karimova O.A., Andreeva I.Z. 2013. On the ecology and biology of Althaea officinalis L. (Malvaceae) at the northern boundary of its range (Republic of Bashkortostan) – Cont. Probl. Ecol. 6(4): 415–425. https://doi.org/10.1134/S199542551304001X
- Karimova O.A., Abramova L.M., Golovanov Ya.M. 2017. Analysis of the current status of populations of rare plant species of nature monument Troicki chalk mountains (Orenburg region). – Arid Ecosyst. 7(1): 41–48. https://doi.org/10.1134/S2079096117010073
- Chistyakova A.A., Karmishina T.M., Uvarova O.B. 2012. Developmental biology and population ecology of some of halophilic plants of the forest-steppe. – Izvestiya PGPU im. V.G. Belinskogo. Natural Sciences. 29: 103–111. https://www.elibrary.ru/item.asp?id=18274631 (In Russian)
- Akzhigitova N.I. 1982. [Halophyte vegetation of Central Asia and its indication properties]. Tashkent. 190 p. (In Russian)
Supplementary files





