On the Possible Half-Metallic Properties of Fe2RhZ (Z = Al, Si, Ga, Ge, In, Sn) Ferromagnetic Heusler Alloys
- Authors: Erager K.R.1, Baigutlin D.R.1, Sokolovskiy V.V.1, Buchelnikov V.D.1
-
Affiliations:
- Chelyabinsk State University
- Issue: Vol 68, No 4 (2023)
- Pages: 326-337
- Section: К 90-ЛЕТИЮ ВЛАДИМИРА ГРИГОРЬЕВИЧА ШАВРОВА
- URL: https://journals.rcsi.science/0033-8494/article/view/138184
- DOI: https://doi.org/10.31857/S0033849423040010
- EDN: https://elibrary.ru/PEIKBI
- ID: 138184
Cite item
Full Text
Abstract
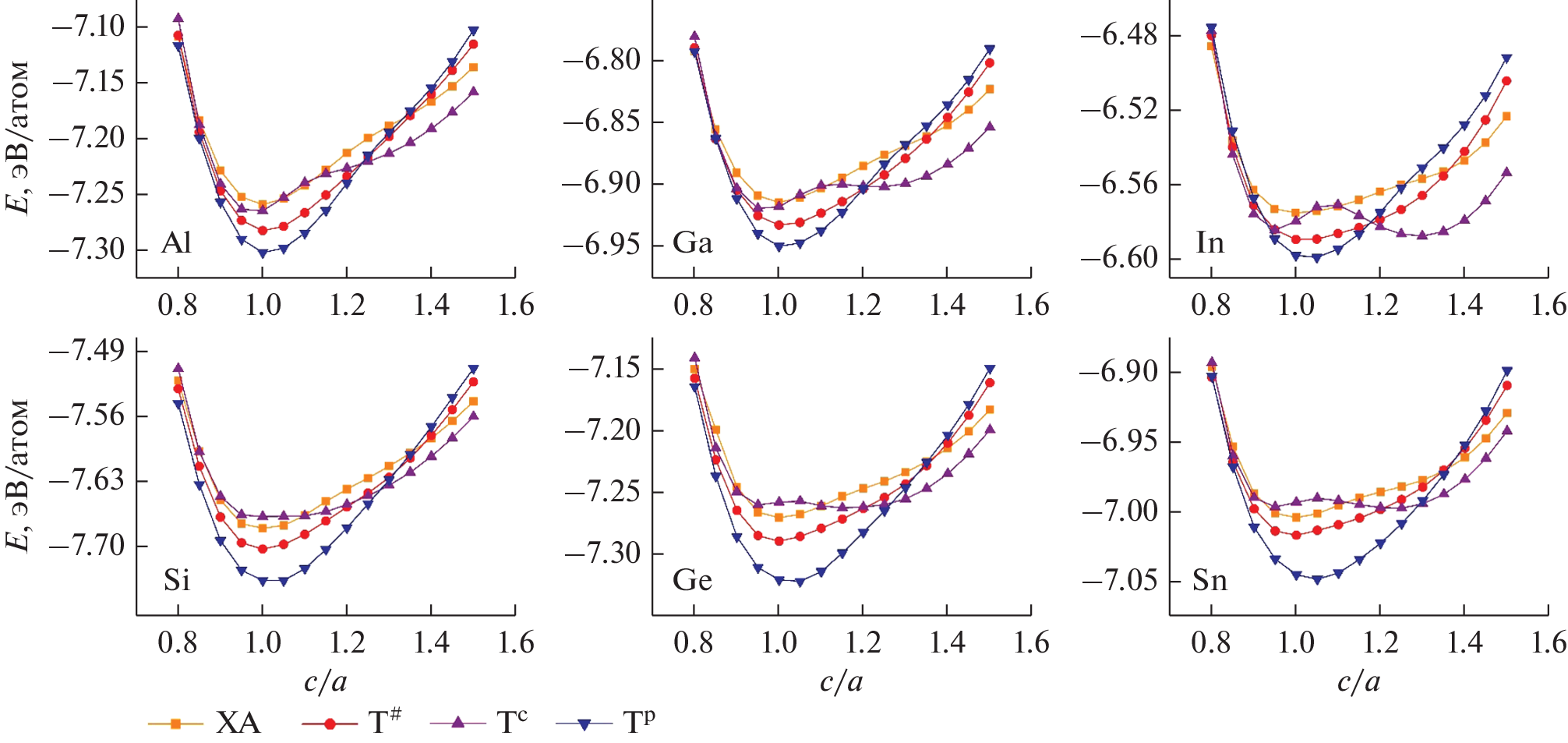
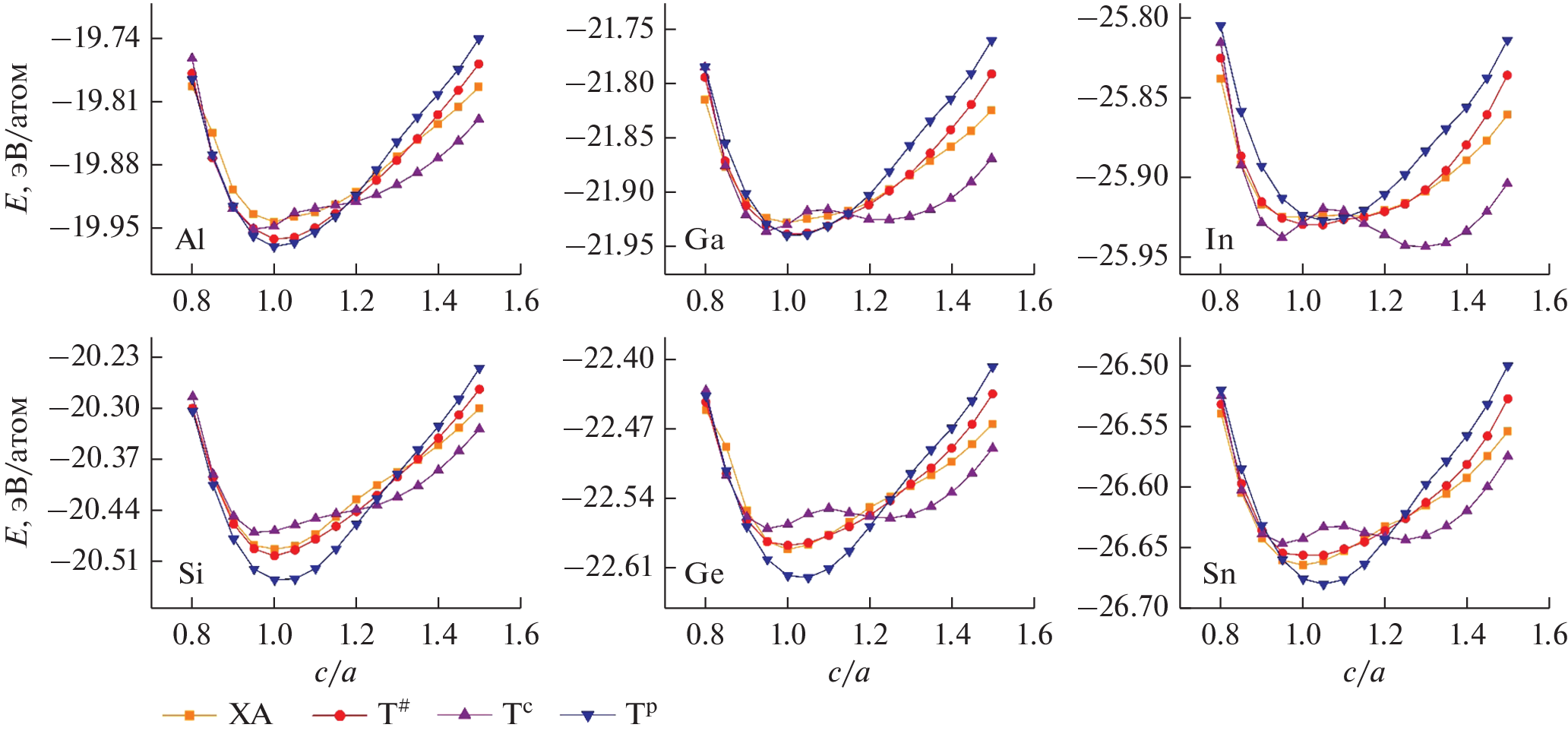
The possible presence of half-metallic properties in Fe2RhZ (Z = Al, Si, Ga, Ge, In, Sn) ferromagnetic Heusler alloys is ab initio studied. The calculation is carried out taking into account the exchange correlation effects using the generalized and meta-generalized gradient approximations. It is shown that the ground state of most investigated alloys is ferromagnetic ordering in the Тр model lattice. An analysis of the phase stability of the alloys showed that, in the considered approximations, most of them are stable in both the regular and inverse lattice, as well as in the three model lattices belonging to inverse-type Heusler structures with different atomic orders. It was predicted using the strongly constrained and appropriately normed (SCAN) functional that the Fe2RhSi alloy can exhibit the properties of half-metals, since it has an integer magnetic moment, a fairly high degree of polarization, and an energy gap at the Fermi level of spinup electrons.
About the authors
K. R. Erager
Chelyabinsk State University
Email: eragerk@rambler.ru
Chelyabinsk, 454001 Russia
D. R. Baigutlin
Chelyabinsk State University
Email: eragerk@rambler.ru
Chelyabinsk, 454001 Russia
V. V. Sokolovskiy
Chelyabinsk State University
Email: eragerk@rambler.ru
Chelyabinsk, 454001 Russia
V. D. Buchelnikov
Chelyabinsk State University
Author for correspondence.
Email: eragerk@rambler.ru
Chelyabinsk, 454001 Russia
References
- Winterlik J., Fecher G.H., Felser C. et al. // Phys. Rev. B. 2008. V. 78. № 18. P. 184506.
- Malik S.K., Umarji A.M., Shenoy G.K. // Phys. Rev. B. 1985. V. 31. № 11. P. 6971.
- Malik S.K., Umarji A.M., Shenoy G.K. // Phys. Rev. B. 1986. V. 34. № 5. P. 3144.
- Klimczuk T., Wang C.H., Gofryk K. et al. // Phys. Rev. B. 2012. V. 85. № 17. P. 174505.
- de van Roy Boeck, Das W., Motsnyi J. et al. // Semiconductor Sci. Technol. 2002. V. 17. № 4. P. 342.
- Chadov S., Graf T., Chadova K. et al. // Phys. Rev. Lett. 2011. V. 107. № 4. P. 047202.
- Yakushi K., Saito K., Takanashi K. et al. // Appl. Phys. Lett. 2006. V. 88. № 8. P. 082501.
- de Groot R.A., Mueller F. M., Engen P.G. v., Buschow K.H.J. // Phys. Rev. Lett. 1983. V. 50. № 25. P. 2024.
- Brown P.J., Gandy A.P., Kanomata T. et al. // J. Phys.: Cond. Matt. 2008. V. 20. № 45. P. 455201.
- Shigeta I., Murayama O., Hisamatsu T. et al. // J. Phys. Chem. Solids. 2011. V. 72. № 5. P. 604.
- Kanomata T., Kikuchi M., Yamauci H., Kaneko T. // Jap. J. Appl. Phys. 1993. V. 32. № S3. P. 292.
- Deka B., Srinivasan A. // Physica B: Cond. Matt. 2015. V. 476. P. 118.
- Endo K., Kanomata T., Nishihara H., Ziebeck K. // J. Alloys Compounds. 2012. V. 510. № 1. P. 1.
- Bainsla L., Raja M.M., Nigam A., Suresh K. // J. Alloys Compounds. 2015. V. 651. P. 631.
- El Amine Monir M., Ullah H., Baltach H., Mouchaal Y. // J. Supercond. Nov. Magn. 2018. V. 31. № 7. P. 2233.
- Hongzhi L., Zhiyong Z., Li M. et al. // J. Phys. D: Appl. Phys. 2007. V. 40. № 22. P. 7121.
- Pavlukhina O., Sokolovskiy V., Buchelnikov V. // Mater. Today: Proc. 2017. V. 4. № 3. Pt.B. P. 4642.
- Pavlukhina O., Sokolovskiy V., Zagrebin M., Buchelnikov V. // J. Magn. Magn. Mater. 2019. V. 470. P. 69.
- Sokolovskiy V., Miroshkina O., Buchelnikov V., Gruner M.E. // Phys. Rev. Mater. 2022. V. 6. №2. P. 025402.
- Neibecker P., Gruner M.E., Xu X. et al. // Phys. Rev. B. 2017. V. 96. № 16. P. 165131.
- Perdew J.P., Burke K., Ernzerhof M. // Phys. Rev. B. 1996. V. 77. № 7. P. 3865.
- Sun J., Ruzsinszky A., Perdew J.P. // Phys. Rev. B. 2015. V. 115. № 3. P. 036402.
- Zhang Y., Sun J., Perdew J.P., Wu X. // Phys. Rev. B. 2017. V. 96. № 3. P. 035143.
- Kresse G., Furthmüller J. // Phys. Rev. B. 1996. V. 54. № 16. P. 11169.
- Kresse G., Joubert D. // Phys. Rev. B. 1999. V. 59. № 3. P. 1758.
- Buchelnikov V., Sokolovskiy V., Miroshkina O. et al. // Adv. Theory Simul. 2021. V.4. № 11. Article No. 2100311.
- Galanakis I., Dederichs P. H. // Phys. Rev. B. 2002. V. 66. № 17. P. 174429.
- Venkateswara Y., Samatham S.S., Patel A.K. et al. // Phys. Rev. B. 2021. V. 104. № 9. P. 094402.
Supplementary files












