Карбонилирование диметилового эфира с использованием катализаторов на основе фосфорно-вольфрамовой кислоты и ее солей
- Авторы: Остроумова В.А.1, Максимов А.Л.1,2
-
Учреждения:
- Институт нефтехимического синтеза им. А. В. Топчиева РАН
- Московский государственный университет имени М. В. Ломоносова
- Выпуск: Том 64, № 6 (2024)
- Страницы: 582-599
- Раздел: Статьи
- URL: https://journals.rcsi.science/0028-2421/article/view/282357
- DOI: https://doi.org/10.31857/S0028242124060041
- EDN: https://elibrary.ru/MFJBIO
- ID: 282357
Цитировать
Аннотация
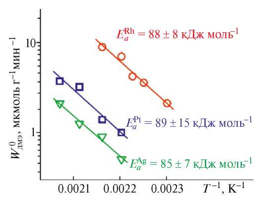
В обзоре проведен анализ реакции карбонилирования диметилового эфира (ДМЭ) с использованием катализаторов на основе фосфорно-вольфрамовой кислоты и ее солей. Методом 13C MAS ЯМР проанализированы и сравнены механизм и кинетика карбонилирования ДМЭ на образцах H3PW12O40, Cs2HPW12O40, Rh/Cs2HPW12O40, Pt/Cs2HPW12O40, Ag/Cs2HPW12O40. В гетерогенном карбонилировании ДМЭ рассмотрены катализаторы, представляющие собой цезиевые соли фосфорно-вольфрамовой кислоты, а также ее родиевые и иридиевые соли, нанесенные на алюмосиликатные и силикатные носители.
Полный текст
Об авторах
Вера Александровна Остроумова
Институт нефтехимического синтеза им. А. В. Топчиева РАН
Автор, ответственный за переписку.
Email: ostroumova@ips.ac.ru
ORCID iD: 0000-0003-2870-6534
к. х. н.
Россия, Москва, 119991Антон Львович Максимов
Институт нефтехимического синтеза им. А. В. Топчиева РАН; Московский государственный университет имени М. В. Ломоносова
Email: ostroumova@ips.ac.ru
ORCID iD: 0000-0001-9297-4950
Россия, Москва, 119991; Москва, 119991
Список литературы
- Paulik F.E., Roth J.F. Novel catalysts for the low- pressure carbonylation of methanol to acetic acid // Chem. Commun. 1968. P. 1578a. https://doi.org/10.1039/C1968001578A
- Roth J.F., Craddock J.H., Hershman. Roth F.E. Low-pressure process for acetic acid via carbonylation //Chem. Technol. 1971. V. 1. P. 600–605.
- Schultz R.G., Montgomery P.D. Vapor phase carbonylation of methanol to acetic acid // J. Catal. 1969. V. 13(1). P. 105–106. https://doi.org/10.1016/0021-9517(69)90377-7
- Shultz R.G. Пат. 371770 США. 1973. // to Monsanto Company.
- Howard M.J., Jones M.D., Roberts M.S., Taylor S.A. C1 to acetyls: catalysis and process // Catal. Today 1993. V. 18(4). P. 325–354. https://doi.org/10.1016/0920-5861(93)80060-E
- Sardesai A., Lee S., Tartamella T. Synthesis of methyl acetate from dimethyl ether using group VIII metal salts of phosphotungstic acid // Energ. Sourc. 2002. V. 24. P. 301–317. https://doi.org/10.1080/00908310252888682
- Mortreux A., Petit F. Industrial applications of homogeneous catalysts. D. Reidel Publishing Co.: Dordrecht, Holland.
- Shikada T., Ohno Y., Ogawa T., Ono M., Mizuguchi M., Tomura K., Fugimoto K. Direct Synthesis of dimethyl ether form synthesis gas // Stud. Surf. Sci. Catal. 1998. V. 119. P. 515–520. https://doi.org/10.1016/S0167-2991(98)80483-7
- El-Zeftawy A.M. Focus on the chemical value of methanol // J. King Saud Univ. 1995. V. 7. P. 209–256. https://doi.org/10.1016/S1018-3639(18)31058-4
- Volkova G.G., Plyasova L.M., Salanov A.N., Kustova G.N., Yurieva T.M., Likholobov V. A. Heterogeneous catalysts for halide-free carbonylation of dimethyl ether // Catal. Lett. 2002. V. 80(3–4). P. 175–179. https://doi.org/10.1023/A:1015420828251
- Foster D. Kinetic and spectroscopic studies of the carbonylation of methanol with an iodide-promoted iridium catalyst // J. Chem. Soc. Dalton Trans. 1979. P. 1639–1645. https://doi.org/10.1039/DT9790001639
- Fujimoto K., Shikada T., Omata K., Tominaga H. Vapor phase carbonylation of methanol with solid acid catalysts // 1984. V. 13(12). P. 2047–2050. https://doi.org/10.1246/cl.1984.2047
- Ellis B., Howard M.J., Joyner R.W., Reddy K.N., Padley M.B., Smith W.J. Heterogeneous catalysts for the direct, halide-free carbonylation of methanol // Stud. Surf. Sci. Catal. 1996. V. 101. P. 771–779. https://doi.org/10.1016/S0167-2991(96)80288-6
- Cheung P., Bhan A., Sunley G.J., Iglesia E. Selective Carbonylation of Dimethyl Ether to Methyl Acetate Catalyzed by Acidic Zeolites // Angew. Chem. Int. Ed. 2006. V. 45. P. 1617–1620. https://doi.org/10.1002/anie.200503898
- Cheung P., Bhan A., Sunley G.J., Lawb D.J., Iglesia E. Site requirements and elementary steps in dimethyl ether carbonylation catalyzed by acidic zeolites // J. Catal. 2007. V. 245(1). P. 110–123. https://doi.org/10.1016/j.jcat.2006.09.020
- Luzgin M.V., Kazantsev M.S., Wang W., Stepanov A.G. Reactivity of methoxy species toward CO on Keggin 12-H3PW12O40: a study with solid state NMR // J. Phys. Chem. C2009. V. 113(45). P. 19639–19644. https://doi.org/10.1021/jp906888m
- Guisnet M., Bichon P., Gnep N. S., Essayem N. Transformation of propane, n-butane and n-hexane over H3PW12O40 and cesium salts. Comparison to sulfated zirconia and mordenite catalysts // Topic. Catal. 2000. V. 11–12(1–4). P. 247–254. https://doi.org/10.1023/A:1027229915673
- Essayem N., Coudurier G., Fournier M., Védrine J.C. Acidic and catalytic properties of CsxH3–xPW12O40 heteropolyacid compounds // Catal. Lett. 1995. V. 34. P. 223–235. https://doi.org/10.1007/BF00808337
- Okuhara T., Nishimura T., Misono M. Novel microporous solid “Superacids”: CsxH3–xPW12O40 (2 ≤ x ≤ 3) // Stud. Surf. Sci. Catal. 1996. V. 101. P. 581–590. https://doi.org/10.1016/S0167-2991(96)80269-2
- Wegman W.R. European Patent 0 353 722 (1989).
- Volkova G.G., Plyasova L.M., Shkuratova L.N., Budneva A.A., Paukshtis E.A., Timofeeva M.N., Likholobov V.A. Solid superacids for halide-free carbonylation of dimethyl ether to methyl acetate // Stud. Surf. Sci. Catal. 2004. V. 147. P. 403–408. https://doi.org/10.1016/S0167-2991(04)80085-5
- Kozhevnikov I.V. Advances in catalysis by heteropolyacids // Russ. Chem. Rev. 1987. V. 56 (9). P. 811–825. https://doi.org/10.1070/RC1987v056n09ABEH003304
- Okuhara T., Mizuno N., Misono M. Catalytic chemistry of heteropolycompounds // Adv. Catal. 1996. V. 41. P. 113–252. http://dx.doi.org/10.1016/S0360-0564(08)60041-3
- Bardin B.B., Bordawekar S.V., Neurock M., Davis R.J. Acidity of Keggin-type heteropolycompounds evaluated by catalytic probe reactions, sorption microcalorimetry, and density functional quantum chemical calculations // J. Phys. Chem. B. 1998. V. 102. P. 10817–10825. https://doi.org/10.1021/jp982345y
- Ueda T., Tatsumi T., Eguchi T., Nakamura N. Structure and properties of acidic protons in anhydrous dodecatungstophosphoric acid, H3PW12O40, As studied by solid-state1H,2H NMR, and 1H-31P Sedor NMR // J. Phys. Chem. B. 2001. V. 105 (23). P. 5391–5396. https://doi.org/10.1021/jp003439m
- Zhang H.I., Zheng A.M., Yu H.G., Li S.H., Lu X., Deng F. Formation, location, and photocatalytic reactivity of methoxy species on Keggin 12-H3PW12O40: a joint solid-state NMR spectroscopy and DFT calculation Study // J. Phys. Chem. C. 2008. V. 112(40). P. 15765–15770. https://doi.org/10.1021/jp806588q
- Pope M.T., Müller A. Polyoxometalate chemistry — an old field with new dimensions in several disciplines // Angew. Chem. Int. Ed. Engl. 1991. V. 30. P. 34–48. https://doi.org/10.1002/anie.199100341
- Yang J., Janik M.J., Ma D., Zheng A., Zhang M., Neurock M., Davis R. J., Ye Ch., Deng F. Location, acid strength, and mobility of the acidic protons in Keggin 12-H3PW12O40: a combined solid-state NMR spectroscopy and DFT quantum chemical calculation study // J. Am. Chem. Soc. 2005. V. 127(51). P. 18274–18280. https://doi.org/10.1021/ja055925z
- Nakamura O., Ogino I., Kodama T. The water content and humidity ranges of dodecamolybdophosphoric acid and dodecatungstophosphoric acid crystals // Mater. Reas. Bull. 1980. V. 15(8). P. 1049–1054. https://doi.org/10.1016/0025-5408(80)90064-1
- Nakamura O., Ogino I., Kodama T. Temperature and humidity ranges of some hydrates of high-proton-conductive dodecamolybdophosphoric acid and dodecatungstophosphoric acid crystals under an atmosphere of hydrogen or either oxygen or air // Sol. State Ion. 1981. V. 3–4. P. 347–341. https://doi.org/10.1016/0167-2738(81)90111-9
- Brown G.M., Noe-Spirlet M.-R., Busing W.R., Levy H.A. Dodecatungstophosphoric acid hexahydrate, (H5O2+)3(PW12O403–). The true structure of Keggin’s ‘pentahydrate’ from single-crystal X-ray and neutron diffraction data // Acta Crystallogr. 1977. V. B33. P. 1038–1046. https://doi.org/10.1107/S0567740877005330
- Keggin J.F. Structure of the Molecule of 12-Phosphotungstic Acid // Nature. 1933. V. 131. P. 908–909. https://doi.org/10.1038/131908b0
- Spirlet M.-R., Busing W.R. Dodecatungstophosphoric acid-21-water by neutron diffraction // Acta Cryst. B1978. V. 34. P. 907–910. https://doi.org/10.1107/S0567740878004306
- Bradley A.J., Illingsworth J.W. The crystal of H3PW12O40·29H2O // Proc. R. Soc. (London). 1936. V. 157(890). P. 113–131. https://doi.org/10.1098/rspa.1936.0183
- Fournier M., Feumi-Jantou Ch., Rabia Ch., Herve G., Launay S. Polyoxometalates catalyst materials: X-ray thermal stability study of phosphorus-containing heteropolyacids H3 +xPM12 –xVxO40·13–14H2O (M = = Mo, W; x = 0–1) // J. Mater. Chem. 1992. V. 2. P. 971–978. https://doi.org/10.1039/JM9920200971
- Lee K.Y., Mizuno N., Okuhara T., Misono M. Catalysis by heteropoly compounds. XIII. An infrared study of ethanol and diethyl ether in the pseudoliquid phase of 12-tungstophosphoric acid // Bull. Chem. Soc. Jpn. 1989. V. 62. P. 1731–1739. https://doi.org/10.1246/bcsj.62.1731
- Luzgin M.V., Kazantsev M.S., Volkova G.G., Wang W., Stepanov A.G. Carbonylation of dimethyl ether on solid Rh-promoted Cs-salt of Keggin 1-H3PW12O40: a solid-state NMR study of the reaction mechanism // J. Catal. 2011. V. 277. P. 72–79. https://doi.org/10.1016/j.jcat.2010.10.015
- Luzgin M.V., Kazantsev M.S., Volkova G.G., Stepanov A.G. Solid-state NMR study of the kinetics and mechanism of dimethyl ether carbonylation on cesium salt of 12-tungstophosphoric acid modified with Ag, Pt, and Rh // J. Catal. 2013. V. 308. P. 250–257. https://doi.org/10.1016/j.jcat.2013.08.024
- Kazantsev M.S., Luzgin M V., Volkova G.G., Stepanov A.G. Carbonylation of dimethyl ether on Rh/Cs2HPW12O40: solid-state NMR study of the mechanism of reaction in the presence of a methyl iodide promoter // J. Catal. 2012. V. 291. P. 9–16. https://doi.org/10.1016/j.jcat.2012.03.024
- Breitmaier E., Voelter W. 13C NMR spectroscopy, methods and applications in organic chemistry. VCH, Weinheim. 1978.
- Olah G.A., Doggweiler H., Felberg J.D., Fronlich S. Onium ions. 33. (Trimethylsilyl)- and [(trimethylsilyl)methyl]oxonium and halonium ions // J. Org. Chem. 1985. V. 50. P. 4847–4851. https://doi.org/10.1021/jo00224a039
- Haynes A., Mann B.E., Gulliver D.J., Morris G.E., Maitlis P.M. Direct observation of MeRh(CO)2I3–, the key intermediate in rhodium-catalyzed methanol carbonylation // J. Am. Chem. Soc. 1991. V. 113(22). P. 8567–8569. https://doi.org/10.1021/ja00022a079
- Haynes A., Mann B.E., Morris G.E., Maitlis P.M. Mechanistic studies on rhodium-catalyzed carbonylation reactions: spectroscopic detection and reactivity of a key intermediate, [MeRh(CO)2I3]– // J. Am. Chem. Soc. 1993. V. 115(10). P. 4093–4100. https://doi.org/10.1021/ja00063a030
- Munson E.J., Haw J.F. NMR observation of trimethyloxonium formation from dimethyl ether on zeolite HZSM-5 // J. Am. Chem. Soc. 1991. V. 113(16). P. 6303–6305. https://doi.org/10.1021/ja00016a075
- Xu Q., Nakatani H., Souma Y. A new rhodium catalyst: formation of [Rh(CO)4]+ in concentrated sulfuric acid and its application to carbonylation of olefins // J. Org. Chem. 2000. V. 65(5). P. 1540–1543. https://doi.org/10.1021/jo991659u
- Duncan T.M., Yates J.T., Vaughan R.W. 13C NMR of CO chemisorbed on Rh dispersed on Al2O3 // J. Chem. Phys. 1979. V. 71. P. 3129–3130. https://doi.org/10.1063/1.438669
- Duncan T.M., Yates J.T., Vaughan R.W. A 13C NMR study of the adsorbed states of CO on Rh dispersed on Al2O3 // J. Chem. Phys. 1980. V. 73. P. 975–985. https://doi.org/10.1063/1.440746
- Duncan T.M., Root T.W. Adsorbed states of CO on dispersed metals: quantitative analysis with 13C NMR spectroscopy // J. Phys. Chem. 1988. V. 92(15). P. 4426–4432. https://doi.org/10.1021/j100326a036
- Duncan T.M., Zilm K.W., Hamilton D.M., Root T.W. Adsorbed states of carbon monoxide on dispersed metals: a high-resolution solid-state NMR study // J. Phys. Chem. 1989. V. 93. P. 2583–2590. https://doi.org/10.1021/j100343a067
- Gleeson J.W., Vaughan R.W. 13C NMR chemical shift tensors of metal carbonyls // J. Chem. Phys. 1983. V. 78. P. 5384–5392. https://doi.org/10.1063/1.445465
- Molitor P.F., Shoemaker R.K., Apple T.M. Detection and structural characterization of rhodium dicarbonyls adsorbed in Y zeolites // J. Phys. Chem. 1989. V. 93. P. 2891–2893. https://doi.org/10.1021/j100345a010
- Gay I.D., Hu B., Sheng T.C. Two-dimensional 31P exchange NMR study of adsorbed phosphine layers // Langmuir. 1999. V. 15. P. 6132–6134. https://doi.org/10.1021/la990302i
- Rao L.F., Pruski M., King T.S. Structure and stability of rhodium clusters in NaY studied by NMR and FTIR // J. Phys. Chem. 1997. V. 101(29). P. 5717–5724. https://doi.org/10.1021/jp970971+
- Hurlburt P.K., Rack J.J., Luck J.S., Dec S.F., Webb J.D., Anderson O.P., Strauss S.H. Nonclassical metal carbonyls: [Ag(CO)]+ and [Ag(CO)2]+ // J. Am. Chem. Soc. 1994. V. 116. P. 10003–10014. https://doi.org/10.1021/ja00101a021
- Souma Y., Kawasaki H. Synthesis of tert.-Alkanoic acid catalyzed by Cu(CO)n+ and Ag(CO)2+ under atmospheric pressure // Catal. Today 1997. V. 36. P. 91–97. https://doi.org/10.1016/S0920-5861(96)00201-5
- Bradley J.S., Millar J.M., Hill E.W., Behal S. Surface chemistry on transition metal colloids — an infrared and NMR study of carbon monoxide adsorption on colloidal platinum // J. Catal. 1991. V. 129. P. 530–539. https://doi.org/10.1016/0021-9517(91)90056-A
- Newkirk A. E., McKee D. W. Thermal decomposition of rhodium, iridium, and ruthenium chlorides // J. Catal. 1968. V. 11. P. 370–377. https://doi.org/10.1016/0021-9517(68)90061-4
- Gay I.D. Observation of bridging carbon monoxide on rhodium/silica carbon-13 MAS NMR // J. Phys. Chem. 1990. V. 94. P. 1207–1209. https://doi.org/10.1021/j100367a001
- Rica C.A., Worley S.D., Curtis C.W., Guin C.W., Guin J.A., Tarrer A.R. The oxidation state of dispersed Rh on Al2O3 // J. Chem. Phys. 1981. V. 74. P. 6487–6497. https://doi.org/10.1063/1.440987
- Cavanagh R.R., Yates J.T. Site distribution studies of Rh supported on Al2O3 — An infrared study of chemisorbed CO // J. Chem. Phys. 1981. V. 74. P. 4150–4155. https://doi.org/10.1063/1.441544
- Van‘t Blik H.F.J., Van Zon J.B.A.D., Huizinga T., Vis J.C., Koningsberger D. C., Prim R. Structure of rhodium in an ultradispersed rhodium/alumina catalyst as studied by EXAFS and other techniques // J. Am. Chem. Soc. 1985. V. 107. P. 3139–3147. https://doi.org/10.1021/ja00297a020
- Basu P., Panayotov D., Yates J. Spectroscopic evidence for the involvement of hydroxyl groups in the formation of dicarbonylrhodium(I) on metal oxide supports // J. Phys. Chem. 1987. V. 91. P. 3133–3136. https://doi.org/10.1021/j100296a007
- Luzgin M.V., Rogov V.A., Shmachkova V.P., Kotsarenko N.S., Stepanov A.G. Methane Carbonylation with CO on Sulfated Zirconia: Evidence from Solid-State NMR for the Selective Formation of Acetic Acid // J. Phys. Chem. C2007. V. 111. P. 10624–10629. https://doi.org/10.1021/jp0728757
- Dortman D.E., Bauer D., Roberts J.D. Nuclear magnetic resonance spectroscopy. Carbon-13 chemical and carbon-13 proton couplings in some esters and ethers // J. Org. Chem. 1975. V. 40. P. 3729–3735. https://doi.org/10.1021/jo00913a024
- Luzgin M.V., Rogov V.A., Arzumanov S.S., Toktarev A.V., Stepanov A.G., Parmon V.N. Understanding methane aromatization on a Zn-modified high-silica zeolite // Angew. Chem. Int. Ed. 2008. V. 47. P. 4559–4562. https://doi.org/10.1002/anie.200800317
- Kazantsev M.S., Luzgin M.V., Stepanov A.G. Carbonylation of dimethyl ether with CO on solid 12-tungstophosphoric acid: in situ magic angle spinning NMR monitoring of the ration kinetics // J. Phys. Chem. 2013. V. 117(21). P. 11168–11175. https://doi.org/10.1021/jp401604r
- Lacey M.J., Macdonald C.G., Pross A. Geminal proton coupling constants in some methyl derivatives // Aust. J. Chem. 1970. V. 23. P. 1421–1429. https://doi.org/10.1071/CH9701421
- Gottlieb H.E., Kotlyar V., Nudelman A. NMR chemical of common laboratory solvents as trace impurities // J. Org. Chem. 1997. V. 62. P. 7512–7515. https://doi.org/10.1021/jo971176v
- Olah G., O’Brien D. Stable Carbonium Ions. XXXVI. 1aProtonated aliphatic ethers and their cleavage to carbonium ions // J. Am. Chem. 1967. V. 89. P. 1725–1728. https://doi.org/10.1021/ja00983a033
- Kanda Y., Lee k.Y., Nakata Sh., Asaoka S., Misono M. Solid-State NMR of H3PW12O40·nH2O and H3PW12O40·6C2H5OH // Chem. Lett. 1988. V. 17(1). P. 139–142. https://doi.org/10.1246/cl.1988.139
- Mastikhin V.M., Kulikov S.M., Nosov A.V., Kozhevnikov I.V., Mudrakovsky I.L., Timofeeva M.N. 1H and 31P MAS NMR studies of solid heteropolyacids and H3PW12O40 supported on SiO2 // J. Mol. Catal. 1990. V. 60(1). P. 65–70. https://doi.org/10.1016/0304-5102(90)85068-S
- Mastikhin V.M., Terskikh V.V., Timofeeva M.N., Krivoruchko O.P. 1H, 31P NMR MAS, infrared and catalytic studies of heteropolyacid H3PW12O40 supported on MgF2 // J. Mol. Catal. A 1995. V. 95(2). P. 135–140. https://doi.org/10.1016/1381-1169(94)00003-4
- Filek U., Bressel A., Sulikowski B., Hunger M. Structural Stability and Brønsted Acidity of Thermally Treated AlPW12O40 in Comparison with H3PW12O40 // J. Phys. Chem. C. 2008. V. 112(49). P. 19470–19476. https://doi.org/10.1021/jp807947v
- Misono M., Sakata K., Yoneda Y., Lee W.Y. Acid-redox bifunctional properties of heteropoly compounds of molybdenum and tungsten correlated with catalytic activity for oxidation of methacrolein. Elsevier, Kodansha, Tokyo. 1980. ID1047.
- Hunger M. Bronsted Acid Sites in Zeolites Characterized by Multinuclear Solid-State NMR Spectroscopy // Catal. Rev.-Sci. Eng. 1997. V. 39. P. 345–393. https://doi.org/10.1080/01614949708007100
- McMurry J. Fundamentals of organic chemistry. Cengage learning. Stamford. 2011.
- Jiang Y., Hunger M., Wang W. On the reactivity of surface methoxy species in acidic zeolites // J. Am. Chem. Soc. 2006. V. 128. P. 11679–11692. https://doi.org/10.1021/ja061018y
- Bhan A., Allian A.D., Sunley G.J., Law D.J., Iglesia E. Specificity of Sites within Eight-Membered Ring Zeolite Channels for Carbonylation of Methyls to Acetyls // J. Am. Chem. Soc. 2006. V. 129(16). P. 4919–4924. https://doi.org/10.1021/ja070094d
- Maksimov G.M., Paukshis E.A., Budneva A.A., Maksimovskay R.I., Likholobov B.A. // Acidity of heteropoly acids with various structures and compositions studied by IR spectroscopy of the pyridinium salts // Russ. Chem. Bull. Int. Ed. 2001. V. 20. P. 584–590. https://doi.org/10.1023/A:1011384005996
- Shen H., Li Y., Huang Sh., Cai K., Cheng Z., Lv J., Ma X. The carbonylation of dimethyl ether catalyzed by supported heteropoly acids: the role of Bronsted acid properties // Catal. Today 2019. V. 330. P. 117–123. https://doi.org/10.1016/j.cattod.2018.04.001
- Khder A.E.R.S., Hassan H.M.A., El-Shall M.S. Acid catalyzed organic transformations by heteropoly tungstophosphoric acid supported on MCM-41 // Appl. Catal. A Gen. 2012. V. 411–412. P. 77–86. https://doi.org/10.1016/j.apcata.2011.10.024
- Sushkevich V.L., Ordomsky V.V., Ivanova I.I. Isoprene synthesis from formaldehyde and isobutene over Keggin-type heteropolyacids supported on silica // Catal. Sci. Technol. 2016. V. 6. P. 6354–6364. https://doi.org/10.1039/C6CY00761A
Дополнительные файлы

















