Slow motion medium for broadband lens antennas based on corrugated metal surfaces
- Autores: Kaloshin V.A.1, Bui Сhung .2
-
Afiliações:
- Kotelnikov Institute of Radioengineering and Electronics, Russian Academy of Sciences
- Moscow Institute of Physics and Technology (National Research University)
- Edição: Volume 68, Nº 9 (2023)
- Páginas: 845-851
- Seção: К 70-ЛЕТИЮ ИРЭ ИМ. В.А. КОТЕЛЬНИКОВА РАН
- URL: https://journals.rcsi.science/0033-8494/article/view/138396
- DOI: https://doi.org/10.31857/S0033849423090103
- EDN: https://elibrary.ru/SBNMAD
- ID: 138396
Citar
Texto integral
Resumo
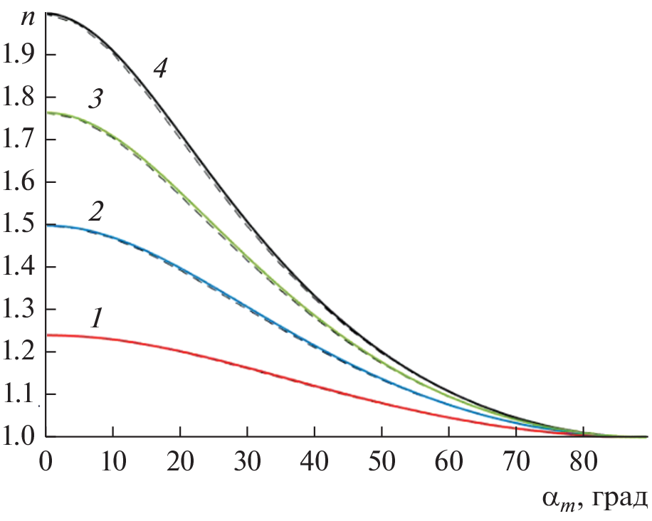
A slowing medium based on parallel corrugated metal surfaces. The study of the moderating properties of the medium was carried out using numerical method in the Ansys HFSS software environment. It is shown that the medium has a strong spatial natural and weak frequency dispersion. The latter circumstance allows it to be used in as a material for broadband lenses of the VHF-microwave ranges of electromagnetic waves. As an example of such use, a lens-based antenna was synthesized and analyzed Mikaelyan.
Sobre autores
V. Kaloshin
Kotelnikov Institute of Radioengineering and Electronics, Russian Academy of Sciences
Email: vak@cplire.ru
Moscow, 125007 Russia
Van Bui Сhung
Moscow Institute of Physics and Technology (National Research University)
Autor responsável pela correspondência
Email: vak@cplire.ru
Dolgoprudnyi, Moscow oblast, 141701 Russia
Bibliografia
- Донец И.В., Лерер А.М., Цветковская С.М. // РЭ. 2023. Т. 68. № 5. С. 409.
- Ji-Wei Lian, Maral Ansari, Peng Hu et al. // IEEE Trans. 2023. AP- 71. № 4. P. 3193.
- Perez-Quintana D., Bilitos C., Ruiz-Garcia J. et al. // IEEE Trans. 2023. AP-71. № 4. P. 2930.
- Ansari M., Jones B., Guo Y.J. // IEEE Trans. 2022. AP-70. № 6. P. 4307.
- Liu J., Lu H., Dong Z. et al. // IEEE Trans.2022. AP-70. № 1. P. 697.
- Калошин В.А. // ДАН. 2016. Т. 470. № 2. С. 153.
- Венецкий А.С., Калошин В.А., Чан Тиен Тханг // РЭ. 2023. Т. 68. № 6. С. 579.
- Кухаркин В.С. Основы инженерной электрофизики. Ч. 1. М.: Высш. шк., 1969.
Arquivos suplementares

















