Magnetocaloric Effect in the Laves Phase of GdNi2 in Strong Magnetic Fields
- Authors: Kamantsev A.P.1, Koledov V.V.1, Shavrov V.G.1, Plakhotskiy D.V.2, Bogush M.Y.2, Utarbekova M.V.2, Orshulevich M.A.2
-
Affiliations:
- Kotelnikov Institute of Radioengineering and Electronics, Russian Academy of Sciences
- Chelyabinsk State University
- Issue: Vol 68, No 4 (2023)
- Pages: 384-390
- Section: К 90-ЛЕТИЮ ВЛАДИМИРА ГРИГОРЬЕВИЧА ШАВРОВА
- URL: https://journals.rcsi.science/0033-8494/article/view/138201
- DOI: https://doi.org/10.31857/S0033849423040137
- EDN: https://elibrary.ru/PFZESS
- ID: 138201
Cite item
Full Text
Abstract
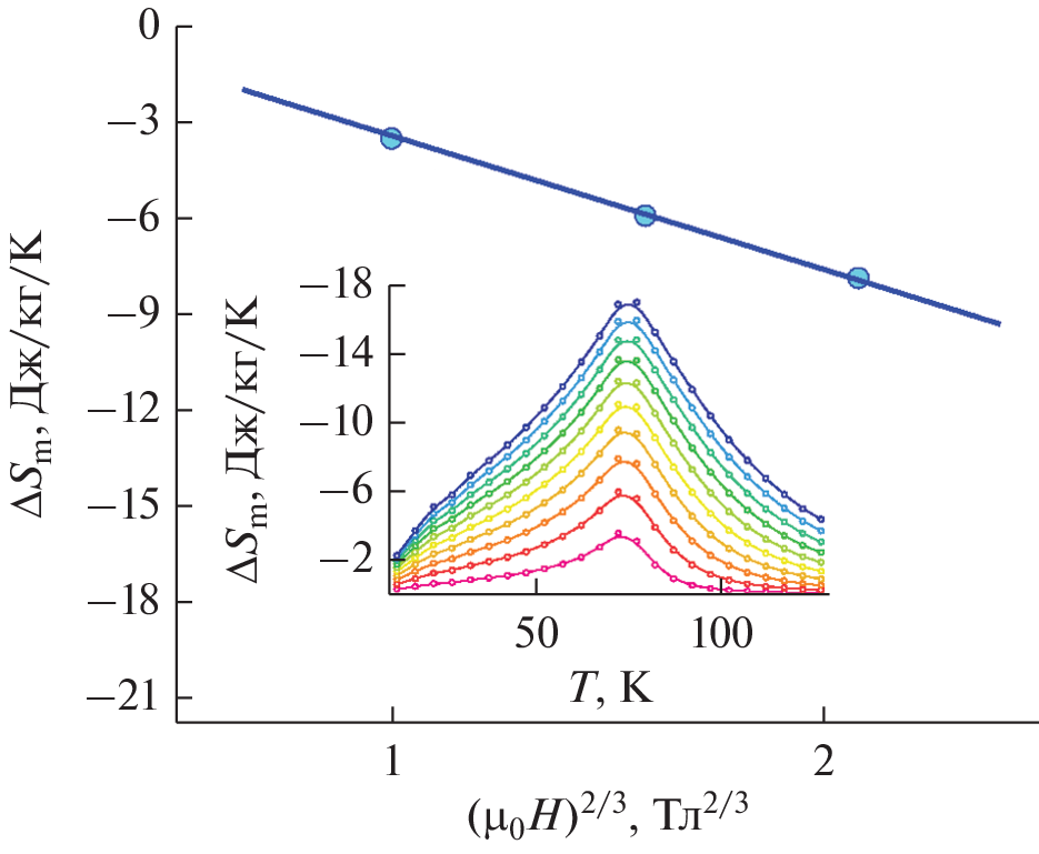
Experimental studies of the magnetic and magnetocaloric properties of the Laves phase of GdNi2 have been carried out in external static up to 3 T and pulsed up to 50 T magnetic fields. It has been found that in a magnetic field of 3 T the change in the magnetic entropy of the alloy reaches its maximum value ΔSm = −8 J/(kg K) in the vicinity of the Curie temperature TC = 73.6 K. The corresponding adiabatic temperature change in this case, calculated by an indirect method, is ΔTad ≈ 3 K. The maximum value of the adiabatic temperature change measured by the direct method in a pulsed magnetic field of 50 T at T0 = 77 K, was equal to ΔTad = 15 K, which agrees well with theoretical predictions.
About the authors
A. P. Kamantsev
Kotelnikov Institute of Radioengineering and Electronics, Russian Academy of Sciences
Email: shchichko.marina.csu@gmail.com
Moscow, 125009 Russia
V. V. Koledov
Kotelnikov Institute of Radioengineering and Electronics, Russian Academy of Sciences
Email: shchichko.marina.csu@gmail.com
Moscow, 125009 Russia
V. G. Shavrov
Kotelnikov Institute of Radioengineering and Electronics, Russian Academy of Sciences
Email: shchichko.marina.csu@gmail.com
Moscow, 125009 Russia
D. V. Plakhotskiy
Chelyabinsk State University
Email: shchichko.marina.csu@gmail.com
Chelyabinsk, 454001 Russia
M. Yu. Bogush
Chelyabinsk State University
Email: shchichko.marina.csu@gmail.com
Chelyabinsk, 454001 Russia
M. V. Utarbekova
Chelyabinsk State University
Email: shchichko.marina.csu@gmail.com
Chelyabinsk, 454001 Russia
M. A. Orshulevich
Chelyabinsk State University
Author for correspondence.
Email: shchichko.marina.csu@gmail.com
Chelyabinsk, 454001 Russia
References
- Суслов Д.А., Шавров В.Г., Коледов В.В. и др. // Челябинский физико-математический журн. 2020. Т. 5. № 4. С. 612. https://doi.org/10.47475/2500-0101-2020-15420
- Stein F., Leineweber A. // J. Mater. Sci. 2021. V. 56. № 9. P. 5321. https://doi.org/10.1007/s10853-020-05509-2
- Chu F., Chen Z.W., Fuller C.J. et al. // J. Appl. Phys. 1996. V. 79. № 8. P. 6405. https://doi.org/10.1063/1.362013
- Young K-H., Chang S., Lin X. // Batteries. 2017. V. 3. № 3. P. 27. https://doi.org/10.3390/batteries3030027
- Goremychkin A., Natkaniec I., Mühle E., Chistyakov O.D. // J. Magn. Magn. Mater. 1989. V. 81. P. 63. https://doi.org/10.1016/0304-8853(89)90229-1
- Plaza J.R., de Sousa V.S.R., von Ranke P.J. et al. // J. Appl. Phys. 2009. V. 105. № 1. P. 013903. https://doi.org/10.1063/1.3054178
- von Ranke P.J., Nobrega E.P., de Oliveira I.G. et al. // J. Alloys Compound. 2002. V. 344. № 1-2. P.145. https://doi.org/10.1016/S0925-8388(02)00354-7
- Gomes M., Oliveira I.S., Guimarães A.P., et al. // J. Appl. Phys. 2003. V. 93. № 10. P. 6939. https://doi.org/10.1063/1.1558251
- Nouri K., Saidi M., Walha S. et al. // Chemistry Africa. 2020. V. 3. № 1. P. 111. https://doi.org/10.1007/s42250-019-00095-6
- Sánchez Llamazares J.L., Sánchez-Valdes C.F., Ibarra-Gaytan P.J. et al. // J. Appl. Phys. 2013. V. 113. № 17. P. 17A912. https://doi.org/10.1063/1.4794988
- Ibarra-Gaytán P.J., Sánchez Llamazares J.L., Álvarez-Alonso P. et al. // J. Appl. Phys. 2015. V. 117. № 17. P. 17C116. https://doi.org/10.1063/1.4915480
- Taskaev S.V., Buchelnikov V.D., Pellenen A.P. et al. // J. Appl. Phys. 2013. V. 113. № 13. P. 17A933. https://doi.org/10.1063/1.4799256
- Taskaev S., Skokov K., Khovaylo, V. et al. // J. Magn. Magn. Mater. 2018. V. 459. P. 42. https://doi.org/10.1016/j.jmmm.2017.12.052
- Matsumoto K., Asamato K., Nishimura Y. et al. // J. Phys.: Conf. Ser. 2012. V. 400. № 5. Article No. 052020. https://doi.org/10.1088/1742-6596/400/5/052020
- Baranov N.V., Proshkin A.V., Gerasimov E.G. et al. // Phys. Rev. B 2007. V. 75. № 9. P. 092402. https://doi.org/10.1103/PhysRevB.75.092402
- Jiang C. // Acta Mater. 2007. V. 55. P. 1599. https://doi.org/10.1016/j.actamat.2006.10.020
- Skrabeck E.A., Wallace W.E. // J. Appl. Phys. 1963. V. 34. № 4. P. 1356. https://doi.org/10.1063/1.1729507
- Coey J.M.D. Magnetism and Magnetic Materials. Cambridge University. N.Y.: Press, 2009.
- Gottschall T., Kuz’min M.D., Skokov K.P. et al. // Phys. Rev. B. 2019. V. 99. № 13. P. 134429. https://doi.org/10.1103/PhysRevB.99.134429
- Каманцев А.П., Амиров А.А., Кошкидько Ю.С. и др. // ФТТ. 2020. Т. 62. № 1. С. 117.
- Pan Y.Y., Nash P. // Phase Diagrams of Binary Nickel Alloys / Ed. by P. Nash. Materials Park: ASM International, 1991. P. 382.
- Fiorillo F. Characterization and Measurement of Magnetic Materials. Amsterdam: Elsevier, 2004. P. 554.
- Paudyal D., Mudryk Y., Lee Y.B. et al. // Phys. Rev. B 2008. V. 78. № 18. P. 184436. https://doi.org/10.1103/PhysRevB.78.184436
- Taskaev S., Khovaylo V., Skokov K. et al. // J. Appl. Phys. 2020. V. 127. № 22. P. 233906. https://doi.org/10.1063/5.0006281
- Oesterreicher H., Parker T.F. // J. Appl. Phys. 1984. V. 55. № 12. P. 4334. https://doi.org/10.1063/1.333046
- Khovaylo V.V., Taskaev S.V. // Encyclopedia of Smart Materials. 2022. V. 5. P. 407. https://doi.org/10.1016/B978-0-12-815732-9.00132-7
Supplementary files









