Влияние нелинейности на особую точку в системе связанных осцилляторов Дуффинга
- Авторы: Темная О.С.1, Сафин А.Р.1,2, Кравченко О.В.1,3, Никитов С.А.1,4,5
-
Учреждения:
- Институт радиотехники и электроники им. В.А. Котельникова РАН
- Национальный исследовательский университет “МЭИ”
- Вычислительный центр им. А.А. Дородницына Федерального исследовательского центра “Информатика и управление” РАН
- Московский физико-технический институт (национальный исследовательский университет)
- Cаратовский национальный исследовательский государственный университет им. Н.Г. Чернышевского
- Выпуск: Том 68, № 9 (2023)
- Страницы: 893-896
- Раздел: К 70-ЛЕТИЮ ИРЭ ИМ. В.А. КОТЕЛЬНИКОВА РАН
- URL: https://journals.rcsi.science/0033-8494/article/view/138413
- DOI: https://doi.org/10.31857/S0033849423090231
- EDN: https://elibrary.ru/SJESLH
- ID: 138413
Цитировать
Полный текст
Аннотация
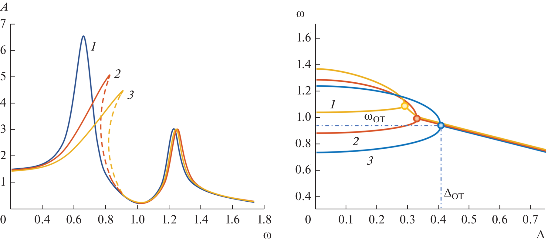
Исследовано влияние нелинейности на смещение особой точки в системе двух связанных осцилляторов Дуффинга при изменении коэффициентов связи и вносимых потерь. Показано, что смещение особой точки при изменении коэффициента нелинейности сопровождается уменьшением амплитуды возбуждаемых колебаний и сдвигом резонансной частоты. Численно найдены пороговые значения коэффициентов нелинейности, связи и вносимых потерь, при которых возникает особая точка. Показано, что увеличение коэффициента нелинейности приводит к уменьшению порогового значения вносимых потерь, необходимых для образования особой точки.
Об авторах
О. С. Темная
Институт радиотехники и электроники им. В.А. Котельникова РАН
Email: ostemnaya@gmail.com
Российская Федерация, 125009, Москва, ул. Моховая, 11, стр. 7
А. Р. Сафин
Институт радиотехники и электроники им. В.А. Котельникова РАН; Национальный исследовательский университет “МЭИ”
Email: ostemnaya@gmail.com
Российская Федерация, 125009, Москва, ул. Моховая, 11, стр. 7; Российская Федерация, 111250, Москва, ул. Красноказарменная, 14, стр. 1
О. В. Кравченко
Институт радиотехники и электроники им. В.А. Котельникова РАН; Вычислительный центр им. А.А. ДородницынаФедерального исследовательского центра “Информатика и управление” РАН
Email: ostemnaya@gmail.com
Российская Федерация, 125009, Москва, ул. Моховая, 11, стр. 7; Российская Федерация, 119333, Москва, ул. Вавилова, 40
С. А. Никитов
Институт радиотехники и электроники им. В.А. Котельникова РАН; Московский физико-технический институт (национальный исследовательский университет); Cаратовский национальный исследовательский государственный университет им. Н.Г. Чернышевского
Автор, ответственный за переписку.
Email: ostemnaya@gmail.com
Российская Федерация, 125009, Москва, ул. Моховая, 11, стр. 7; Российская Федерация, 141700, Московской области, Долгопрудный, Институтский пер., 9; Российская Федерация, 410012, Саратов, ул. Астраханская, 83
Список литературы
- Kato T. A Short Introduction to Perturbation Theory for Linear Operators. N.Y.: Springer., 2011. https://doi.org/10.1007/978-1-4612-5700-4
- Wiersig J. // Photon. Res. 2020. V. 8. № 9. P. 1457. https://doi.org/10.1364/PRJ.396115
- Weidong C., Wang C., Chen W. et al. // Nat. Nanotech. 2022. V. 17. Article No. 262268. https://doi.org/10.1038/s41565-021-01038-4
- Зябловский А.А., Виноградов А.П., Пухов А.А. и др. // Успехи физ. наук. 2014. Т. 184. № 11. С. 1177. https://doi.org/10.3367/UFNr.0184.201411b.1177
- Rüter C., Makris K., El-Ganainy R. // Nat. Phys. 2010. V. 6. Article No. 192195. https://doi.org/10.1038/nphys1515
- Вилков Е.A., Бышевский-Конопко О.А., Темная О.С. и др. // Письма в ЖТФ. 2022. Т. 48. № 24. С. 38. https://doi.org/10.21883/PJTF.2022.24.54023.19291
- Zhu X., Ramezani H., Shi C. et al. // Phys. Rev. X 2014. V. 4. Article No. 031042. https://doi.org/10.1103/PhysRevX.4.031042
- Wittrock S., Perna S., Lebrun R. et al. // arXiv: 2108.04804.
- Liu H., Sun D., Zhang C. et al. // Sci. Adv. 2019. V. 5. № 11. Article No. aax9144. https://doi.org/10.1126/sciadv.aax9144
- Temnaya O.S., Safin A.R., Kalyabin D.V., Nikitov S.A. // Phys. Rev. Appl. 2022. V. 18. Article No. 014003. https://doi.org/10.1103/PhysRevApplied.18.014003
- Sadovnikov A.V., Zyablovsky A.A., Dorofeenko A.V., Nikitov S.A. // Phys. Rev. Appl. 2022. V. 18. Article No. 024073. https://doi.org/10.1103/PhysRevApplied.18.024073
- Rajasekar S., Sanjuan M. Nonlinear Resonances. Cham: Springer, 2015.
- Рабинович И.М., Трубецков Д.И. Введение в теорию колебаний и волн. Ижевск: НИЦ РХД, 2000.
- Moon K.-W., Chun B.S., Kim W. et al. // Sci. Reports. 2014. V. 4. Article No. 6170.





