Ecotoxicity of Dust from Different Functional Areas of Moscow
- Authors: Kulachkova S.A.1, Astaykina A.A.1, Rozanova M.S.1, Chistova O.A.2
-
Affiliations:
- Lomonosov Moscow State University
- Educational and Experimental Soil and Ecological Center of Lomonosov Moscow State University
- Issue: No 2 (2024)
- Pages: 359-372
- Section: DEGRADATION, REHABILITATION, AND CONSERVATION OF SOILS
- URL: https://journals.rcsi.science/0032-180X/article/view/261918
- DOI: https://doi.org/10.31857/10.31857/S0032180X24020129
- EDN: https://elibrary.ru/XXTTXM
- ID: 261918
Cite item
Full Text
Abstract
There are only few studies in the world on ecotoxicity of urban dust as its ability to cause adverse effects to living organisms. The aim of the research is to assess the ecotoxicity of dust by the reaction of higher plants using a new approach, as well as to analyze the differentiation of microbial reaction on dust from recreational, residential and transport functional areas of three Moscow districts. The proposed approach of the urban dust ecotoxicity assessment by the modeling of dust transfer on urban soils proved its consistency and resolved the main methodological difficulty of biotesting – the issue of control choosing. Applying ryegrass (Lollium perenne L.), it was found that the annual volume of dust deposition on soils in Moscow does not perform toxicity, while a three-year volume suppresses plants up to 27% relative to the control. No significant differences between the phytotoxicity of dust in different functional areas was found, and phytotoxicity did not correlate with any of the studied properties of dust (organic carbon content, pH, electrical conductivity, moisture capacity, particle size distribution). In contrast to plants, the parameters of the vital activity of microorganisms in dust revealed differences between functional areas. Basal respiration and microbial dust biomass were maximal in the recreational areas of the city (3.1–7.2 μg C–CO₂g–1 h–1 and 314–435 μg g–1 respectively), decreasing by 27–71% in residential and 76–81% in the transport ones. Significant correlations of basal respiration and microbial biomass with organic carbon content were observed.
Full Text
ВВЕДЕНИЕ
Термин “городская пыль” (далее пыль) подразумевает совокупность твердых частиц различного размера, от <1 до 100 мкм [67], аккумулирующихся на любой поверхности земли в условиях города [66]. Частным и наиболее изучаемым видом городской пыли является дорожная пыль, аккумулирующаяся на обочинах автодорог.
К основным источникам пыли в городах относят пыление почв и грунтов, автотранспорт, применение противогололедных материалов (ПГМ), выбросы промышленных предприятий, строительство и снос зданий и сооружений, цветение растений [14, 52]. Многообразие источников образования пыли обусловливает сложность ее состава, представленного органическими и минеральными частицами естественного и техногенного происхождения. Многие из веществ, входящих в состав пыли в городах, обладают доказанной токсичностью по отношению к живым организмам [17]. Особая роль в их формировании в крупных городах принадлежит автотранспорту. Коррозия корпусов транспортных средств, истирание автомобильных колодок, выщелачивание ограждений и дорожных знаков, истирание шин и дорожного полотна, неполное сгорание автомобильного топлива и его утечки, использование омывающих жидкостей и применение ПГМ обусловливают присутствие широкого спектра поллютантов в дорожной пыли [40, 58, 62]. Среди доминирующих загрязняющих веществ в составе пыли: тяжелые металлы, нефтепродукты, сажа, полициклические ароматические углеводороды, соли ПГМ [40, 62]. Неудивительно, что городская пыль может выступать интегральным показателем, характеризующим качество городской среды [37]. Способность тонких гранулометрических фракций пыли мигрировать на значительные расстояния из-за ветрового переноса обусловливает повышенные риски для здоровья людей [29]. Наибольшую опасность представляют частицы размером <10 мкм (PM10, где PM – particulate matter – термин, обозначающий смесь твердых частиц и капель жидкости, обнаруженных в воздухе) [61]. В связи с беспрепятственным проникновением в органы дыхательной системы человека эта группа частиц является причиной комплекса заболеваний, в том числе онкологических [44].
В настоящее время в мире отмечается интенсивный рост исследований, посвященных изучению абиотических характеристик пыли и источников ее образования [39, 41]. Среди наиболее актуальных тематик – оценка содержания и распределения потенциально опасных компонентов городской пыли, из которых особое внимание уделяется тяжелым металлам [27, 33, 38, 39, 68]. Разнообразные свойства пыли Москвы изучены сотрудниками МГУ им. М.В. Ломоносова. Физические, физико-химические и химические свойства, в том числе содержание загрязняющих веществ в городской пыли, подробно охарактеризованы на географическом факультете МГУ [6, 13, 43, 64]. Особое внимание уделено исследованиям содержания тяжелых металлов и металлоидов в различных фракциях пыли [6, 42, 65]. Исследования микростроения, особенностей влияния пыли на формирование городских почв, микробиологического состава активно ведутся на факультете почвоведения МГУ [14, 21, 22, 35, 45]. В последние три года появились исследования пылевого загрязнения таких городов России, как Тюмень [46], Сургут [51], Челябинск [47], Севастополь [4], а также публикации, в которых проводится сравнение некоторых особенностей пылевого загрязнения среди группы городов России (Уфа, Пермь, Тюмень, Челябинск Нижний Тагил, Магнитогорск, Нижний Новгород, Ростов-на-Дону, Мурманск, Екатеринбург) [59].
Однако экотоксичность пыли, как способность вызывать неблагоприятные эффекты в отношении функционирования биологических компонентов экосистем, является почти не изученным вопросом. Особенно перспективными для оценки опасности пыли по отношению к живым организмам окружающей среды выглядят методы биотестирования. Суть биотестирования заключается в оценке токсичности исследуемых объектов окружающей среды на основе реакций лабораторных тест-организмов по определенным, поддающимся учету характеристикам. Ключевое преимущество методов биотестирования заключается в их способности дать интегральную оценку тестируемого объекта [26, 56], учитывая воздействие всех потенциально опасных веществ в конкретных условиях.
Для расчета абсолютных значений экотоксичности тест-параметры исследуемых объектов сравнивают с тест-параметрами контроля, в качестве которого служат незагрязненные объекты.
Анализ международной литературы показал, что исследований пыли методами биотестирования проводилось крайне мало (найдено только 13 статей), и в основном в работах использовали водных организмов. В настоящее время не существует общепринятых стандартов биотестирования пыли в отличие от почв. Во многом это связано с методическими трудностями, ключевой среди которых является вопрос выбора контроля – эталонной пыли, относительно которой сравниваются результаты подавления изучаемых параметров живых организмов [17]. При использовании водных организмов эталоном служит чистая вода – элюатный метод, а тестирование пыли осуществляется на водных вытяжках. Однако при тестировании наземных экосистем, в частности почв, показано, что для всесторонней оценки тестируемых объектов более подходящими являются апликатные методы (контактные), предполагающие проведение тестирования непосредственно на твердом субстрате в связи со слабым переходом многих токсикантов в водные вытяжки [23]. При этом контролем является эталонная почва – почва, не содержащая загрязняющих веществ. Учитывая поликомпонентность пыли и большое разнообразие присутствующих в ней веществ с различным потенциалом перехода в водные экстракты, для корректной оценки экотоксичности стоит рекомендовать апликатные способы биотестирования.
Среди различных организмов, применяемых для биотестирования почв, одними из наиболее чувствительных являются высшие растения [18, 49]. Собственные исследования по экотоксикологической оценке почв придорожных территорий показали, что среди контактных биотестов именно высшие растения демонстрировали наибольшую чувствительность к транспортному загрязнению [53].
В настоящем исследовании предложен новый подход к фитотестированию пыли путем моделирования ее поступления на поверхность модельного субстрата и проведена его апробация. В качестве исследуемого объекта использовали почвоподобный субстрат, на поверхность которого внесена пыль, а в качестве контроля – этот же субстрат без пыли.
Известно, что микроорганизмы являются неотъемлемым компонентом экосистем, выполняющим широкий спектр биосферных функций. Обладая высокими адаптивными способностями, они встречаются практически повсеместно и способны развиваться в самых разнообразных средах: почвенных, водных, воздушных [36]. Вызывает большой интерес изучение параметров жизнедеятельности микроорганизмов пыли (биомассы и дыхания) и сравнение этих параметров между различными функциональными зонами города с разной антропогенной нагрузкой в некоторых районах Москвы.
Цель работы – оценка экотоксичности пыли по реакции высших растений путем апробации нового подхода к реализации метода фитотестирования, а также анализ дифференциации пыли разных функциональных зон по биомассе и дыханию микроорганизмов в трех районах Москвы.
ОБЪЕКТЫ И МЕТОДЫ
Объекты исследования и схема отбора проб. Объектом исследования служила городская пыль, отобранная в августе 2021 г. на трех ключевых участках площадью ~0.5 км² в Северо-Западном и Западном округах Москвы (рис. 1). Первый участок располагался на территории района Хорошево-Мневники и Щукинского парка (СЗАО) (далее по тексту – участок Хорошево-Мневники), второй – в районе Филевский парк (ЗАО), третий – в районе Раменки (ЗАО). Количество точек опробования – 15, 17 и 18 соответственно в каждом из перечисленных районов. Отбор проб пыли осуществляли в трех функциональных зонах: в селитебной – на проезжих частях дворов многоэтажных домов, в транспортной – на автодорогах и в рекреационной – на пешеходных дорожках парков. Селитебные зоны всех районов представлены дворами с многоэтажными домами. Транспортные зоны характеризуются 2- и 4-полосными дорогами в районах Филевский парк и Хорошево-Мневники, а также 2- и 6-полосными – в Раменках. Рекреационная зона участка Хорошево-Мневники представлена сквером, а Филевского парка и Раменок – парком. В каждой зоне точки сбора пыли размещали случайным образом через 50–100 м друг от друга.
Рис. 1. Расположение участков отбора проб пыли в трех районах г. Москвы: Х – Хорошево-Мневники, Ф – Филевский парк, Р – Раменки, 1 – границы административных районов, 2 – рекреационная зона, 3 – селитебная зона, 4 – транспортная зона.
Участки Хорошево-Мневники и Филевcкий парк расположены на второй надпойменной террасе р. Москвы, сложенной аллювиальными разнозернистыми песками, супесями и суглинками, залегающими на донской морене, или перекрывающими ее аллювиально-флювиогляциальными отложениями. Участок Раменки находится на Теплостанской возвышенности, четвертичные отложения представлены валунными суглинками московской морены [16]. В почвенном покрове селитебных зон и участков, прилегающих к транспортным зонам, доминируют урбостратоземы и техноземы, созданные при благоустройстве территорий c нанесением поверхностного слоя согласно [20], в рекреационных зонах могут встречаться природные урбостратифицированные почвы: в Хорошево-Мневниках – ржавоземы, в Филевском парке – дерново-подзолистые и дерново-элювоземы типичные и оглеенные, в Раменках – дерново-подзолистые [57].
В рассматриваемых районах основными источниками загрязнения окружающей среды являются автодорожный и железнодорожный транспорт, теплоэлектростанции и котельные, могут оказывать влияние предприятия промышленных зон “Очаково”, “Западный порт”, “Филевский парк”, “Октябрьское поле” и строительные работы при частичном перепрофилировании или переназначении невостребованных объектов. Интенсивность движения на исследованных 2–4-полосных автодорогах в середине буднего дня составляла 400–650 транспортных средств в час, на 6-полосной превышала эту величину в 3 раза.
Пробы пыли отбирали при стабильной температуре воздуха (20–25°C) и отсутствии осадков не менее чем 2 дня до момента сбора пыли. Отбор проводили с помощью пластиковой щетки и совка с поверхностей, покрытых асфальтом, в парках поверхности были также деревянными или покрытыми плиткой. Точки отбора представляли собой прямоугольные участки одинаковой площади по 2.5 м² (5 × 0.5 м) вдоль бордюра. Сбор проб с каждого участка проводили единообразно до полного удаления видимой пыли.
Количественное распределение пыли в функциональных зонах города было неравномерным. Средний вес пыли, собираемой с площадки 2.5 м², составил 200 г в селитебной зоне, 100 г – в транспортной, 50 г – в рекреационной. Каждый полученный образец делили на две части и собирали на месте в отдельные пластиковые контейнеры: в стерильные контейнеры объемом 25 мл с последующим замораживанием в лаборатории (–14°С) и нестерильные контейнеры объемом 200 мл с последующим хранением в воздушно-сухом состоянии. Пробы замораживали для последующего анализа дыхания пыли, а воздушно-сухие пробы предназначались для реализации фитотестирования и исследования физических, химических и физико-химических свойств пыли.
Методы исследования. Методы исследования физических, химических и физико-химических свойств. Бихроматную окисляемость пыли определяли методом Тюрина в модификации Никитина с титриметрическим окончанием [19]. Значения, полученные при использовании данного метода, условно отражают содержание органического углерода (Cорг) в пыли, однако нельзя исключать частичного окисления других ее компонентов.
Определение рН пылевой суспензии (рНвод) проводили при соотношении пыль : вода 1 : 2.5 с помощью pH-метра HI 8314 (Hanna Instruments, Германия) с комбинированным электродом HI 1230 [9].
Электропроводность пылевой суспензии (EC) измеряли при соотношении пыль : вода 1 : 5 кондуктометром DiST 4 WP (Hanna Instruments, Германия) [8]. Полную влагоемкость (ПВ) пыли, а также почвогрунта для реализации фитотестирования определяли методом трубок [5].
Содержание PM10 в пыли диагностировали методом лазерной дифрактометрии на приборе Analysette 22 MicroTec (Fritsch, Германия). Перед инструментальным анализом воздушно-сухую пыль просеивали через сито с диаметром отверстий 2 мм для удаления крупных компонентов и обрабатывали пирофосфатом натрия для диспергирования агрегированных частиц.
Методы фитотестирования. Фитотестирование осуществляли лабораторным методом в соответствии с международными принципами OECD [55] и US EPA [54], рекомендованными для почв и других сред. Из списка культур, рекомендованных для целей фитотестирования, был выбран райграс пастбищный (Lolium perenne L.) по причине широкой распространенности данной культуры в составе газонов города Москвы [24]. Райграс – одна из основных культур, высеваемых в Москве, так как она характеризуется неприхотливостью и устойчивостью к повышенным температурам и заморозкам. Различными исследованиями показана чувствительность этой культуры к токсикантам разных классов [48, 60].
Новизной способа фитотестирования пыли является модификация тест-системы, представляющей в данном случае не пыль саму по себе, а пыль, нанесенную на поверхность почвогрунта, что аналогично поступлению пыли в реальных условиях на почвенный покров города. В качестве среды, загрязняемой пылью, выбран покупной почвогрунт “3D Универсальный” фирмы “Гера” (Россия), представленный смесью верхового и низинного торфа с добавлением речного песка и комплекса удобрений (N250 мг/л, P2O5 275 мг/л, K2О 275 мг/л, pH 5.5–7.0). В реализованном подходе (рис. 2) контролем выступал почвогрунт без внесения пыли.
Рис. 2. Схема реализации фитотестирования городской пыли: (а) – испытуемая проба (слои снизу вверх: почвогрунт, пыль, семена), (b) – контрольная проба (почвогрунт, семена).
Для оценки фитотоксичности пыли выбран комплекс контролируемых параметров роста и развития растений: длина корня проростка, длина стебля проростка (надземная часть растения) и всхожесть семян. Наиболее чувствительным параметром в фитотестировании почв, как правило, является длина корня [15]. Так как городская пыль – новый объект изучения и аналогичных исследований пока нет, в методическом плане было важно понять отклик каждого тест-параметра.
Фитотестирование проводили в трех повторностях. В стерильные чашки Петри диаметром 5 см помещали 4 г воздушно-сухого почвогрунта. Далее на его поверхности равномерно размещали пыль в количестве 3.9 г, что примерно соответствовало высокому уровню поступления пыли на поверхность почв придорожных территорий в Москве в пределах метровой зоны от дорожного полотна, где пылевые выпадения максимальны. Эта величина получена путем пересчета среднесуточного поступления пыли на 1 м² поверхности почв и грунтов вблизи дорожного полотна в Москве (в пределах метровой зоны) (1.77 г/м² согласно [2]) на площадь поверхности чашки Петри. На поверхность субстрата в чашке Петри равномерно по каплям вносили дистиллированную воду в количестве, соответствующем 60% от его ПВ аналогично методике тестирования почв [12]. При расчете учитывали, что влагоемкость почвогрунта и пыли разные, поэтому итоговое количество воды для добавления в чашки Петри определяли как сумму количества воды, необходимой для достижения 0.6ПВпыли и 0.6ПВпочвогрунта. На поверхности увлажненного субстрата в чашках Петри размещали по 10 семян райграса. Чашки с семенами накрывали крышками, укладывали в герметичные пластиковые пакеты для предотвращения испарения влаги и инкубировали при комнатной температуре в течение 7 сут. По истечении срока экспозиции в каждой чашке оценивали всхожесть семян. Затем ростки растений отмывали от почвы, размещали на бумажных салфетках, где с помощью линейки измеряли длину главного корня и надземной части, учитывали всхожесть. Токсичность пыли оценивали по степени изменения параметров роста и развития растений (длина корня, длина стебля, всхожесть) в испытуемых пробах относительно контрольных по формуле:
,
где Т – токсичность пыли, A – среднее значение параметра в контрольной пробе, B – среднее значение параметра в испытуемой пробе.
Интересно, что предварительные исследования, проведенные на части образцов с внесением годового объема пыли (по 1.3 г на чашку Петри), не выявили токсичности пыли, а при увеличении массы пыли до уровня трехлетнего периода ее поступления на поверхность придорожных территорий токсичность проявлялась. Поэтому финальное фитотестирование, описанное выше, проводили при внесении массы пыли, поступающей на поверхность почвы за 3 года (3.9 г на чашку Петри).
Исследования проводили в 3 этапа с учетом трудоемкости эксперимента. Каждый этап предполагал анализ экотоксичности пыли одного района. С учетом трех повторностей эксперимента общее число семян для исследования 1 пробы пыли составило 30 шт. В ходе тестирования всего объема проб были проанализированы параметры роста 1710 растений.
Методы исследования дыхания и биомассы микроорганизмов. Реакцию микроорганизмов оценивали путем анализа интенсивности базального дыхания, а также определения микробной биомассы методом субстрат-индуцированного дыхания [1].
После отбора образцы пыли хранили в замороженном виде (при –14°C) и перед анализом готовили в соответствии с ISO 18400-206-2018: сначала выдерживали неделю в холодильнике (при +4°C), затем навески воздушно-сухой пыли массой 2 г помещали в пенициллиновые флаконы объемом 15 мл, увлажняли до 60% от ПВ и инкубировали в течение 3 сут при комнатной температуре (22–23°C). Базальное дыхание определяли за 24 ч инкубации, выражали в мкг C–CO₂/(г ч). Субстрат-индуцированное дыхание определяли через 2–3 ч инкубации после добавления раствора глюкозы с концентрацией 10 мг/г пыли. Анализ проб воздуха проводили на газовом хроматографе модели Кристаллюкс 4000 М, время отбора начальных и конечных проб строго фиксировали. Углерод микробной биомассы (Cмик) рассчитывали по формуле:
[28].
Все измерения проведены в трехкратной повторности. Оценивали микробный метаболический коэффициент qCO₂, отражающий удельное дыхание микробной биомассы, представляющий собой отношение скорости базального дыхания к микробной биомассе (мкг C–CO₂/(мг Смик ч)).
Обработка данных. Статистическую обработку результатов исследований проводили в программах Microsoft Excel 11 и Statistica 12. Для нормально распределенных данных (устанавливали по критерию Уилка–Шапиро) определяли значимость отличий с помощью t-критерия Стьюдента и рассчитывали коэффициенты корреляций Пирсона. Для отличных от нормальных данных применяли непараметрические методы (тест Манна–Уитни и коэффициент корреляции Спирмена rS).
РЕЗУЛЬТАТЫ И ОБСУЖДЕНИЕ
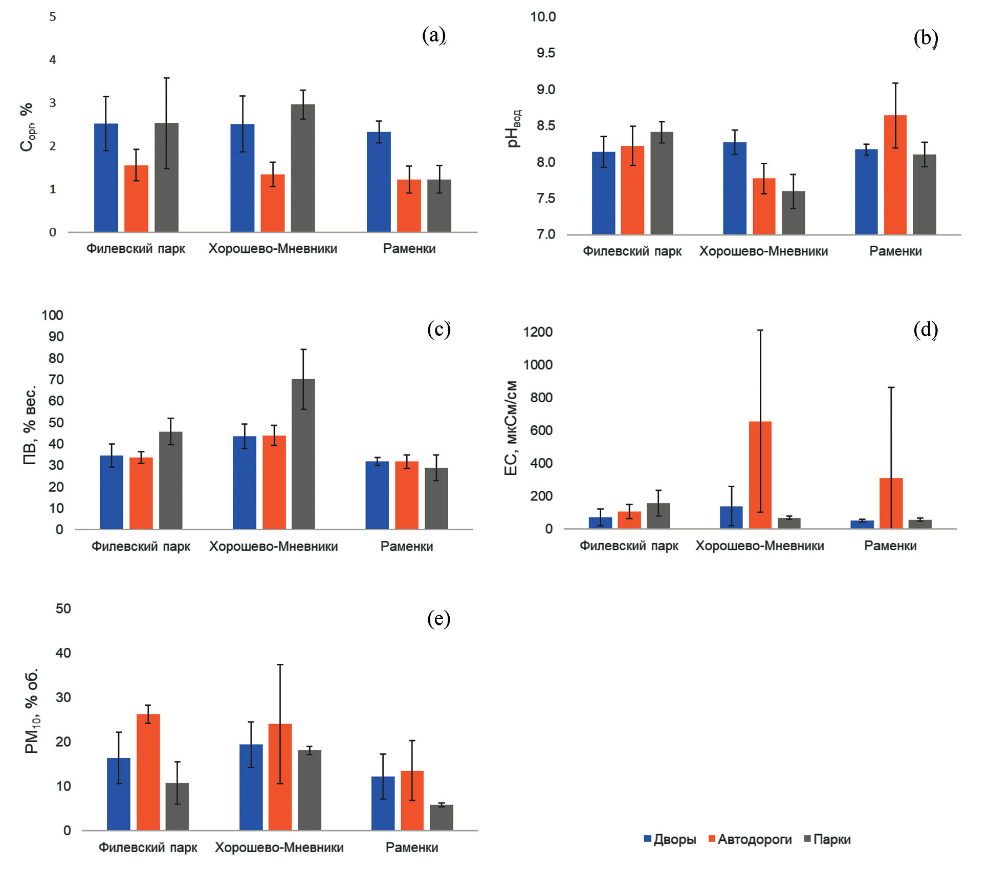
Физические, химические и физико-химические свойства пыли. Изучение базовых свойств пыли (рис. 3) было важно для понимания их отличий от почв и дальнейшего ответа на вопрос о возможных причинах экотоксичности пыли. Сравнивая изученные свойства городской пыли со свойствами почв [10], можно отметить следующие особенности: пыль характеризуется меньшими значениями содержания Сорг и большей щелочностью по сравнению с почвами, в то время как значения их влагоемкости похожи. Увеличение значений рH городской пыли по сравнению с почвами можно связать с ПГМ, стеклоомывающими жидкостями и выщелачиванием бетонных материалов дорожной инфраструктуры (бордюров и др.). Твердые поверхности дорожного полотна и пешеходных зон, являющиеся локациями накопления пыли, препятствуют вымыванию этих компонентов в отличие от почв, имеющих свободный дренаж.
Рис. 3. Физические, химические и физико-химические свойства пыли: содержание органического углерода (а), рН (b), полная влагоемкость (c), удельная электропроводность (d), содержание частиц PM10 (e).
Анализируя различия в свойствах пыли между функциональными зонами Москвы, можно отметить ряд закономерностей.
Наблюдается четкая единообразная дифференциация содержания Cорг в пыли между селитебными (2.4 ± 0.5%) и транспортными зонами (1.4 ± 0.3%) в каждом исследованном районе города (уровень статистической значимости p < 0.05). Рекреационные зоны города по данному параметру можно охарактеризовать как вариабельные (Сорг составляет от 1.2 ± 0.3 до 3.0 ± 0.3%).
Значения рH варьируют в диапазоне 7.6–8.6. Стоит отметить постоянство рН пыли в селитебных зонах изученных районов (от 8.1 ± 0.2 до 8.3 ± 0.2), а в транспортных и рекреационных зонах значения варьируют сильнее. Интересно, что значения pH статистически достоверно (p < 0.05) отличаются между районом Хорошево-Мневники и двумя другими районами. Учитывая постоянство рН в селитебных зонах всех изученных районов, можно предположить, что снижение рН в транспортных и рекреационных зонах района Хорошево-Мневники связано с локальными особенностями, возможно, с меньшими нагрузками ПГМ.
Влагоемкость пыли селитебных и транспортных зон характеризуется близкими значениями и варьирует в диапазоне 30–40%. В рекреационных зонах двух из трех изученных районов отмечаются более высокие показатели – 46 ± 6 и 70 ± 14%. Рекреационные зоны статистически значимо отличаются от других (p < 0.1).
Максимум значений EC в селитебных и рекреационных зонах составил 138 мкСм/см. В пыли транспортных зон двух из трех районов наблюдаются бóльшие значения – до 650 мкСм/см.
Отмечаются близкие значения содержания частиц PM10 в пыли селитебных и транспортных зон. Значимые отличия (p < 0.01) между ними установлены только в одном из трех районов города (Филевский парк). Для парковых рекреационных зон характерно в 2 раза меньшее содержание частиц PM10 по сравнению с транспортными и селитебными зонами (p < 0.05). Исключением стала рекреационная зона района Хорошево-Мневники, представленная сквером. По содержанию PM10 она не отличалась от транспортных и селитебных зон. Вероятно, сквер, окруженный дорогами, испытывает более высокую среднюю пылевую нагрузку на единицу площади, чем большие по размеру парки.
Обобщая полученные результаты, можно отметить 2 отличия между функциональными зонами всех изученных районов:
Полученные данные находятся в соответствии с результатами других исследований московской пыли [64]. Сравнивая результаты со свойствами пыли других городов России (Тюмень, Сургут, Челябинск, Алушта, Ялта, Севастополь), можно отметь сходство по таким параметрам, как рH и EC, а отличиями является большее содержание Сорг в пыли Москвы. По содержанию PM10 в дорожной пыли города, для которых были найдены данные, можно ранжировать так Cевастополь > Алушта, Москва, Тюмень > Cургут.
Оценка экотоксичности пыли по фитотестированию. Результаты фитотестирования с использованием райграса пастбищного (рис. 4) показали, что экотоксичность, установленная по снижению параметров роста и развития растений относительно контроля, варьировала от 2 до 27%. Самым чувствительным параметром, показавшим наибольшие значения токсичности, оказалась длина корня, близкие значения получены по параметру длина стебля и наименьшие значения продемонстрировал параметр всхожесть. В методическом плане важно отметить, что анализ параметра всхожесть является самым простым и быстрым с точки зрения получения результатов, однако использование его как единственного – недостаточно, так как он дает заниженные результаты экотоксичности. В настоящей работе использовали значения параметра длина корня как основные.
Рис. 4. Оценка экотоксичности пыли методом фитотестирования по параметрам: длина корня (a), длина стебля (b) и всхожесть семян (c).
По параметру длина корня уcтановлено, что значения экотоксичности статистически значимо не отличаются между функциональными зонами. Даже на пробы пыли, собранные в рекреационных зонах, растения реагировали аналогично селитебным и транспортным, что было неожиданным. Однако между двумя районами города из трех были установлены статистически достоверные отличия экотоксичности (p < 0.01). Это наблюдение кажется интересным для дальнейшего анализа фитотоксичности пыли в разных районах Москвы, смещая фокус с функциональных зон на районы в целом. По параметру длина корня наиболее высокие значения отмечены в районе Хорошево-Мневники (в селитебных и рекреационных зонах), в то время как районы Филевский парк и Раменки были похожи между собой, демонстрируя в 1.5–2 раза меньшие значения. Обращаясь к свойствам пыли в районе Хорошево-Мневники для понимания отличий от других районов (рис. 3), можно отметить наименьшие значения рН в селитебных и рекреационных зонах по сравнению с районами Филевский парк и Раменки, наибольшие значения ЕС в некоторых точках транспортных зон и наибольшее содержание PM10 в рекреационных зонах. Известно, что чем меньше рН, тем больше биодоступность тяжелых металлов [32]. Высокие значения ЕС говорят о присутствии легкорастворимых солей, что может негативно сказаться на растениях путем изменения особенностей минерального питания [34]. Известно, что чем больше содержание РМ10, тем потенциально бóльшая концентрация поллютантов может присутствовать в пыли [31]. Для территории Москвы установлено, что во фракции PM10 дорожной пыли города в среднем содержится в 1.2–6.4 раза больше тяжелых металлов и металлоидов, чем в нефракционированной пыли в целом [64].
Так как достоверных корреляций экотоксичности пыли с изученными свойствами не обнаружено (табл. 1), можно предположить, что повышение экотоксичности пыли в районе Хорошево-Мневники может быть связано с более высоким содержанием в ней загрязняющих веществ.
Таблица 1. Коэффициенты корреляции фитотоксичности пыли с ее свойствами
Токсичность по параметру | Сорг | pH | EC | ПВ | PM10 |
Длина корня | –0.08 | –0.10 | 0.36 | 0.36 | 0.30 |
Длина стебля | –0.31 | 0.47 | 0.39 | –0.50 | 0.05 |
Всхожесть семян | –0.01 | –0.40 | –0.18 | 0.26 | 0.15 |
Примечание. Корреляции получены по всему массиву образцов пыли в количестве 54 шт.
Сорг – содержание органического углерода в пыли, pH – кислотность пыли, EC (electrical conductivity) – удельная электропроводность пыли, ПВ – полная влагоемкость пыли, PM10 – содержание частиц размером <10 мкм в общем объеме частиц пыли.
Интересно отметить, что фитотоксичность поверхностного слоя городских почвогрунтов трехлетнего возраста в транспортных зонах г. Москвы составляет 20–45% [53]. Эти значения получены в зоне интенсивного пылевого загрязнения на расстоянии 1–6 м от дорожного полотна. В настоящей работе максимальные значения экотоксичности пыли достигали 27%. Таким образом, вклад пыли в фитотоксичность почв может быть значительным.
Из вышесказанного следует, что пыль – опасный компонент городской экосистемы. Значения экотоксичности, отражающие ситуацию трехгодичного поступления пыли на почвенный покров в зонах максимальной нагрузки (в непосредственной близости от дорожного полотна), говорят о ее негативном воздействии на растительные организмы. В практическом плане можно сказать, что минимизация образования и своевременная уборка пыли являются целесообразными мерами, направленными на улучшение экологической ситуации в городе. Кроме того, полученные данные о фитотоксичности пыли могут использоваться при разработке сроков замены почвогрунтов на придорожных территориях для эффективного развития газонов.
Базальное дыхание и биомасса микроорганизмов. Базальное дыхание коррелировало с содержанием микробного углерода и поэтому закономерности их распределения были одинаковые (rS = 0.81, p < 0.05). Установлены значимые корреляции базального дыхания и микробной биомассы с содержанием углерода органического вещества (rS = 0.57 и 0.61 соответственно, p < 0.05, n = 50). Наибольшей интенсивностью базального дыхания и содержания микробной биомассы при условии сопоставимого количества органического вещества характеризовалась пыль парковых территорий. Средние значения составили 3.1–7.2 мкг C–CO₂/(г ч) и 314–435 мкг/г соответственно (рис. 5).
Рис. 5. Оценка параметров микробиологического состояния пыли: базальное дыхание (a), углерод микробной биомассы (b), метаболический коэффициент qCO₂ (c), доля микробного углерода в общем органическом углероде (d).
Доля снижения интенсивности базального дыхания пыли селитебной зоны по сравнению с парком варьировала от 27% в районе Хорошево-Мневники до 71% в районе Филевский парк, в транспортной зоне – 76 и 81% соответственно. Низкое базальное дыхание и микробная биомасса в пыли с автодорог обусловлены засолением, установленном по повышенной электропроводности водных вытяжек из пыли, наибольшим содержанием частиц РМ10 и наименьшим содержанием Сорг по сравнению с другими функциональными зонами. Достоверных отличий показателей биологической активности транспортных зон между районами не выявлено. В районе Раменки, где пыль парка характеризовалась меньшим содержанием Сорг, чем пыль в селитебной зоне, снижения базального дыхания в селитебной зоне по сравнению с парком не отмечено. В транспортной зоне снижение базального дыхания относительно парка составило 52%. Содержание углерода микробной биомассы снижалось в пыли селитебной зоны районов Хорошево-Мневники и Филевский парк на 35 и 51%, в пыли транспортной зоны – на 69–71%. В районе Раменки отмечено такое же снижение микробной биомассы в транспортной зоне по сравнению с парком – на 73%.
Исследований микробного дыхания пыли найти не удалось, поэтому обратимся к значениям дыхания городских почв. По литературным данным они могут варьировать от 0.64 ± 0.45 в Москве [63] до 0.22–2.04 в селитебной и 0.13–1.58 мкг C–CO₂/(г ч) в промышленных зонах городов Московской области [11]. В данном исследовании величины базального дыхания пыли из транспортных зон и частично из селитебных зон (Филевский парк) укладываются в эти диапазоны, а в пыли из парков базальное дыхание было выше. Содержание Смик в городских почвах Московской области по литературным данным варьировало в пределах 300–700 мкг/г в селитебной зоне и 150–300 мкг/г в промышленной зоне [11]. Полученное значение содержания Смик в пыли из транспортных зон было немного ниже известных значений для почв, в пыли из селитебной и парковой зоны – сопоставим с ними.
Удельное микробное дыхание (qCO₂) в образцах пыли оказалось очень высоким, в среднем варьировало от 8.4 до 18.2 мкг C–CO₂/(мг Смик ч). При близком содержании микробной биомассы в пыли дорог самый высокий qCO₂ наблюдался в районе Раменки, что характеризует наиболее стрессовые условия функционирования микроорганизмов здесь. Во дворах Раменок, напротив, отмечалось самое сбалансированное дыхание микробиоты среди всех районов.
Удельное дыхание микроорганизмов пыли, установленное на всех участках, существенно превышало таковое в городских почвах. Это указывает на неблагоприятные условия для функционирования микробиоты в пыли. В исследовании [11] показано, что qCO₂ значимо не различался для селитебной, рекреационной и промышленной зон города и варьировал в пределах 0.74–6.26 мкг C–CO₂/(мг Смик ч), но был больше в промышленных зонах на 30–90%. Значения qCO₂ пыли выше в 3–10 раз, а большие величины могут быть и в пыли у автодорог, и в парках, что свидетельствует о напряженных условиях функционирования микроорганизмов в пыли любых частей города.
Отношение Смик/Сорг служит индикатором доступности углерода, в случае с почвами – высокие величины этого показателя выступают индикаторами здоровья почв. Во всех исследованных районах Смик/Сорг было выше в парковых зонах и варьировало по средним значениям в пределах 1.1–2.55. В районах Филевский парк и Хорошево-Мневники доля микробного углерода в общем органическом была близка в селитебной и транспортной зонах и составляла около 0.9%, тогда как в Раменках минимальное содержание микробного углерода в пыли крупных автодорог диагностировало наихудшие для микроорганизмов условия. Доля микробного углерода в общем органическом углероде пыли была сопоставима с показателями для городских почв Московского региона, и ее снижение в наиболее загрязненной транспортной зоне также подтвердило имеющиеся данные о наименьшем Смик/Сорг для промышленных зон города по сравнению с селитебными и рекреационными [11].
ЗАКЛЮЧЕНИЕ
- Апробация способа оценки экотоксичности городской пыли моделированием поступления пылевых отложений на городские почвогрунты показала его состоятельность. Данный способ может быть перспективным для реализации фитотестирования пыли, так как решает вопрос выбора контроля. Кроме того, можно использовать аналогичную модель для реализации биотестирования пыли и на других тест-организмах окружающей среды, контактирующих с пылью.
- На примере райграса пастбищного (Lollium perenne L.), являющегося одной из самых распространенных культур в составе газонов Москвы, установлено, что годовой объем пылевых выпадений на почвогрунты в зонах максимальной нагрузки (в пределах 1 м от дорожного полотна) не проявляет токсичности, в то время как трехлетний – подавляет растения до 27% относительно контроля.
- Достоверных различий между фитотоксичностью пыли различных функциональных зон не установлено. Она не коррелировала ни с одним из изученных свойств пыли (содержанием органического углерода, рН, электропроводностью, влагоемкостью, гранулометрическим составом).
- В отличие от растений параметры жизнедеятельности микроорганизмов выявляли различия между функциональными зонами. Базальное дыхание и микробная биомасса пыли были максимальны в рекреационных зонах города (3.1–7.2 мкг C–CO₂/(г ч) и 314–435 мкг/г соответственно), снижаясь на 27–71% в селитебных и на 76–81% в транспортных зонах города. Установлены значимые корреляции базального дыхания и микробной биомассы с содержанием углерода органического вещества (rS = 0.57 и 0.61 соответственно, p < 0.05, n = 50).
- Повышенные показатели микробного метаболического коэффициента qCO₂ пыли по сравнению с городскими почвами и невысокая доля микробного углерода в общем органическом углероде свидетельствуют об ухудшении условий для микроорганизмов в пыли по сравнению с почвами.
- Пыль – особый компонент городской экосистемы, дифференцированный по состоянию микробиоты и оказывающий токсическое воздействие на растительные организмы. Представляется целесообразным и своевременным усиление внимания к биотестированию и биоиндикации пыли, изучению ее свойств и содержания загрязняющих веществ для понимания причин экотоксичности.
БЛАГОДАРНОСТЬ
Авторы выражают благодарность А.И. Николаевой, И.В. Николаеву, В.В. Прониной за помощь и содействие в проведении отбора проб городской пыли, а также С.С. Лисовицкой за графический дизайн рис. 2.
ФИНАНСИРОВАНИЕ РАБОТЫ
Исследование выполнено за счет гранта Российского научного фонда № 22-24-00211, https://rscf.ru/project/22-24-00211/.
КОНФЛИКТ ИНТЕРЕСОВ
Авторы заявляют об отсутствии у них конфликта интересов.
About the authors
S. A. Kulachkova
Lomonosov Moscow State University
Author for correspondence.
Email: nikolaevalisovitskaya@gmail.com
Russian Federation, Moscow, 119991
A. A. Astaykina
Lomonosov Moscow State University
Email: nikolaevalisovitskaya@gmail.com
Russian Federation, Moscow, 119991
M. S. Rozanova
Lomonosov Moscow State University
Email: nikolaevalisovitskaya@gmail.com
Russian Federation, Moscow, 119991
O. A. Chistova
Educational and Experimental Soil and Ecological Center of Lomonosov Moscow State University
Email: nikolaevalisovitskaya@gmail.com
Russian Federation, Chashnikovo, 141592
References
- Ананьева Н.Д., Сусьян Е.А., Рыжова И.М., Бочарникова Е.О., Стольникова Е.В. Углерод микробной биомассы и микробное продуцирование двуокиси углерода дерново-подзолистыми почвами постагрогенных биогеоценозов и коренных ельников южной тайги (Костромкая область) // Почвоведение. 2009. № 9. С. 1108–1116.
- Ачкасов А.И., Башаркевич И.Л., Варава К.В., Самаев С.Б. Загрязнение снегового покрова под влиянием противогололедных реагентов // Разведка и охрана недр. 2006. № 9–10. С. 132–137.
- Безбердая Л.А. Тяжелые металлы в дорожной пыли города Алушты // Экологические проблемы промышленных городов: сборник научных трудов по материалам 8-й Международной научно-практической конференции, Саратов, 20–22 апреля 2017 г. Саратов: Саратовский гос. техн. ун-т им. Ю.А. Гагарина, 2017. С. 119–123.
- Безбердая Л.А., Касимов Н.С., Черницова О.В., Лычагин М.Ю., Ткаченко А.Н. Тяжелые металлы и металлоиды в почвах, дорожной пыли и их фракции РМ10 в Севастополе: уровни, источники и опасность загрязнения // Почвоведение. 2022. № 12. С. 1571–1591.
- Вадюнина А.Ф., Корчагина З.А. Методы исследования физических свойств почв. М., 1986. 242 с.
- Власов Д.В., Касимов Н.С., Кошелева Н.Е. Геохимия дорожной пыли (Восточный округ Москвы) // Вестник Моск. ун-та. Сер. 5, география. 2014. № 3. С. 23–33.
- Власов Д.В., Кукушкина О.В., Кошелева Н.Е., Касимов Н.С. Уровни и факторы накопления металлов и металлоидов в придорожных почвах, дорожной пыли и их фракции РМ10 в Западном округе Москвы // Почвоведение. 2022. № 5. С. 538–555.
- Воробьева Л.А. Теория и практика химического анализа почв. М.: ГЕОС, 2006, 400 с.
- Воробьева Л.А., Глебова Г.И., Горшкова Е.И. Физико-химические методы исследования почв. М., 1980.
- Доклад “О состоянии окружающей среды в городе Москве в 2021 году” / Под ред. Кульбачевского А.О. М., 2022 234 с. https://www.mos.ru/eco/documents/doklady/view/ 271573220/
- Иващенко К.В., Ананьева Н.Д., Васенев В.И., Кудеяров В.Н., Валентини Р. Биомасса и дыхательная активность почвенных микроорганизмов в антропогенно-измененных экосистемах // Почвоведение. 2014. № 9. С. 1077–1088.
- Капелькина Л.П., Бардина Т.В., Бакина Л.Г. Методика выполнения измерений всхожести семян и длины корней проростков высших растений для определения токсичности техногенно загрязненных почв. М-П-2006. ФР.1.39.2006.02264. СПб., 2009.
- Кошелева Н.Е. и др. Физико-химические свойства дорожной пыли Москвы // Снежный покров, атмосферные осадки, аэрозоли: технология, климат и экология. 2018. С. 86–91.
- Ладонин Д.В., Пляскина О.В. Изотопный состав свинца в почвах и уличной пыли Юго-восточного административного округа г. Москва // Почвоведение. 2009. № 1. С. 106–118.
- Лисовицкая О.В., Терехова В.А. Фитотестирование: основные подходы, проблемы лабораторного метода и современные решения // Доклады по экологическому почвоведению. 2010. № 1. Вып. 13. C. 1–18.
- Макарова Н.В., Григорьева С.В. Геоморфологическое районирование территории Москвы в новых границах // Геоморфология. 2018. № 4. С. 56–68
- Николаева О.В., Кулачкова С.А., Астайкина А.А., Федосеева Е.В., Терехова В.А. Экотоксичность городской пыли: существующие практики и перспективы применения биотестирования. // Вестник Моск. ун-та. Сер. 17, почвоведение. 2022. № 3. С. 3–19.
- Николаева О.В., Терехова В.А. Совершенствование лабораторного фитотестирования для экотоксикологической оценки почв // Почвоведение. 2017. № 9. С. 1141–1152.
- Орлов Д.С., Гришина Л.А. Практикум по химии гумуса. М., 1981.
- Постановление Правительства Москвы от 27 июля 2004 г. N514-ПП “О повышении качества почвогрунтов в городе Москве”. https://docs.cntd.ru/document/3654347
- Прокофьева Т.В., Шишков В.А., Кирюшин А.В., Калушин И.Ю. Свойства твердых (пылеаэрозольных) атмосферных выпадений придорожных территорий г. Москвы // Известия РАН. Сер. Географическая. 2015. № 3. С. 107–120.
- Прокофьева Т.В., Шоба С.А., Лысак Л.В. и др. Органические компоненты и биота в составе городского атмосферного пылеаэрозоля: потенциальное влияние на городские почвы // Почвоведение. 2021. № 10. С. 1247–1261.
- Пукальчик М.А., Терехова В.А., Карпухин М.М., Вавилова В.М. Сравнение элюатных и контактных методов биотестирования при оценке почв, загрязненных тяжелыми метал лоидами // Почвоведение. 2019. № 4. https://doi.org/10.1134/S0032180X19040117
- Раджабов Р.А., Дорожкина Л.А., Янишевская О.Л. Анализ существующего положения по выполнению озеленительных работ в г. Москве и совершенствованию технологии выращивания газонов // Известия Тимирязевской сельскохозяйственной академии. 2007. № . 3. С. 128–131.
- Сергина Н.М., Брязгина Е.О., Сущенко Р.В., Азарова М.Д. Исследования загрязнения мелкодисперсной пылью воздушной среды в парковых зонах большого промышленного города // Вестник Волгоградского гос. архитектурно-строительного ун-та. Сер. Строительство и архитектура. 2022. № 4(89). С. 231–239.
- Терехова В.А. Биотестирование экотоксичности почв при химическом загрязнении: современные подходы к интеграции для оценки экологического состояния (обзор) // Почвоведение. 2022. № 5. C. 586–599.
- Acosta J.A., Acosta J.A., Gabarrón M., Faz A., Martínez-Martínez S., Zornoza R., Arocena J.M. Influence of population density on the concentration and speciation of metals in the soil and street dust from urban areas // Chemosphere. 2015. V. 134. P. 328–337. http://dx.doi.org/10.1016/j.chemosphere.2015.04.038
- Anderson J.P.E., Domsch K.H. A physiological method for the quantitative measurement of microbial biomass in soils // Soil Biol. Biochem. 1978. V. 10(3). P. 215–221.
- Bao C., Yong M., Bi L., Gao H., Li J., Bao Y., Gomboludev P. Impacts of underlying surface on the dusty weather in central Inner Mongolian steppe, China // Earth and Space Science. 2021. V. 8(9). P. 1–17. https://doi.org/10.1029/2021EA001672
- Bezberdaya L., Kosheleva N., Chernitsova O., Lychagin M., Kasimov N. Pollution Level, Partition and Spatial Distribution of Benzo(a)pyrene in Urban Soils, Road Dust and Their PM10 Fraction of Health-Resorts (Alushta, Yalta) and Industrial (Sebastopol) Cities of Crimea // Water. 2022. V. 14(4). P. 561. https://doi.org/10.3390/w14040561
- Cai Y., Li F., Zhang J., Zhu X., Li Y., Fu J., Chen X., Liu Ch. Toxic metals in size-fractionated road dust from typical industrial district: Seasonal distribution, bioaccessibility and stochastic-fuzzy health risk management // Environ. Technol. Innovation. 2021. V. 23. P. 101643. https://doi.org/10.1016/j.eti.2021.101643
- Cheng Z., Lee L., Dayan S., Grinshtein M., Shaw R. Speciation of heavy metals in garden soils: evidence from selective and sequential chemical leaching // J. Soils Sediments. 2011. V. 11. P. 628–638. https://doi.org/10.1007/s11368-011-0351-6
- Dong S., Zhang S., Wang L., Ma G., Lu X., Li X. Concentrations, speciation, and bioavailability of heavy metals in street dust as well as relationships with physiochemcal properties: A case study of Jinan City in East China // Environ. Sci. Pollut. Res. Int. 2020. V. 27(28). P. 35724–35737. https://doi.org/10.1007/s11356-020-09761-6
- Gałuszka A., Migaszewski Z.M., Podlaski R., Dołęgowska S., Michalik A. The influence of chloride deicers on mineral nutrition and the health status of roadside trees in the city of Kielce, Poland // Environ. Monit. Assess. 2011. V. 176. P. 451–464. https://doi.org/10.1007/s10661-010-1596-z
- Glushakova A.V., Kachalkin A.V., Prokof’eva T.V., Lysak L.V. Enterobacteriaceae in soils and atmospheric dust aerosol accumulations of Moscow city // Current Research in Microbial Sciences 2022. V. 3. P. 100124. https://doi.org/10.1016/j.crmicr.2022.100124
- Hawksworth D.L. The magnitude of fungal diversity: the 1,5 million species estimate revisited // Mycological Research. 2001. V. 105 (12). P. 1422–1432. https://doi.org/10.1017/S0953756201004725
- Haynes H.M., Taylor K.G., Rothwell J., Birne P. Characterisation of road-dust sediment in urban systems: a review of a global challenge // J. Soils Sediments. 2020. V. 20. P. 4194–4217. https://doi.org/10.1007/s11368-020-02804-y
- Ivaneev A.I., Brzhezinskiy A.S., Karandashev V.K., Ermolin M.S., Fedotov P.S. Assessment of sources, environmental, ecological, and health risks of potentially toxic elements in urban dust of Moscow megacity, Russia // Chemosphere. 2023. V. 321. P. 138142. https://doi.org/10.1016/j.chemosphere.2023.138142
- Jayarathne A., Egodawatta P., Ayoko G.A., Goonetilleke A. Transformation processes of metals associated with urban road dust: A critical review // Critical Rev. Environ. Sci. Technol. 2019. V. 49 (18). P. 1675–1699. https://doi.org/10.1080/10643389.2019.1579630
- Jeong H., Ryu J.-S., Ra K. Characteristics of potentially toxic elements and multiisotope signatures (Cu, Zn, Pb) in non-exhaust traffic emission sources // Environ. Pollut. 2022. V. 292(3). P. 118339. https://doi.org/10.1016/j.envpol.2021.118339
- Kaonga C.C., Kosamu I.B.M., Utembe W.R. A Review of Metal Levels in Urban Dust, Their Methods of Determination, and Risk Assessment // Atmosphere. 2021. V. 12(7). P. 891. https://doi.org/10.3390/atmos12070891
- Kasimov N.S., Vlasov D.V., Kosheleva N.E. Enrichment of road dust particles and adjacent environments with metals and metalloids in eastern Moscow // Urban Clim. 2020. V. 32(4). P. 100638. https://doi.org/10.1016/j.uclim.2020.100638
- Kasimov N.S., Kosheleva N.E., Vlasov D.V., Nabelkina K.S., Ryzhov A.V. Physicochemical properties of road dust in Moscow // Geogr. Environ. Sustain. 2019. V. 12(4). P. 96–113. https://doi.org/10.24057/2071-9388-2019-55
- Kim K.H., Kabir E., Kabir S. A review on the human health impact of airborne particulate matter // Environ. Int. 2015. V. 74. P. 136–143. https://doi.org/10.1016/j.envint.2014.10.005
- Kolesnikova V.M., Salimgareeva O.A., Ladonin D.V., Vertyankina V.Y., Shelegina A.S. Morphological and Mineralogical Characteristics of Atmospheric Microparticles and Chemical Pollution of Street Dust in the Moscow Region // Atmosphere. 2023. V. 14. P. 403. https://doi.org/10.3390/atmos14020403
- Konstantinova E., Minkina T., Konstantinov A., Sushkova S., Antonenko E., Kurasova A., Loiko S. Pollution status and human health risk assessment of potentially toxic elements and polycyclic aromatic hydrocarbons in urban street dust of Tyumen city, Russia // Environ. Geochem. Health. 2022. V. 44. P. 409–432. https://doi.org/10.1007/s10653-020-00692-2
- Krupnova T.G., Rakova O.V., Gavrilkina S.V., Antoshkina E.G., Baranov E.O., Yakimova O.N. Road dust trace elements contamination, sources, dispersed composition, and human health risk in Chelyabinsk, Russia // Chemosphere. 2020. V. 261. P. 127799. https://doi.org/10.1016/j.chemosphere.2020.127799
- Kwok C.K., Yang S.M., Mak N.K., Wong C.K., Liang Y., Leung S.Y., Young L. et al. Ecotoxicological study on sediments of Mai Po marshes, Hong Kong using organisms and biomarkers // Ecotoxicology and Environmental Safety. 2010. V. 73 (4). P. 541–549. https://doi.org/10.1016/j.ecoenv.2010.01.012
- Lors C., Ponge J.F., Aldaya M.M., Damidot D. Comparison of solid and liquid phase bioassays using ecoscores to assess contaminated soils // Environ. Pollut. 2011. V. 159(10). P. 2974–2981. https://doi.org/10.1016/j.envpol.2011.04.028
- Moskovchenko D., Pozhitkov R., Ukarkhanova D. Geochemistry of street dust in Tyumen, Russia: influence of traffic load // Environ. Sci. Pollut. Res. 2022. V. 29. P. 31180–31197. https://doi.org/10.1007/s11356–021–18013–0
- Moskovchenko D., Pozhitkov R., Soromotin A., Tyurin V. The Content and Sources of Potentially Toxic Elements in the Road Dust of Surgut (Russia) // Atmosphere. 2022. V. 13. P. 30. https://doi.org/10.3390/atmos13010030
- Nazzal Y., Rosen M., Al-Rawabdeh A. Assessment of metal pollution in urban road dusts from selected highways of the Greater Toronto Area in Canada // Environ. Monitoring Assessment. 2013. V. 185. P. 1847–1858. https://doi.org/10.1007/s10661–012–2672–3
- Nikolaeva O., Tikhonov V., Vecherskii M., Kostina N., Fedoseeva E., Astaikina A. Ecotoxicological effects of traffic-related pollutants in roadside soils of Moscow // Ecotoxicology and Environmental Safety. 2019. V. 172. P. 538–546. https://doi.org/10.1016/J.ECOENV.2019.01.068
- OCSPP 850.4230: Early Seedling Growth Toxicity Test, EPA 712-C-010 (US Environmental Protection Agency), Washington. 2012.
- OECD. Test No. 208: Terrestrial Plant Test: Seedling Emergence and Seedling Growth Test. OECD Guidelines for the Testing of Chemicals. Section 2 OECD Publishing. Paris, 2006. 21 p. https://doi.org/10.1787/20745761
- Pandard P., Devillers J., Charissou A.M., Poulsen V., Jourdain M.J., Férard J.F., Grand C., Bispo A. Selecting a battery of bioassays for ecotoxicological characterization of wastes // Sci. Total Environ. 2006. V. 363(1–3). P. 114–125. https://doi.org/10.1016/j.scitotenv.2005.12.016.
- Prokof’eva T.V., Martynenko I.A. Urban soil surveys: The case of Moscow, Russia. Soils within cities. Stuttgart: Catena Soil Science, 2017. P. 129–139.
- Rybak J., Wróbel M., Krzyżyńska R., Rogula-Kozłowska W., Olszowski T. Is Poland at risk of urban road dust? Comparison studies on mutagenicity of dust // Environ. Poll. 2022. V. 314. P. 120337. https://doi.org/10.1016/j.envpol.2022.120337
- Seleznev A., Ilgasheva E., Yarmoshenko I., Malinovsky G. Coarse technogenic material in urban surface deposited sediments (USDS) // Atmosphere. 2021. V. 12(6). P. 754. https://doi.org/10.3390/atmos12060754
- Sverdrup L.E., Krogh P.H., Nielsen T., Kjaer C., Stenersen J. Toxicity of eight polycyclic aromatic compounds to red clover (Trifolium pratense), ryegrass (Lolium perenne), and mustard (Sinapsis alba) // Chemosphere. 2003. V. 53(8). P. 993–1003. https://doi.org/10.1016/j.chemosphere.2023.138142
- US EPA, 2022. United States Environmental Protection Agency. Particulate matter (PM) Basics. 2022. https://www.epa.gov/pm-pollution/particulate-matter-pm-basics. Accessed on July, 23
- Van Bohemen H.D., Van de Laak W.H.J. The influence of road infrastructure and traffic on soil, water, and air quality // Environ. Managem. 2003. V. 31. https://doi.org/10.1007/s00267-002-2802-8
- Vasenev V.I., Stoorvogel J.J., Plyushchikov V.G., Ananyeva N.D., Ivashchenko K.V., Romzaykina O.N. Basal respiration as a proxy to understand spatial trends of CO₂emissions in the Moscow region // RUDN J. Agronomy Animal Industries. 2016. V. 4. P. 94–107. https://doi.org/10.22363/2312-797X-2016-4-94-107
- Vlasov D., Kosheleva N., Kasimov N. Spatial distribution and sources of potentially toxic elements in road dust and its PM10 fraction of Moscow megacity // Sci. Total Environ. 2021. V. 761. P. 143267. https://doi.org/10.1016/j.scitotenv.2020.143267
- Vlasov D.V., Vasil’chuk J.Y., Kosheleva N.E., Kasimov N.S. Contamination levels and source apportionment of potentially toxic elements in size-fractionated road dust of Moscow // Environ. Sci. Pollut. Res. 2023. V. 30. P. 38099–38120. https://doi.org/10.1007/s11356-022-24934-1.
- Wang J., Yu J., Gong Y, Wu L., Ya Z., Wang J., Gao R., Liu W. Pollution characteristics, sources and health risk of metals in urban dust from different functional areas in Nanjing, China // Environ. Res. 2021. V. 201. P. 111607. https://doi.org/10.1016/J.ENVRES.2021.111607
- World Health Organization (WHO). Hazard Prevention and Control in the Work Environment: Airborne Dust. 1999. https://www.who.int/occupational_health/publications/en/oehairbornedust3.pdf
- Wu Y., Lu X. Physicochemical properties and toxic elements in bus stop dusts from Qingyang, NW China // Scientific Reports. 2018. V. 8(1). P. 12568. https://doi.org/10.1038/s41598-018-30452-3
Supplementary files







