Современные промышленные и альтернативные методы получения алкиламинов
- Authors: Дементьева О.С.1, Борисов А.В.1,2, Баженов С.Д.1
-
Affiliations:
- Институт нефтехимического синтеза им. А. В. Топчиева РАН
- Российский государственный университет нефти и газа (НИУ) имени И. М. Губкина
- Issue: Vol 64, No 6 (2024)
- Pages: 509-544
- Section: Articles
- URL: https://journals.rcsi.science/0028-2421/article/view/282354
- DOI: https://doi.org/10.31857/S0028242124060016
- EDN: https://elibrary.ru/MGZVQA
- ID: 282354
Cite item
Abstract
В обзоре проведен анализ современной научно-технической литературы, посвященной традиционным промышленным методам и новым альтернативным способам получения аминов, в частности, алкиламинов, с применением гетерогенных и гомогенных катализаторов. Рассмотрены основные направления превращения углеродсодержащих молекул при взаимодействии с аммиаком и другими азотсодержащими соединениями в амины различной степени замещенности. Выделены основные подходы к дизайну и получению катализаторов синтеза аминов. Освещены основные проблемы альтернативных способов их производства. Продемонстрирована возможность вовлечения в синтез алкиламинов техногенного диоксида углерода как одного из компонентов комплекса технологий улавливания, утилизации и хранения углерода (carbon capture, utilization and storage — CCUS).
Full Text
About the authors
Оксана Сергеевна Дементьева
Институт нефтехимического синтеза им. А. В. Топчиева РАН
Author for correspondence.
Email: dementyeva@ips.ac.ru
ORCID iD: 0000-0001-6801-0158
с. н. с., к. х. н.
Russian Federation, Москва, 119991Антон Витальевич Борисов
Институт нефтехимического синтеза им. А. В. Топчиева РАН; Российский государственный университет нефти и газа (НИУ) имени И. М. Губкина
Email: dementyeva@ips.ac.ru
ORCID iD: 0009-0009-5217-5527
ст. лаборант
Russian Federation, Москва, 119991; Москва, 119991Степан Дмитриевич Баженов
Институт нефтехимического синтеза им. А. В. Топчиева РАН
Email: dementyeva@ips.ac.ru
ORCID iD: 0000-0002-2010-5294
зав. лаб., к. х. н.
Russian Federation, Москва, 119991References
- Suryanarayan N. Amines Market Size & Share Analysis — Growth Trends & Forecasts. 2024–2029. mordorintelligence.com. https://www.mordorintelligence.com/industry-reports/amines-market (дата обращения 15.03.2024).
- Grand View Research Inc. Global Amines Market Size & Outlook, 2023–2030. grandviewresearch.com. https://www.grandviewresearch.com/horizon/outlook/amines-market-size/global (дата обращения 15.03.2024).
- ООО “БизнесСтат”. Анализ рынка аминов в России в 2019–2023 гг., прогноз на 2024–2028 гг. businesstat.ru. https://businesstat.ru/catalog/id8579/ (дата обращения 15.03.2024).
- Streiff S., Jérôme F. Hydroamination of non-activated alkenes with ammonia: a holy grail in catalysis // Chem Soc Rev. 2021. V. 50. № 3. P. 1512–1521. https://doi.org/10.1039/C9CS00873J
- Visek K. Amines, Fatty. Kirk-Othmer Encyclopedia of Chemical Technology. December 2000. https://doi.org/10.1002/0471238961.0601202022091905.A01
- Danilov A.M. Research on fuel additives during 2011–2015 // Chem. Technol. Fuels Oils. 2017. V. 53. № 5. P. 705–721. https://doi.org/10.1007/S10553-017-0853-Z
- Peerman D., Tolberg W., Floyd D. Reaction of polyamide resins and epoxy resins // Ind. Eng. Chem. 2002. V. 49. № 7. P. 1091–1094. https://doi.org/10.1021/IE50571A025
- Fan X.-D., Deng Y., Waterhouse J., Pfromm P. Synthesis and characterization of polyamide resins from soy-based dimer acids and different amides // J. Appl. Polym. Sci. 1998. V. 68. P. 305–314. https://doi.org/10.1002/(SICI)1097-4628(19980411)68:2
- Nguyen T.A., Gregersen Ø.W., Männle F. Thermal oxidation of polyolefins by mild pro-oxidant additives based on iron carboxylates and lipophilic amines: degradability in the absence of light and effect on the adhesion to paperboard // Polymers (Basel). 2015. V. 7. № 8. P. 1522–1540. https://doi.org/10.3390/POLYM7081468
- Bonnaud P.A., Kinjo T., Sato N., Tohyama M. Adhesion and structure of lubricant films: Molecular simulations of amine-based organic additives in base oil at a model of steel surface // Tribol. Int. 2024. V. 193. ID109449. https://doi.org/10.1016/J.TRIBOINT.2024.109449
- Starostina I.A., Stoyanov O.V., Bogdanova S.A., Deberdeev R.J., Kurnosov V.V., Zaikov G.E. Studies on the surface properties and the adhesion to metal of polyethylene coatings modified with primary aromatic amines // J. Appl. Polym. Sci. 2001. V. 79. P. 388–397. https://doi.org/10.1002/1097-4628(20010418)80:3
- Kemalov A., Kemalov R. Practical aspects of development of universal emulsifiers for aqueous bituminous emulsions // World Appl. Sci. J. 2013. V. 23. № 6. P. 858–862. https://doi.org/10.5829/idosi.wasj.2013.23.06.13103
- Mercado R.A., Salager J.L., Sadtler V., Marchal P., Choplin L. Breaking of a cationic amine oil-in-water emulsion by pH increasing: Rheological monitoring to modelize asphalt emulsion rupture // Colloids Surf. A: Physicochem. Eng. Asp. 2014. V. 458. № 1. P. 63–68. https://doi.org/10.1016/J.COLSURFA.2014.03.109
- Kostag M., Jedvert K., Achtel C., Heinze T., El Seoud O.A. Recent advances in solvents for the dissolution, shaping and derivatization of cellulose: quaternary ammonium electrolytes and their solutions in water and molecular solvents // Molecules. 2018. V. 23. № 3. ID511. https://doi.org/10.3390/MOLECULES23030511
- Liang N., Liao R., Xiang M., Mo Y., Yuan Y. Influence of amine compounds on the thermal stability of paper-oil insulation // Polymers (Basel). 2018. V. 10. № 8. ID891. https://doi.org/10.3390/POLYM10080891
- Lu Ch., Chen J., Campbell., Rosencrance S., Rabideau J.S. Method for producing paper. 2018 // Patent US № 2018051416A1.
- Bell J.P. Structure of a typical amine-cured epoxy resin // J. Pol. Sci. A-2: Pol. Phys. 1970. V. 8. № 3. P. 417–436. https://doi.org/10.1002/POL.1970.160080308
- Smith I.T. The mechanism of the crosslinking of epoxide resins by amines // Polymer (Guildf). 1961. V. 2. № C. P. 95–108. https://doi.org/10.1016/0032-3861(61)90010-6
- Weinmann D.J., Dangayach K., Smith C. Amine-functional curatives for low temperature cure epoxy coatings-functional curatives for low temperature cure epoxy coatings // J. Coat. Techn. 1996. V. 68. P. 29–38.
- Abdel-Halim E.S. Amine salts-activated systems for one-step bleaching of cotton fabrics // Carbohydr. Polym. 2013. V. 96. № 1. P. 64–70. https://doi.org/10.1016/J.CARBPOL.2013.03.092
- Cai J.Y., Evans D.J. Guanidine derivatives used as peroxide activators for bleaching cellulosic textiles // Col. Technol. 2007. V. 123. № 2. P. 115–118. https://doi.org/10.1111/J.1478-4408.2007.00070.X
- Alexandratos S.D., Crick D.W. Polymer-supported reagents: Application to separation science // Ind. Eng. Chem. Res. 1996. V. 35. № 3. P. 635–644. https://doi.org/10.1021/IE9503196
- Elhalwagy M.E., Elsherbiny A.S., Gemeay A.H. Aminerich polymers for water purification applications // Mater. Today Chem. 2023. V. 27. ID101344. https://doi.org/10.1016/j.mtchem.2022.101344
- Zhao X., Deshmukh S.D., Rokke D.J., Zhang G., Wu Z., Miller J.T., Agrawal R. Investigating Chemistry of metal dissolution in amine-thiol mixtures and exploiting it toward benign ink formulation for metal chalcogenide thin films // Chem. Mater. 2019. V. 31. № 15. P. 5674–5682. https://doi.org/10.1021/acs.chemmater.9b01566
- Gutierrez X., Silva F., Morles A., Pazos D., Rivas H. The use of amines in the stabilization of acidic hydrocarbons in water emulsions. Pet. Sci. Technol. 2003. V. 21. № 7–8. P. 1219–1240. https://doi.org/10.1081/LFT-120018169
- Bernstein J.A., Stauder T., Bernstein D.I., Bernstein L. A combined respiratory and cutaneous hypersensitivity syndrome induced by work exposure to quaternary amines // J. Allergy. Clin Immunol. 1994. V. 94. № 2. P. 257–259. https://doi.org/10.1053/ai.1994.v94.a52646
- Pigatto P.D., Bigardi A.S., Cusano F. Contact dermatitis to cocamidopropylbetaine is caused by residual amines: Relevance, clinical characteristics, and review of the literature // Am. J. Contact Dermat. 1995. V. 6. № 1. P. 13–16. https://doi.org/10.1016/1046-199X(95)90062-4
- Paine M.R.L., Pianegonda N., Huynh T.Т., Manefield M., MacLaughlin S.A., Rice S., Barker P.J., Blanksby S.J. Evaluation of hindered amine light stabilisers and their N-chlorinated derivatives as antibacterial and antifungal additives for thermoset surface coatings // Prog. Org. Coat. 2016. V. 99. P. 330–336. https://doi.org/10.1016/J.PORGCOAT.2016.06.009
- Akers A., Ammermann E., Buschmann E., Götz N., Himmele W., Lorenz G., Pommer E. ‐H., Rentzea C., Röhl F., Siegel H., Zipperer B., Sauter H., Zipplies M. Chemistry and biology of novel amine fungicides: Attempts to improve the antifungal activity of fenpropimorph // Pestic. Sci. 1991. V. 31. № 4. P. 521–538. https://doi.org/10.1002/PS.2780310407
- Carvalho M.C., Pereira C., Gonçalves I.C., Pinheiro H.M., Santos A.R., Lopes A., Ferra M.I. Assessment of the biodegradability of a monosulfonated azo dye and aromatic amines // Int. Biod. Biodegr. 2008. V. 62. № 2. P. 96–103. https://doi.org/10.1016/J.IBIOD.2007.12.008
- Benkhaya S., Harfi S.El., Harfi A.El. Classifications, properties and applications of textile dyes: A review // Appl. J. Env. Eng. Sci. 2017. V. 3. № 3. P. 311–320. https://doi.org/10.48422/IMIST.PRSM/AJEES-V3I3.9681
- Lang Y., Zhou J., Sun J., Liang H., Zhang K., Wang C., Liu Y., Geng T. Effect of different ethylene oxide addition numbers on the performance of polyoxyethylene tallow amine as a pesticide emulsifier // Langmuir. 2024. V. 40. № 2. P. 1503–1514. https://doi.org/10.1021/acs.langmuir.3c03269
- Dong H., Xu S., Wang J., Zhang H., Chen Y., Bi L., Zhao Z. Synthesis and herbicidal application of turpentine derivative p-menthene type secondary amines as sustainable agrochemicals // New J. Chem. 2020. V. 44. № 20. P. 8280–8288. https://doi.org/10.1039/D0NJ00583E
- Yamazaki N., Iguchi T., Higashi F. The reaction of diphenyl carbonate with amines and its application to polymer synthesis // J. Pol. Sci.: Pol. Chem. Ed. 1979. V. 17. № 3. P. 835–841. https://doi.org/10.1002/POL.1979.170170322
- Froidevaux V., Negrell C., Caillol S., Pascault J.P., Boutevin B. Biobased amines: from synthesis to polymers; present and future // Chem Rev. 2016. V. 116. № 22. P. 14181–14224. https://doi.org/10.1021/acs.chemrev.6b00486
- Willars M., Hampson N.A., Atkinson A., Marshall A. The corrosion of iron in hydrochloric acid: Inhibition by amines // Surf. Technol. 1976. V. 4. № 5. P. 465–472. https://doi.org/10.1016/0376-4583(76)90059-5
- Badran B.M., Mohammed H.A., Aglan H.A. Effect of different polymers on the efficiency of water-borne methyl amine adduct as corrosion inhibitor for surface coatings // J. Appl. Polym. Sci. 2002. V. 85. № 4. P. 879–885. https://doi.org/10.1002/APP.10704
- Hamed O., Lail B.A., Deghles A., Qasem B., Azzaoui K., Obied A.A., Algarra M., Jodeh S. Synthesis of a cross-linked cellulose-based amine polymer and its application in wastewater purification // Environmental Science and Pollution Research. 2019. V. 26. № 27. P. 28080–28091. https://doi.org/10.1007/S11356-019-06001-4
- Filippov L.O., Duverger A., Filippova I.V., Kasaini H., Thiry J. Selective flotation of silicates and Ca-bearing minerals: тhe role of non-ionic reagent on cationic flotation // Miner Eng. 2012. V. 36–38. P. 314–323. https://doi.org/10.1016/J.MINENG.2012.07.013
- Wang R., Zhao H., Qi C., Yang X., Zhang S., Li M., Wang L. Novel tertiary amine-based biphasic solvent for energy-efficient CO2 capture with low corrosivity // Energy. 2022. V. 260. ID125045. https://doi.org/10.1016/J.ENERGY.2022.125045
- Meng F., Ju T., Han S., Lin L., Li J., Chen K., Jiang J. Study on the effectiveness of ionic liquid-based biphasic amine solvent in removing H2S, NH3 and CO2 from biogas and its influential characteristics // Chem. Eng. J. 2023. V. 474. ID145805. https://doi.org/10.1016/J.CEJ.2023.145805
- Wang R., Liu S., Li Q., Zhang S., Wang L., An S. CO2 capture performance and mechanism of blended amine solvents regulated by N-methylcyclohexyamine // Energy. 2021. V. 215. ID119209. https://doi.org/10.1016/J.ENERGY.2020.119209
- Ferruti P., Marchisio M.A., Duncan R. Poly(amido-amine)s: biomedical applications // Macromol. Rapid Commun. 2002. V. 23. P. 332–355. https://doi.org/10.1002/1521-3927(20020401)23:5/6
- Boehm J.C., Smietana J.M., Sorenson M.E., Garigipati R.S., Gallagher T.F., Sheldrake P.L., Bradbeer J., Badger A.M., Laydon J.T., Lee J.C., Hillegass L.M., Griswold D.E., Breton J.J., Chabot-Fletcher M.C., Adams J.L. 1-Substituted 4-aryl-5-pyridinylimidazoles: A new class of cytokine suppressive drugs with low 5-lipoxygenase and cyclooxygenase inhibitory potency // J. Med. Chem. 1996. V. 39. № 20. P. 3929–3937. https://doi.org/10.1021/jm960415o
- Chung J.-Y., Hwang U., Kim J., Kim N.-Y., Nam J., Jung J., Kim S.-H., Cho J.K., Lee B., Park I.-K., Suhr J., Nam J.-D. Amine-functionalized lignin as an eco-friendly antioxidant for rubber compounds // ACS Sustain. Chem. Eng. 2023. V. 11. № 6. P. 2303–2313. https://doi.org/10.1021/acssuschemeng.2c05878
- Sirisinha C., Phoowakeereewiwat S., Saeoui P. Cure and dynamic mechanical properties in peroxide-cured isoprene rubber: effects of stearic acid and amine-based antioxidant // Eur. Polym. J. 2004. V. 40. № 8. P. 1779–1785. https://doi.org/10.1016/J.EURPOLYMJ.2004.03.002
- Chemanalyst. Alkyl Amine Market Analysis: Industry Market Size, Plant Capacity, Process, Technology, Operating Efficiency, Demand & Supply, End-Use, Foreign Trade, Type, Sales Channel, Regional Demand, Company Share, Manufacturing Process, Policy and Regulatory Landscape, 2015–2030. chemanalyst.com. https://www.chemanalyst.com/industry-report/alkyl-amine-market-670 (дата обращения — 18.03.2024).
- Brudermüller M. BASF Report 2022. https://report.basf.com https://report.basf.com/2022/en/_assets/downloads/entire-basf-ar22.pdf. (дата обращения 15.05.2024).
- Chemanalyst. Methyl Amine Market Analysis: Industry Market Size, Plant Capacity, Production, Operating Efficiency, Demand & Supply, End-User Industries, Sales Channel, Regional Demand, Company Share, Manufacturing Process, 2015–2032. chemanalyst.com. https://www.chemanalyst.com/industry-report/methyl-amine-market-2864 (дата обращения 18.03.2024).
- Balker A., Kijenski J. Catalytic // Catal. Rev. Sci. Eng. 1985. V. 27. № 4. P. 653–697. https://doi.org/10.1080/01614948508064235
- Li J., Zhang Y., Kuruvinashetti K., Kornienko N. Construction of C–N bonds from small-molecule precursors through heterogeneous electrocatalysis // Nat. Rev. Chem. 2022. V. 6. № 5. P. 303–319. https://doi.org/10.1038/s41570-022-00379-5
- Dub P.A., Gordon J.C. The role of the metal-bound N–H functionality in Noyori-type molecular catalysts // Nat. Rev. Chem. 2018. V. 2. № 12. P. 396–408. https://doi.org/10.1038/s41570-018-0049-z
- Veisi H., Safarimehr P., Hemmati S. Buchwald–Hartwig C–N cross coupling reactions catalyzed by palladium nanoparticles immobilized on thio modified-multi walled carbon nanotubes as heterogeneous and recyclable nanocatalyst // Mat. Sci. Eng.: C. 2019. V. 96. P. 310–318. https://doi.org/10.1016/J.MSEC.2018.11.026
- Legnani L., Bhawal B.N., Morandi B. Recent developments in the direct synthesis of unprotected primary аmines // Synthesis (Stuttg). 2017. V. 49. № 04. P. 776–789. https://doi.org/10.1055/S-0036-1588371
- Gooßen L.J., Huang L., Arndt M., Gooßen K., Heydt H. Late transition metal-catalyzed hydroamination and hydroamidation // Chem. Rev. 2015. V. 115. № 7. P. 2596–2697. https://doi.org/10.1021/cr300389u
- Gao S., Zhu X., Li X., Wang Y., Zhang Y., Xie S., An J., Chen F., Liu S., Xu L. Thermodynamic study of direct amination of isobutylene to tert-butylamine // Chin. J. Catal. 2017. V. 38. № 1. P. 106–114. https://doi.org/10.1016/S1872-2067(16)62550-0
- Reznichenko A.L., Hultzsch K.C. Hydroamination of аlkenes // Organic Reactions. 2015. V. 88. № 1. P. 1–554. https://doi.org/10.1002/0471264180.OR088.01
- Sango T., Fischer N., Henkel R., Roessner F., Steen E. Van, Claeys M. Formation of nitrogen containing compounds from ammonia co-fed to the Fischer–Tropsch synthesis // Appl. Catal. A: Gen. 2015. V. 502. P. 150–156. https://doi.org/10.1016/J.APCATA.2015.06.006
- Rausch A.K., Schubert L., Henkel R., van Steen E., Claeys M., Roessner F. Enhanced olefin production in Fischer–Tropsch synthesis using ammonia containing synthesis gas feeds // Catal. Today. 2016. V. 275. P. 94–99. https://doi.org/10.1016/J.CATTOD.2016.02.002
- Kizilkaya A.C., Martínez-Monje M.E., Prieto G. Synthesis of acetonitrile from NH3/syngas mixtures on molybdenum nitride: Insights into the reaction mechanism // Catal. Today. 2024. V. 442. ID114947. https://doi.org/10.1016/J.CATTOD.2024.114947
- Gredig S.V., Koeppel R.A., Baiker A. Palladium catalyzed synthesis of methylamines from carbon dioxide, hydrogen and ammonia // Catal. Letters. 1997. V. 46. № 1–2. P. 49–55. https://doi.org/10.1023/A:1019085511301/METRICS
- Einemann M., Neumann F., Roessner F. Influence of ammonia and different promoters on the iron-based Fischer-Tropsch synthesis // Chem. Cat. Chem. 2024. V. 16. № 18. ID e202400726. https://doi.org/10.1002/CCTC.202400726
- Gardner D.A., Clark R.T. Catalytic process for preparing ethyl amines // Patent US № 4255357A 1980.
- Martinez P.J.V., Fowlkes R.L. Synthesis of lower alkyl amines // Patent US № 4314084A February 1982.
- Baiker A. Utilization of carbon dioxide in heterogeneous catalytic synthesis // Appl. Organomet. Chem. 2000. V. 14. № 12. P. 751–762. https://doi.org/10.1002/1099-0739(200012)14:12 <751::AID-AOC85>3.0.CO;2-J
- Hayes K.S. Industrial processes for manufacturing amines // Appl. Catal. A: Gen. 2001. V. 221. № 1–2. P. 187–195. https://doi.org/10.1016/S0926-860X(01)00813-4
- Yue C., Gu L., Zhang Z., Wei X., Yang H. Nickel- and cobalt-based heterogeneous catalytic systems for selective primary amination of alcohol with ammonia // Arab. J. Chem. 2022. V. 15. № 6. ID103865. https://doi.org/10.1016/J.ARABJC.2022.103865
- Jeon H.Y., Shin C.H., Jung H.J., Hong S.B. Catalytic evaluation of small-pore molecular sieves with different framework topologies for the synthesis of methylamines // Appl. Catal. A: Gen. 2006. V. 305. № 1. P. 70–78. https://doi.org/10.1016/J.APCATA.2006.02.044
- Qiao Y., Wu P., Xiang X., Yang M., Wang Q., Tian P., Liu Z. SAPO-34 synthesized with n-butylamine as a template and its catalytic application in the methanol amination reaction // Chin. J. Cat. 2017. V. 38. № 3. P. 574–582. https://doi.org/10.1016/S1872-2067(17)62775-X
- Liu Z., Wang Q., Liu S., Yang M., Fan D., Zhu D., Tian P. Synthesis of SAPO-34 by utilizing spent industrial MTO catalyst and their catalytic applications // Mat. Today Sust. 2023. V. 21. ID100302. https://doi.org/10.1016/J.MTSUST.2022.100302
- Wu P., Yang M., Zhang W., Zeng S., Gao M., Xu S., Tian P., Liu Z. Silicoaluminophosphate molecular sieve DNL-6: Synthesis with a novel template, N,N'dimethylethylenediamine, and its catalytic application // Chin. J. Cat. 2018. V. 39. № 9. P. 1511–1519. https://doi.org/10.1016/S1872-2067(18)63122-5
- Tijsebaert B., Yilmaz B., Müller U., Gies H., Zhang W., Bao X., Xiao F. S., Tatsumi T., De Vos D. Shape-selective synthesis of methylamines over the RRO zeolite Al-RUB-41 // J. Catal. 2011. V. 278. № 2. P. 246–252. https://doi.org/10.1016/J.JCAT.2010.12.010
- Wang T., Ibañez J., Wang K., Fang L., Sabbe M., Michel C., Paul S., Pera-Titus M., Sautet P. Rational design of selective metal catalysts for alcohol amination with ammonia // Nat. Catal. 2019. V. 2. № 9. P. 773–779. https://doi.org/10.1038/s41929-019-0327-2
- Kita Y., Kuwabara M., Yamadera S., Kamata K., Hara M. Effects of ruthenium hydride species on primary amine synthesis by direct amination of alcohols over a heterogeneous Ru catalyst // Chem. Sci. 2020. V. 11. № 36. P. 9884–9890. https://doi.org/10.1039/D0SC03858J
- Gao X., Sahsah D., Heyden A., Bond J.Q. Analysis of thermodynamics, kinetics, and reaction pathways in the amination of secondary alcohols over Ru/SiO2 // J. Catal. 2023. V. 424. P. 74–90. https://doi.org/10.1016/J.JCAT.2023.05.003
- Verma R., Jing Y., Liu H., Aggarwal V., Kumar Goswami H., Bala E., Ke Z., Kumar Verma P. Employing ammonia for diverse amination reactions: recent developments of abundantly available and challenging nitrogen sources // Eur. J. Org. Chem. 2022. V. 2022. № 25. ID e202200298. https://doi.org/10.1002/EJOC.202200298
- Gunanathan C., Milstein D. Selective synthesis of primary amines directly from alcohols and ammonia // Angew. Chem. Int. Ed. 2008. V. 47. № 45. P. 8661–8664. https://doi.org/10.1002/ANIE.200803229
- Best F., Mundstock A., Richter H., Kißling P. A., Hindricks K. D.J., Huang A., Behrens P., Caro J. Controlled methylamine synthesis in a membrane reactor featuring a highly steam selective K+-LTA membrane // Micro. Mesop. Mat. 2022. V. 337. ID111920. https://doi.org/10.1016/J.MICROMESO.2022.111920
- Irrgang T., Kempe R. Transition-metal-catalyzed reductive amination employing hydrogen // Chem. Rev. 2020. V. 120. № 17. P. 9583–9674. https://doi.org/10.1021/acs.chemrev.0c00248
- Luo D., He Y., Yu X., Wang F., Zhao J., Zheng W., Jiao H., Yang Y., Li Y., Wen X. Intrinsic mechanism of active metal dependent primary amine selectivity in the reductive amination of carbonyl compounds // J. Catal. 2021. V. 395. P. 293–301. https://doi.org/10.1016/J.JCAT.2021.01.016
- Kim J.E., Choi S., Balamurugan M., Jang J.H., Nam K.T. Electrochemical C–N bond formation for sustainable amine synthesis // Trends. Chem. 2020. V. 2. № 11. P. 1004–1019. https://doi.org/10.1016/j.trechm.2020.09.003
- Lehnherr D., Lam Y.H., Nicastri M.C., Liu J., Newman J.A., Regalado E.L., Dirocco D.A., Rovis T. Electrochemical synthesis of hindered primary and secondary amines via proton-coupled electron transfer // J. Am. Chem. Soc. 2020. V. 142. № 1. P. 468–478. https://doi.org/10.1021/jacs.9b10870
- Wu S., Huang X., Zhang H., Wei Z., Wang M. Efficient electrochemical hydrogenation of nitroaromatics into arylamines on a CuCo2O4 spinel cathode in an alkaline electrolyte // ACS Catal. 2022. V. 12. № 1. P. 58–65. https://doi.org/10.1021/acscatal.1c03763
- Zhang D., Chen J., Hao Z., Jiao L., Ge Q., Fu W.-F., Lv X.-J. Highly efficient electrochemical hydrogenation of acetonitrile to ethylamine for primary amine synthesis and promising hydrogen storage // Chem. Catalysis. 2021. V. 1. № 2. P. 393–406. https://doi.org/10.1016/j.checat.2021.03.012
- Wu D., Li J., Yao L., Xie R., Peng Z. An electrochemical ethylamine/acetonitrile redox method for ambient hydrogen storage // ACS Appl. Mater. Interfaces. 2021. V. 13. № 46. P. 55292–55298. https://doi.org/10.1021/acsami.1c20498
- Wu Y., Jiang Z., Lin Z., Liang Y., Wang H. Direct electrosynthesis of methylamine from carbon dioxide and nitrate // Nat. Sust. 2021. V. 4. № 8. P. 725–730. https://doi.org/10.1038/s41893-021-00705-7
- Rooney C.L., Wu Y., Tao Z., Wang H. Electrochemical reductive N-methylation with CO2 enabled by a molecular catalyst // J. Am. Chem. Soc. 2021. V. 143. № 47. P. 19983–19991. https://doi.org/10.1021/jacs.1c10863
- Tao Z., Rooney C.L., Liang Y., Wang H. Accessing organonitrogen compounds via C–N coupling in electrocatalytic CO2 reduction // J. Am. Chem. Soc. 2021. V. 143. № 47. P. 19630–19642. https://doi.org/10.1021/jacs.1c10714
- Rooney C.L., Wu Y., Tao Z., Wang H. Electrochemical N-мethylation with CO2 enabled by a molecular catalystм// J Am Chem Soc. 2021. V. 143. № 47. P. 19983–19991. https://doi.org/10.1021/jacs.1c10863
- Tao Z., Wu Y., Wu Z., Shang B., Rooney C., Wang H. Cascade electrocatalytic reduction of carbon dioxide and nitrate to ethylamine // J. Ener. Chem. 2022. V. 65. P. 367–370. https://doi.org/10.1016/J.JECHEM.2021.06.007
- Jia R., Liu H., Li S., Lian Y., Dai Y., Wang Y. A kinetic study on the electrochemical hydrogenation of N,N-dimethylformamide to trimethylamine // Int. J. Electrochem. Sci. 2020. V. 15. № 5. P. 3914–3921. https://doi.org/10.20964/2020.05.39
- Slabu I., Galman J.L., Lloyd R.C., Turner N.J. Discovery, engineering, and synthetic application of transaminase biocatalysts // ACS Catal. 2017. V. 7. № 12. P. 8263–8284. https://doi.org/10.1021/acscatal.7b02686.93
- Grogan G. Synthesis of chiral amines using redox biocatalysis // Curr. Opin. Chem. Biol. 2018. V. 43. P. 15–22. https://doi.org/10.1016/J.CBPA.2017.09.008
- Fuchs M., Tauber K., Sattler J., Lechner H., Pfeffer J., Kroutil W., Faber K. Amination of benzylic and cinnamic alcohols via a biocatalytic, aerobic, oxidation–transamination cascade // RSC Adv. 2012. V. 2. № 15. P. 6262–6265. https://doi.org/10.1039/C2RA20800H
- Schätzle S., Steffen-Munsberg F., Thontowi A., Höhne M., Robins K., Bornscheuer U.T. Enzymatic asymmetric synthesis of enantiomerically pure aliphatic, aromatic and arylaliphatic amines with (R)-selective amine transaminases // Adv. Synth. Catal. 2011. V. 353. № 13. P. 2439–2445. https://doi.org/10.1002/ADSC.201100435
- Gomm A., O’Reilly E. Transaminases for chiral amine synthesis // Curr. Opin. Chem. Biol. 2018. V. 43. P. 106–112. https://doi.org/10.1016/J.CBPA.2017.12.007
- Guo F., Berglund P. Transaminase biocatalysis: optimization and application // Green Chem. 2017. V. 19. № 2. P. 333–360. https://doi.org/10.1039/C6GC02328B
- Knaus T., Böhmer W., Mutti F.G. Amine dehydrogenases: efficient biocatalysts for the reductive amination of carbonyl compounds // Green Chem. 2017. V. 19. № 2. P. 453–463. https://doi.org/10.1039/C6GC01987K
- Dold S.M., Syldatk C., Rudat J. Transaminases and their Applications // Green Biocat. 2016. P. 715–746. https://doi.org/10.1002/9781118828083.CH29
- Patil M.D., Grogan G., Bommarius A., Yun H. Recent advances in ω-transaminase-mediated biocatalysis for the enantioselective synthesis of chiral amines // Catal. 2018. V. 8. № 7. ID254. https://doi.org/10.3390/CATAL8070254
- Inoue F., Kashihara M., Yadav M.R., Nakao Y. Buchwald–Hartwig Amination of Nitroarenes // Chem. Int. Ed. 2017. V. 56. № 43. P. 13307–13309. https://doi.org/10.1002/ANIE.201706982
- Pithani S., Malmgren M., Aurell C.J., Nikitidis G., Friis S.D. Biphasic aqueous reaction conditions for process-friendly palladium-catalyzed C–N cross-coupling of aryl amines // Org. Process Res. Dev. 2019. V. 23. № 8. P. 1752–1757. https://doi.org/10.1021/acs.oprd.9b00237
- Tian X., Lin J., Zou S., Lv J., Huang Q., Zhu J., Huang S., Wang Q. [Pd(IPr*R)(acac)Cl]: efficient bulky Pd–NHC catalyst for Buchwald–Hartwig C–N cross-coupling reaction // J. Organomet. Chem. 2018. V. 861. P. 125–130. https://doi.org/10.1016/J.JORGANCHEM.2018.02.035
- Dennis J.M., White N.A., Liu R.Y., Buchwald S.L. Pd-Catalyzed C–N coupling reactions facilitated by organic bases: mechanistic investigation leads to enhanced reactivity in the arylation of weakly binding amines // ACS Catal. 2019. V. 9. № 5. P. 3822–3830. https://doi.org/10.1021/acs.oprd.9b00237
- Panahi F., Daneshgar F., Haghighi F., Khalafi-Nezhad A. Immobilized Pd nanoparticles on silica-starch substrate (PNP-SSS): Efficient heterogeneous catalyst in Buchwald–Hartwig C–N cross coupling reaction // J. Organomet. Chem. 2017. V. 851. P. 210–217. https://doi.org/10.1016/J.JORGANCHEM.2017.09.037
- Lim T., Byun S., Kim B.M. Pd(PPh3)4-Catalyzed Buchwald–Hartwig amination of aryl fluorosulfonates with aryl amines // Asian J Org Chem. 2017. V. 6. № 9. P. 1222–1225. https://doi.org/10.1002/AJOC.201700064
- Chen Z., Zeng H., Girard S.A., Wang F., Chen N., Li C.-J. Formal direct cross-coupling of phenols with amines // Angew. Chem. 2015. V. 127. № 48. P. 14695–14699. https://doi.org/10.1002/ANGE.201506751
- Veisi H., Sarachegol P., Hemmati S. Palladium(II) anchored on polydopamine coated-magnetic nanoparticles (Fe3OааPDA@Pd(II)): а heterogeneous and core–shell nanocatalyst in Buchwald–Hartwig C–N cross coupling reactions // Polyhedron. 2018. V. 156. P. 64–71. https://doi.org/10.1016/J.POLY.2018.09.019
- Veisi H., Tamoradi T., Karmakar B., Hemmati S. Green tea extract–modified silica gel decorated with palladium nanoparticles as a heterogeneous and recyclable nanocatalyst for Buchwald-Hartwig C–N cross-coupling reactions // J. Phys. Chem. Sol. 2020. V. 138. ID109256. https://doi.org/10.1016/J.JPCS.2019.109256
- Villatoro R.S., Belfield J.R., Arman H.D., Hernandez L.W., Simmons E.M., Garlets Z.J., Wisniewski S.R., Coombs J.R., Frantz D.E. General Method for Ni–C–N cross-couplings of (hetero)aryl chlorides with anilines and aliphatic amines under homogeneous conditions using a dual-base strategy // Organometallics. 2023. V. 42. № 21. P. 3164–3172. https://doi.org/10.1021/acs.organomet.3c00419
- Liu R.Y., Dennis J.M., Buchwald S.L. The quest for the ideal base: rational design of a nickel precatalyst enables mild, homogeneous C-N cross-coupling // J. Am. Chem. Soc. 2020. V. 142. № 9. P. 4500–4507. https://doi.org/10.1021/jacs.0c00286
- Müller T. E., Beller M. Metal-initiated amination of alkenes and alkynes† // Chem. Rev. 1998. V. 98. № 2. P. 675–703. https://doi.org/10.1021/CR960433D
- Eller K., Henkes E., Rossbacher R., Höke H. Amines, Aliphatic. Ullmann’s Enc. Ind. Chem. 2000. https://doi.org/10.1002/14356007.A02_001
- Krimen L.I., Cota D.J. The ritter reaction // Org. React. 2011. P. 213–325. https://doi.org/10.1002/0471264180.OR017.03
- Chheda B.D., Pendergast J.G., Rangavajjula S., Trauth D.M. Process for preparation of tertiary alkyl primary amines // Patent WO № 2014165586A2. 2014.
- Teter J.W. Production of organic compounds containing nitrogen // Patent US № 2381470A. 1945.
- Yang Y., Wong N.I., Teo P. Formal // Eu. J. Org. Chem. 2015. V. 2015. № 6. P. 1207–1210. https://doi.org/10.1002/EJOC.201403654
- Strom A.E., Hartwig J.F. One-pot anti-markovnikov hydroamination of unactivated alkenes by hydrozirconation and amination // J. Org. Chem. 2013. V. 78. № 17. P. 8909–8914. https://doi.org/10.1021/jo401498w
- Li Y., Marks T.J. Organolanthanide-catalyzed intramolecular hydroamination/cyclization of aminoalkynes // J. Am. Chem. Soc. 1996. V. 118. № 39. P. 9295–9306. https://doi.org/10.1021/ja9612413
- Ryu J.S., Li G.Y., Marks T.J. Organolathanide-catalyzed regioselective intermolecular hydroamination of alkenes, alkynes, vinylarenes, di- and trivinylarenes, and methylenecyclopropanes. Scope and mechanistic comparison to intramolecular cyclohydroaminations // J. Am. Chem. Soc. 2003. V. 125. № 41. P. 12584–12605. https://doi.org/10.1021/ja035867m
- Hölderich W.F., Heitmann G. Synthesis of intermediate and fine chemicals on heterogeneous catalysts with respect to environmental protection // Catal. Today. 1997. V. 38. № 2. P. 227–233. https://doi.org/10.1016/S0920-5861(97)00071-0
- Peterson J.O.H., Fales H.S. Amines via the amination of olefins // Patent US № 4307250A. 1981.
- Peterson J.O.H., Fales H.S. Amines via the amination of olefins // Patent US № М4375002A. 1983.
- Taglieber V., Hoelderich W., Kummer R., Mross W.D., Saladin G. Production of amines from an olefin and ammonia or a primary or secondary amine // Patent US № 4929759A. 1990.
- Suryanarayan N. Alkyl Amines Market Size & Share Analysis — Growth Trends & Forecasts (2024–2029). https://www.mordorintelligence.com/industry-reports/alkylamines-market (дата обращения 15.03.2024).
- Taglieber V., Hoelderich W., Kummer R., Mross W.D., Saladin G. Preparation of tert-butylamine from isobutene // Patent US № 4929758A. 1990.
- Brudermüller M. BASF completes capacity expansion for tertiary butylamine in Nanjing, China. https://report.basf.com. https://www.basf.com/jp/en/media/news-releases/ global/2015/09/capacit-expansion-tba-nanjing.html (дата обращения 15.05.2024).
- Mizuno N., Tabata M., Uematsu T., Iwamoto M. 1.8 Direct amination of lower alkenes with ammonia over zeolite catalysts // Stud. Surf. Sci. Catal. 1994. V. 90. № C. P. 71–76. https://doi.org/10.1016/S0167-2991(08)61801-7
- Deeba M., Ford M.E., Johnson T.A. Direct amination of ethylene by zeolite catalysis // J. Chem. Soc. Chem. Commun. 1987. № 8. P. 562–563. https://doi.org/10.1039/C39870000562
- Deeba M., Ford M.E. Direct amination of olefins: A comparative study over erionite and Y zeolites // Zeolites. 1990. V. 10. № 8. P. 794–797. https://doi.org/10.1016/0144-2449(90)90064-X
- Ho C.R., Bettinson L.A., Choi J., Head-Gordon M., Bell A.T. Zeolite-catalyzed isobutene amination: mechanism and kinetics // ACS Catal. 2019. V. 9. № 8. P. 7012–7022. https://doi.org/10.1021/acscatal.9b01799
- Hares K., Wegener H.W., Roth T.F.H., Reichert R., Vogt D., Seidensticker T. Primary amines from alkenes and carbonyl compounds: highly selective hydrogenation of oximes using a homogeneous Ru-catalyst // Catal. Sci. Technol. 2024. V. 14. № 10. P. 2940–2950. https://doi.org/10.1039/D4CY00368C
- Du Y.D., Chen B.H., Shu W. Direct access to primary amines from alkenes by selective metal-free hydroamination // Angew. Chem. Int. Ed. 2021. V. 60. № 18. P. 9875–9880. https://doi.org/10.1002/ANIE.202016679
- Masahide Y., Ryuji K., Hiroshi T., Daigo U., Kazuaki I., Koutaro J., Tsutomu S., Toshiaki Y. Redox-photosensitized aminations of 1,2-а-1,3-cycloalkadienes, аrylcyclopropanes, and quadricyclane with ammonia // J. Org. Chem. 2003. V. 68. № 20. P. 7618–7624. https://doi.org/10.1021/jo030053
- Khedkar V., Tillack A., Benisch C., Melder J.P., Beller M. Base-catalyzed hydroamination of ethylene with diethylamine // J. Mol. Catal. A: Chem. 2005. V. 241. № 1–2. P. 175–183. https://doi.org/10.1016/J.MOLCATA.2005.06.068
- Boehling R., Steinbrenner U., Funke F., Dier R. Method for producing amines by means of olefin amination in the presence of unsaturated nitrogen compounds // Patent WO № 03042156A1. 2003.
- Reznichenko A.L., Nguyen H.N., Hultzsch K.C. Asymmetric intermolecular hydroamination of unactivated alkenes with simple amines // Angew. Chem. Int. Ed. 2010. V. 49. № 47. P. 8984–8987. https://doi.org/10.1002/ANIE.201004570
- Funke F., Steinbrenner U., Boehling R. Method for producing dialkyl ethyl amines from dialkyl amines and ethylene // Patent WO № 03042155A2. 2003.
- Miller D.C., Ganley J.M., Musacchio A.J., Sherwood T.C., Ewing W.R., Knowles R.R. Anti-markovnikov hydroamination of unactivated alkenes with primary alkyl amines // J. Am. Chem. Soc. 2019. V. 141. № 42. P. 16590–16594. https://doi.org/10.1021/jacs.9b08746
- Kurtz A.N. Production of methylamines // Patent US № 3444203A. 1969.
- Dement’ev K.I., Dementeva O.S., Ivantsov M.I., Kulikova M.V., Magomedova M.V., Maximov A.L., Lyadov A.S., Starozhitskaya A.V., Chudakova M.V. Promising approaches to carbon dioxide processing using heterogeneous catalysts (a review) // Petrol. Chemistry. 2022. V. 62. № 5. P. 445–474. https://doi.org/10.1134/S0965544122050012
- Kulikova M.V., Khadzhiev S.N. Metal-containing nanodispersions as Fischer–Tropsch catalysts in three-phase slurry reactors // Petrol. Chemistry. 2017. V. 57. № 12. P. 1173–1176. https://doi.org/10.1134/S0965544117060202
- Kulikova M.V. The new Fischer-Tropsch process over ultrafine catalysts // Catal. Today. 2020. V. 348. P. 89–94. https://doi.org/10.1016/J.CATTOD.2019.09.036
- Corbin D.R., Schwarz S., Sonnichsen G.C. Methylamines synthesis: A review // Catal. Today. 1997. V. 37. № 2. P. 71–102. https://doi.org/10.1016/S0920-5861(97)00003-5
- Kliger G.A., Glebov L.S., Popova T.P., Marchevskaya E.V., Beryezkin V.G., Loktev S.M. Carbon number distribution and the chain-growth mechanism of products in the modified Fischer–Tropsch synthesis on a reduced promoted fused magnetite catalyst // J. Catal. 1988. V. 111. № 2. P. 418–420. https://doi.org/10.1016/0021-9517(88)90100-5
- Gredig S.V., Koeppel R.A., Baiker A. Comparative study of synthesis of methylamines from carbon oxides and ammonia over Cu/Al2O3 // Catal. Today. 1996. V. 29. № 1–4. P. 339–342. https://doi.org/10.1016/0920-5861(95)00301-0
- European Commission. EDGAR — The emissions database for global atmospheric research. https://edgar.jrc.ec.europa.eu/country_profile/WORLD (дата обращения — 19.05.2024).
- Vogt E.T.C., Weckhuysen B.M. The refinery of the future // Nature. 2024. V. 629. № 8011. P. 295–306. https://doi.org/10.1038/s41586-024-07322-2
- Hoeppe P. Trends in weather related disasters — Consequences for insurers and society // Weather Clim. Extrem. 2016. V. 11. P. 70–79. https://doi.org/10.1016/J.WACE.2015.10.002
- Achakulwisut P., Erickson P., Guivarch C., Schaeffer R., Brutschin E., Pye S. Global fossil fuel reduction pathways under different climate mitigation strategies and ambitions // Nat. Com. 2023. V. 14. № 1. P. 1–15. https://doi.org/10.1038/s41467-023-41105-z
- Jaccard M. Sustainable fossil fuels: the unusual suspect in the quest for clean and enduring energy. Cambridge University Press. 2006.
- Crippa M., Guizzardi D., Solazzo E., Muntean M., Schaaf E., Monforti-Ferrario F., Banja M., Olivier J.G.J., Grassi G., Rossi S., Vignati E. GHG Emissions of All World Countries. 2021 Report, EUR30831 EN, Publications Office of the European Union, Luxembourg. https://doi.org/10.2760/173513
- Shugurov M. International cooperation on climate research and green technologies in the face of sanctions: The case of Russia // Green Fin. 2023. V. 5. № 2. P. 102–153. https://doi.org/10.3934/GF.2023006
- Liu S., Wang M., Cheng Q., He Y., Ni J., Liu J., Yan C., Qian T. Turning waste into wealth: sustainable production of high-value-added chemicals from catalytic coupling of carbon dioxide and nitrogenous small molecules // ACS Nano. 2022. V. 16. № 11. P. 17911–17930. https://doi.org/10.1021/acsnano.2c09168
- Blay-Roger R., Nawaz M.A., Baena-Moreno F.M., Bobadilla L.F., Reina T.R., Odriozola J.A. Tandem catalytic approaches for CO2 enriched Fischer-Tropsch synthesis // Prog. Energy Combust. Sci. 2024. V. 103. ID101159. https://doi.org/10.1016/J.PECS.2024.101159
- Meng W., de Jong B.C.A., van de Bovenkamp H.V., Boer G.J., Leendert Bezemer G., Iulian Dugulan A., Xie J. Selectivity control between reverse water-gas shift and fischer-tropsch synthesis in carbon-supported iron-based catalysts for CO2 hydrogenation // Chem. Eng. J. 2024. V. 489. ID151166. https://doi.org/10.1016/J.CEJ.2024.151166
- Murciano R., Serra J.M., Martínez A. Direct hydrogenation of CO2 to aromatics via Fischer–Tropsch route over tandem K-Fe/Al2O3+H-ZSM-5 catalysts: Influence of zeolite properties // Catal. Today. 2024. V. 427. ID114404. https://doi.org/10.1016/J.CATTOD.2023.114404
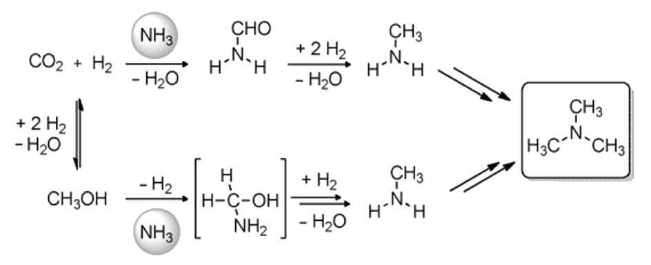
- Gredig S.V., Koeppel R.A., Baiker A. Synthesis of methylamines from carbon dioxide and ammonia // J. Chem. Soc. Chem. Commun. 1995. № 1. P. 73–74. https://doi.org/10.1039/C39950000073
- Gredig S.V., Maurer R., Koeppel R.A., Baiker A. Copper-catalyzed synthesis of methylamines from CO2, H2 and NH3. Influence of support // J. Mol. Catal. A: Chem. 1997. V. 127. № 1–3. P. 133–142. https://doi.org/10.1016/S1381-1169(97)00117-9
- Auer S.M., Gredig S.V., Köppel R.A., Baiker A. Synthesis of methylamines from CO2, H2 and NH3 over Cu–Mg–Al mixed oxides // J. Mol. Catal. A: Chem. 1999. V. 141. № 1–3. P. 193–203. https://doi.org/10.1016/S1381-1169(98)00263-5
- Gredig S.V., Koeppel R.A., Baiker A. Synthesis of methylamines from CO2, H2 and NH // Catalytic behaviour of various metal-alumina catalysts. Appl. Catal. A: Gen. 1997. V. 162. № 1–2. P. 249–260. https://doi.org/10.1016/S0926-860X(97)00107-5
- Beydoun K., Thenert K., Streng E.S., Brosinski S., Leitner W., Klankermayer J. Selective synthesis of trimethylamine by catalytic N-мethylation of аmmonia and аmmonium сhloride by utilizing сarbon dioxide and molecular hydrogen // Chem. Cat. Chem. 2016. V. 8. № 1. P. 135–138. https://doi.org/10.1002/CCTC.201501116
- Kalck P., Urrutigoïty M. Tandem Hydroaminomethylation Reaction to Synthesize Amines from Alkenes // Chem. Rev. 2018. V. 118. № 7. P. 3833–3861. https://doi.org/10.1021/acs.chemrev.7b00667
- Knifton J.F. Primary amine syntheses from syngas, olefins and ammonia // Catal. Today. 1997. V. 36. № 3. P. 305–310. https://doi.org/10.1016/S0920-5861(96)00225-8
- Knifton J.F., Lin J.J. Syngas reactions Part XV. Primary amine syntheses from olefins, syngas and ammonia // J. Mol. Catal. 1993. V. 81. № 1. P. 27–36. https://doi.org/10.1016/0304-5102(93)80020-U
- Zimmermann B., Herwig J., Beller M. The first efficient hydroaminomethylation with ammonia: with dual metal catalysts and two-phase catalysis to primary amines // Angew. Chem. Int. Ed. 1999. V. 38. № 16. P. 2372–2375. https://doi.org/10.1002/(SICI)1521–3773 (19990816). 38:16<2372::AID-ANIE2372>3.0.CO;2-H
- Karakhanov E., Maksimov A., Kardasheva Y., Runova E., Zakharov R., Terenina M., Kenneally C., Arredondo V. Methylformate as replacement of syngas in one-pot catalytic synthesis of amines from olefins // Catal. Sci. Technol. 2014. V. 4. № 2. P. 540–547. https://doi.org/10.1039/C3CY00862B
- Fuchs S., Rösler T., Grabe B., Kampwerth A., Meier G., Strutz H., Behr A., Vorholt A. J. Synthesis of primary amines via linkage of hydroaminomethylation of olefins and splitting of secondary amines // Appl. Catal. A: Gen. 2018. V. 550. P. 198–205. https://doi.org/10.1016/J.APCATA.2017.11.010
Supplementary files















