Магнитокалорические материалы на основе соединений RNi (R = Gd и Dy)
- Авторы: Курганская А.А.1, Терёшина И.С.1
-
Учреждения:
- Московский государственный университет им. М.В. Ломоносова
- Выпуск: Том 68, № 4 (2023)
- Страницы: 366-371
- Раздел: К 90-ЛЕТИЮ ВЛАДИМИРА ГРИГОРЬЕВИЧА ШАВРОВА
- URL: https://journals.rcsi.science/0033-8494/article/view/138194
- DOI: https://doi.org/10.31857/S0033849423040071
- EDN: https://elibrary.ru/PFPJKE
- ID: 138194
Цитировать
Полный текст
Аннотация
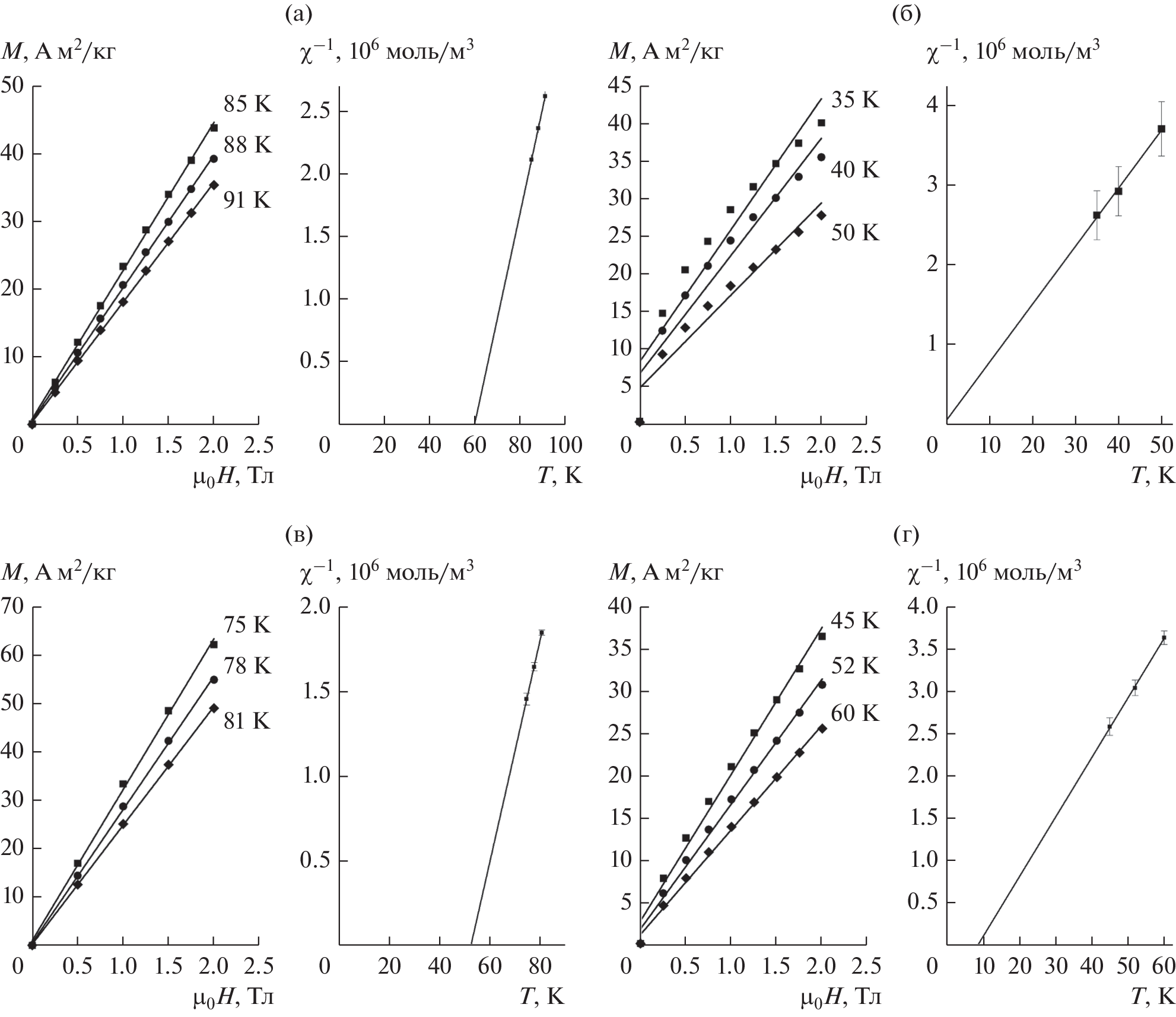
Разработаны высокоэффективные материалы для твердотельного магнитного охлаждения в интервале температур 1.5…100 К. Исследованы магнитные и магнитокалорические свойства новых составов (R, R')Ni (R = Gd и R' = Dy) и их гидридов в области температуры Кюри. Установлены основные закономерности поведения температурных зависимостей магнитокалорического эффекта при варьировании состава.
Ключевые слова
Об авторах
А. А. Курганская
Московский государственный университет им. М.В. Ломоносова
Email: kurganskaia.aa17@physics.msu.ru
Российская Федерация, 119234, Москва, Ленинские горы, 1
И. С. Терёшина
Московский государственный университет им. М.В. Ломоносова
Автор, ответственный за переписку.
Email: kurganskaia.aa17@physics.msu.ru
Российская Федерация, 119234, Москва, Ленинские горы, 1
Список литературы
- Gschneidner K.A., Jr, Pecharsky V.K., Tsokol A.O. // Rep. Prog. 2005. V. 68. № 6. P. 1479. https://doi.org/10.1088/0034-4885/68/6/R04
- Tanaeva I.A., Ikeda H., Van Bokhoven L.J.A et al. // Cryogenics. 2003. V. 43. № 8. P. 441. https://doi.org/10.1016/S0011-2275(03)00099-7
- Kumar P., Suresh K.G., Nigam A.K., Gutfleisch O. // J. Phys. D. 2008. V. 41. № 24. P. 245006. https://doi.org/10.1088/0022-3727/41/24/245006
- Tripathy S.K., Suresh K.G., Nirmala R. et al. // Solid State Commun. 2005. V. 134. № 5. P. 323. https://doi.org/10.1016/j.ssc.2005.01.047
- Walline R.E., Wallace W.E. // J. Chem. Phys. 1964. V. 41. № 6. P. 1587. https://doi.org/10.1063/1.172612741
- Abrahams S.C., Bernstein J.L., Sherwood R.C. et al. // J. Phys. Chem. Solids. 1964. V. 25. № 10. P. 1069. https://doi.org/10.1016/0022-3697(64)90129-5
- Chzhan V.B., Kurganskaya A.A., Tereshina I.S. et al. // Mater. Chem. Phys. 2021. V. 264. Article No. 124455. https://doi.org/10.1016/j.matchemphys.2021.124455
- Smarzhevskaya A.I., Iwasieczko W., Verbetsky V.N., Nikitin S.A. // Phys. Status Solidi C. 2014. V. 11. № 5–6. P. 1102. https://doi.org/10.1002/pssc.201300728
- Лушников С.А., Терешина И.С., Вербицкий В.Н. // ФТТ. Т. 61. № 1. С. 81.
- Iwasieczko W., Drulis H., Yaropolov Y.L. et al. // J. Alloys Compounds. 2011. V. 509. № 3. P. 827. https://doi.org/10.1016/j.jal.com.2010.10.140
- Yaropolov Y.L., Andreenko A.S., Nikitin S.A. et al. // J. Alloys Compounds. 2011. V. 509. Suppl. 2. P. S830. https://doi.org/10.1016/j.jal.com.2011.01.047
- Tereshina E.A., Khmelevskyi S., Politova G. et al. // Sci. Rep. 2016. V. 6. Article No. 22553. https://doi.org/10.1038/srep22553
- Duc N.H. // Handbook on the Physics and Chemistry of Rare Earths. 1997. V. 24. P. 339.
- Tereshina E.A., Yoshida H., Andreev A.V. et al. // J. Phys. Soc. Japan. 2007. V. 76. Suppl. A. P. 82. https://doi.org/10.1143/JPSJS.76SA.82
- Rana P., Verma U.P. // Int. Scholarly Research Notices. 2014. V. 2014. Article ID 763401. https://doi.org/10.1155/2014/763401
- Tishin A.M., Spichkin Y.I. The Magnetocaloric Effect and Its Applications, Bristol: Inst. of Phys., 2003.
- de Oliveira N.A., von Ranke P.J. // Phys. Rep. 2010. V. 489. № 4–5. P. 89. https://doi.org/10.1016/j.physrep.2009.12.006
- Tereshina I., Politova G., Tereshina E. et al. // J. Phys.: Conf. Ser. 2010. V. 200. № 9. Article No.092012. https://doi.org/10.1088/1742-6596/200/9/092012
- Pankratov Yu., Skourski Y.V., Tristan N.V. et al. // J. Alloys Compounds. 2001. V. 322. P. 42. .https://doi.org/10.1016/S0925-8388(01)01170-7
- Rajivgandhi R., Chelvane J.A., Nigam A.K. et al. // J. Magn. Magn. Mater. 2016. V. 418. P. 9. https://doi.org/10.1016/j.jmmm.2016.02.052
- Bebenin N.G., Zainullina R.I., Ustinov V.V. // J. Appl. Phys. 2012. V. 113. № 7. P. 073907. https://doi.org/10.1063/1.4792306
- Романов А.Ю., Силин В.П.//ФММ. 1997. Т. 83. № 2. С. 111.
Дополнительные файлы







