Капиллярные колонки, приготовленные на основе модифицированного органическими основаниями поли(1-триметилсилил‑1-пропина), для анализа товарного (целевого и технического) н-бутана
- Authors: Яковлева Е.Ю.1,2, Патрушев Ю.В.1,2
-
Affiliations:
- Институт катализа им. Г. К. Борескова СО РАН
- Новосибирский государственный университет
- Issue: Vol 64, No 6 (2024)
- Pages: 653-664
- Section: Articles
- URL: https://journals.rcsi.science/0028-2421/article/view/282399
- DOI: https://doi.org/10.31857/S0028242124060103
- EDN: https://elibrary.ru/MESAPS
- ID: 282399
Cite item
Abstract
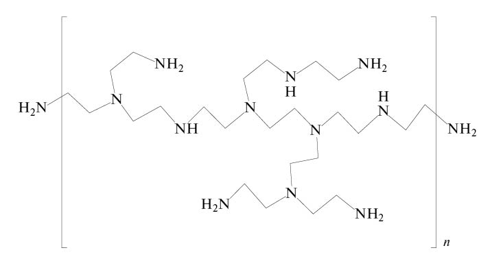
Разработан способ газохроматографического анализа примесей углеводородов и метанола в н-бутане (содержание более 99%) с использованием капиллярных колонок, приготовленных на основе модифицированного поликатионным полиэтиленимином (ПЭИ) поли(1-триметилсилил- 1-ропина) (ПТМСП). Исследована селективность разделения определяемых компонентов и показано, что разрешающая способность для пиков углеводородов С3–С4 и метанола на пористослойных капиллярных колонках размером 30 м × 0.32 мм (ПТМСП032-ПЭИ) и 25 м × 0.53 мм (ПТМСП053-ПЭИ) с модифицированным полиэтиленимином слоем ПТМСП существенно выше, чем для предложенной ранее капиллярной колонки размером 30 м × 0.32 мм с поли(1-триметилсилил-1-пропином) (ПТМСП032). Метанол на колонках ПТМСП032-ПЭИ и ПТМСП053-ПЭИ элюируется в виде симметричного пика отдельно от всех компонентов, включая пропан, пропилен, 1-бутен, н-бутан. Рассчитанные пределы детектирования с использованием пламенно-ионизационного детектора находятся в диапазоне 1.51–7.95 × 10–12 г/с для углеводородов и 6.47 × 10–12 г/с для метанола.
Full Text
About the authors
Елена Юрьевна Яковлева
Институт катализа им. Г. К. Борескова СО РАН; Новосибирский государственный университет
Author for correspondence.
Email: yakovl@catalysis.ru
ORCID iD: 0000-0002-8284-7832
к. х. н.
Russian Federation, Новосибирск, 630090; Новосибирск, 630090Юрий Валерьевич Патрушев
Институт катализа им. Г. К. Борескова СО РАН; Новосибирский государственный университет
Email: yakovl@catalysis.ru
ORCID iD: 0000-0002-2078-5488
к. х. н.
Russian Federation, Новосибирск, 630090; Новосибирск, 630090References
- Другов Ю.С., Родин А.А. Мониторинг органических загрязнений природной среды. 500 методик: практическое руководство. 4-е изд. (эл.). М.: Бином. Лаборатория знаний, 2015. 896 c. https://www.books-up.ru/ru/book/monitoring-organicheskih-zagryaznenij-prirodnoj-sredy-500 metodik-3709861 (дата обращения 15.05.2024).
- Molchanov S.A., Samakaeva T.O. Complex preparation and processing of multicomponent natural gases at gas-chemical complexes. Moscow: Nedra, 2013. 515 p.
- Chemist’s Handbook 21. Chemistry and chemical technology. https://www.chem21.info/info/1159614 (дата обращения 15.05.2024).
- http://chemanalytica/com/book/novyy_spravochnik_khimika_i_tekhnologa/11_radioaktivnya_veshchestva_vrednye_veshchestva_gigienicheskie_ normativy/5171 (дата обращения 15.05.2024)
- Истомин В.А., Квон В.Г. Предупреждение и ликвидация газовых гидратов в системах добычи газа. М.: ООО “ИРЦ Газпром”, 2004. 509 с.
- ГОСТ 33012-2014 Пропан и бутан товарные. Определение углеводородного состава методом газовой хроматографии.
- Russian national standard GOST R54484-2011 Liquefied petroleum gases. Methods for determining the hydrocarbon composition.
- Krylov V.A., Chernova O. Iu., Sozin A. Iu., Kotkov A.P., Pushkarev G.V. Chromato-mass-spectrometric determination of impurities in high-purity phosphine using capillary adsorption chromatographic columns // Analytics and control. 2013. № 17. Р. 452–458.
- Yuzhakova T., Kovács T., Rédey Á., Scurtu R., Kovács Z., Somogyi V., Domokos E., Ráduly I., Ráduly L. PtPd-CeO2/γ-Al2O3 Catalysts for VOC treatment of exhaust gases // Environmental Engineering and Management J. 2012. № 11. P. 1963–1968. https://doi.org/10.30638/ eemj.2012.245.
- Russian national standard GOST R55997-2014 Stable gas condensate, broad fraction of light hydrocarbons, liquefied petroleum gases. Determination of methanol by gas chromatography.
- ISO 6974-4:2002 Natural gas. Determination of composition with defined uncertainty by gas chromatography. Part 4: Determination of nitrogen, carbon dioxide and C1 to C5 and C6+ hydrocarbons for a laboratory and on-line measuring system using two columns.
- ISO 6974-5:2002 Natural gas. Determination of composition with defined uncertainty by gas chromatography method. Part 5. Determination of nitrogen, carbon dioxide and C1 to C5 and C6+ hydrocarbons for a laboratory and on-line process application using three columns.
- ISO 6974-6:2002 Natural gas. Determination of composition with defined uncertainty by gaschromatography method. Part 6. Determination of hydrogen, helium, oxygen, nitrogen, carbon dioxide and C1 to C8 hydrocarbons using three capillary columns.
- Krylov V.A., Berezkin V.G., Korolev A.A., Chernova O.Yu., Salganskii Yu.M. Gas-adsorption chromatography of reactive compounds on poen-tubular columns with poly(trimethylsilylpropyne) // J. of Anal. Chem. 2003. V. 58. № 4. ID372374.
- Berezkin V.G., Muhina V.P., Korolev A.A., Faktullina A.F., Seroshtan V.A. Poly (1-trimethylsilyl-1-propine) — a new porous polymer sorbent for capillary gas chromatography of hydrocarbon raw materials // Zavodskaya laboratoriya. Diagnostika materialov. 2004. № 5. P. 9–13.
- Belotserkovskaya V.Yu., Yakovleva E.Yu. Chromatographic properties of poly-(1-trimethylsilyl-1-propyne) // Russ. J. Phys. Chem. A. 2011. V. 85. № 5. P. 939–934.
- Yakovleva E.Yu., Belotserkovskaya V.Yu. Separation of hydrocarbon and sulfur-containing gases on a new poly-(1-trimethylsilyl-1-propyne)/poly-(1-phenyl- 1-propyne) mixed stationary phase in the presence of water // J. Anal. Chem. 2013. V. 68. № 7. P. 646–651. https://doi.org/10.1134/S1061934813070125
- Yakovleva E.Yu., Patrushev Yu.V., Belotserkovskaya V.Yu. Determination of the composition of the reaction products of the catalytic synthesis of pentafluoroethane by hydrofluorination of perchloroethylene in the mixed stationary phase of poly-(1-trimethylsilyl-1-propine/poly — (1-phenyl-1-propine) by gas chromatography // Kataliz v promyshlennоsti 2015. V. 15. № 2. P. 15–19.
- Yakovleva E.Yu., Patrushev Yu.V. Analysis of light hydrocarbons and sulfur compounds on porous layer capillary columns with a nonpolar phase // Catalysis in Industry. 2020. V. 12. № 4. P. 280–286. https://doi.org/10.1134/S2070050420040108
- Yakovleva E.Yu., Patrushev Yu.V., Pai Z.P. Analysis of isobutane dehydrogenation products by gas chromatographic method // Kataliz v promyshlennosti. 2017. V. 17. № 6. P. 460–464. https://doi.org/10.18412/1816-0387-2017-6-460-464
- Yakovleva E.Yu., Patrushev Yu.V., Pai Z.P. Capillary columns with a sorbent based on functionalized poly (1-trimethylsilyl-1-propyne) for the elution analysis of natural gas // Russ. J. Phys. Chem. A. 2018. V. 92. № 5. P. 1018–1024. https://doi.org/10.1134/S0036024418050357
- Yakovleva E.Y., Patrushev Y.V. Determination of hydrocarbons in n-butane on porous layer capillary columns with nonpolar stationary phase // Chromatographia. 2021. V. 84. P. 1095–1104. https://doi.org/10.1007/s10337-021-04092-1
- Yakovleva E.Y., Patrushev Y.V. Analysis of residual hydrocarbons and methanol in n-butane on a porous-layer capillary column with poly(1-trimethylsilyl- 1-propyne) // Petrol. Chemistry. 2022. V. 62. № 1. P. 112–120. https://doi.org/10.1134/S0965544122010029
- Yakovleva E.Y., Patrushev Y.V. Porous-layer columns with a poly(1-trimethylsilyl-1-propyne) stationary phase for determining of catalytic reactions components, natural gas and its processed products // J. Chromatogr. A. 2023. V. 1693. 463883. https://doi.org/10.1016/j.chroma.2023.463883
- Malakhov A.O., Volkov A.V. Modification of polymer membranes for use in organic solvents // Russ. J. of Appl. Chem. 2020. V. 93. № 1. P. 14–24. https://doi.org/10.1134/S1070427220010024.
- Березкин В.Г., Королев А.А., Хотимский В.С. Модифицирование адсорбционного слоя политриметилсилилпропина в открытых капиллярных колонках // Известия АН. Серия химическая. 2002. № 4. С. 580–581.
- Yakovleva E.Y., Belotserkovskaya V.Y. Chromatographic properties and polarity evaluation of poly-(1-trimethylsilyl-1-propyne) and poly-(1-phenyl-1-propyne) // J. of Anal. Chemistry. 2010. V. 65. № 10. P. 1014–1020.
- Yakovleva E.Yu., Belotserkovskaya V.Yu., Litvak G.S., Paukshtis E.A., Babushkin D.E., Fadeeva V.P. Effect of chemical modification on gas chromatographic properties of polymer sorbents Polysorb-1, Haysep Q and diatomite carrier of chromosorb P NAW // Russ. J. of Phys. Chem. A. 2009. V. 83. № 5. P. 849–853.
- Patrushev Yu.V., Yakovleva E.Yu., Shundrina I.K., Ivanov D.P., Glasneva T.S. The properties of capillary columns with sorbents based on poly-(1-trimethylsilyl-1-propyne) modified with nitrous oxide // J. Chromatogr. A. 2015. V. 1406. P. 291–298. https://doi.org/10.1016/j.chroma.2015.06.013
- Yakovleva E.Yu., Patrushev Y.V., Ivanov D.P., Prosvirin I.P. Gas chromatography columns based on functionalized polymer for the analysis of catalytic reaction products // Chromatographia. 2018. V. 81. P. 1305–1315. https://doi.org/10.1007/s10337-018-3567-4
- Kiryukhina Y.V., Khotimskiy V.S., Tepliakov V.V., Roizard D., Barth D. Synthesis and CO2 sorption in poly (1-trimethylsilyl-1-propyne) and polyvinyltrimethylsilane containing ethylene oxide groups and N-butylimidazol-based “ionic liquids” groups // Desalination and Water Treatment. 2011. V. 35.P. 255–262. https://doi.org//5004/dwt.2011.2481
- Hongbo Feng, Tao Hong, Shannon M. Mahurin, Konstantinos D. Vogiatzis, Kevin R. Gmernicki, Brian K. Long, Jimmy W. Mays, Alexei P. Sokolov, Nam-Goo K. and Tomonori S. Gas separation mechanism of CO2 selective amidoxime-poly(1-trimethylsilyl-1-propyne) // Membranes Polym. Chem. 2017. V. 8. P. 3341–3350. https://doi.org/10.1039/c7py00056a
- Polevaya V.G., Geiger V.Yu., Matson S.M., Shandryuk G.A., Shishatskii S.M., Khotimskii V.S. Synthesis and properties of poly(1-trimethylsilyl-1-propyne) containing quaternary ammonium salts with methyl and ethyl substituents // Polymer Science. Series B. 2019. V. 61. № 5. P. 613–621. https://doi.org/10.1134/S1560090419050130
- Matson S.M., Litvinova E.G., Chernikov V.K., Bondarenko G.N., Khotimskiy V.S. Preparation and characterization of poly(1-trimethylsilyl-1-propyne) cross-linked by aliphatic diamines // Polymer. 2021. V. 236. 124308. https://doi.org/10.1016/j.polymer.2021.124308
- Гуськов В.Ю., Кудашева Ф.Х. Структура и полярность модифицированных производными урацила пористых полимеров // Сорбционные и хроматографические процессы. 2012. Т. 12. Вып. 6. С. 916–921.
- Gus’kov V.Yu., Khabibullina R.A., Kudasheva F.Kh., Ivanov S.P., Garafutdinov R.R. Gas chromatographic investigation of the properties of a styrene-divinylbenzenecopolymer modified by 5-hydroxy-6-methyluracil // Russ. J. of Phys. Chem. A. 2012. V. 86. № 3. P. 475–478. https://doi.org/10.1134/S003602441203013237
- Gainullina Y.Y., Gus’kov V.Y., Timofeeva D.V. Polarity of thymine and 6-methyluracil-modified porous polymers, accoding to data from inverse gas chromatography // Russ. J. of Phys. Chem. A. 2019. V. 93. № 12. P. 2477–2481. https://doi.org/10.1134/S0036024419120082
- Satyapal S., Filburn T., Trela J., Strange J. Performance and properties of a solid amine sorbent for carbon dioxide removal in space life // Support Applications, Energy & Fuels. 2001. V. 15. № 2. P. 250–255. https://doi.org/10.1021/ef0002391
- Yemul O., Imae T. Synthesis and characterization of poly(ethyleneimine) dendrimers // Colloid and Polymer Science. 2008. V. 286. № 6–7. P. 747–752. https://doi.org/10.1007/s00396-007-1830-6
- Xu X., Song C., Wincek R., Andrésen J.M., Miller B.G., Scaroni A.W. Separation of CO2 from power plant flue gas using a novel CO2 “Molecular Basket” Adsorbent // Fuel Chem. Div. Prepr. 2003. V. 48. P. 162–163.
- Yakovleva E.Y., Belotserkovskaya V.Y. Chromatographic and adsorption properties of the mixed stationary phase poly(1-trimethylsilyl–1-propyne)/poly(1-phenyl–1-propyne) // J. of Anal. Chem. 2011. V. 66. № 6. P. 629–633.
- Белоцерковская В.Ю. Хроматографические и адсорбционные свойства поли(1-триметилсилил-1-пропина) и их стабилизация добавлением поли(1-фенил-1-пропина) 02.00.02 — аналитическая химия, диссертация на соискание ученой степени кандидата химических наук, Новосибирск — 2012. 118 с.
- Yakovleva E.Y., Patrushev Y.V., Shundrina I.K., Glazneva T.S. Properties of chromatographic columns prepared on the basis of poly(1-trimethylsilyl-1-propyne) modified with organic bases // J. of Chromatogr. A. 2024. № 1723. 464914. P. 1–10. https://doi.org/10.1016/j.chroma.2024.464914
- Коротаев Ю.П. Борьба с гидратами при транспортировке природных газов / Ю.П. Коротаев, А.М. Кулиев, Р.М. Мусаев. М.: Недра. 1973. 136 с.
- Бухгалтер Э.Б. Предупреждение и ликвидация гидратообразования при подготовке и транспортировке нефтяного и природного газов / Э.Б. Бухгалтер // Нефтепромысловое дело. 1982. Вып. 10 (34). 41 с.
- Tipler A., Marotta L., DiSanzo F., Grecsek H. Determination of low levels of methanol in crude oils by multi-dimensional gas chromatography (mdgc) using novel micro channel flow technology // J. Chromatogr. Sci. 2012. V. 50. P. 184–189. https://doi.org/10.1093/chromsci/bmr045
- Russian national standard GOST R55997–2014 Stable gas condensate, broad fraction of light hydrocarbons, liquefied petroleum gases. Determination of methanol by gas chromatography.
- ASTM D7059-09-2017 Standard Test Method for Determination of Mehtanol in Crude Oil by Multidimensional Gas Chromatography.
- ГОСТ Р 8.919-2016 Государственная система обеспечения единства измерений. Эталонные комплексы для аттестации стандартных образцов состава природного газа магистрального и имитаторов природного газа.
Supplementary files








