Влияние условий формирования композитного катализатора на основе железа и термолизованного поливинилового спирта на селективность образования изопарафинов и олефинов в условиях синтеза Фишера–Тропша
- Авторы: Иванцов М.И.1, Дементьева О.С.1, Куликова М.В.1
-
Учреждения:
- Институт нефтехимического синтеза им. А.В. Топчиева РАН
- Выпуск: Том 64, № 4 (2024)
- Страницы: 373-383
- Раздел: Статьи
- URL: https://journals.rcsi.science/0028-2421/article/view/280353
- DOI: https://doi.org/10.31857/S0028242124040052
- EDN: https://elibrary.ru/MVOQJA
- ID: 280353
Цитировать
Полный текст
Аннотация
В работе впервые показана возможность смещения селективности синтеза Фишера–Тропша в сторону образования олефинов и изопарафинов путем направленного синтеза композитного катализатора на основе железа и поливинилового спирта (ПВС). Композиты, представляющие собой нитрат железа, иммобилизованный на термолизованном поливиниловом спирте, охарактеризованы несколькими физико-химическими методами (РФА, БЭТ, ИК-Фурье-спектроскопия). Показано влияние температуры формирования композита на фазовый состав металлсодержащих частиц. Полученные композитные материалы являются высокоактивными катализаторами синтеза Фишера–Тропша, конверсия СО в их присутствии достигала 96% без стадии предварительной активации. Впервые установлено, что состав жидких продуктов синтеза в значительной степени зависит от условий формирования контактов (катализаторов) и селективность реакции может быть сдвинута в сторону образования олефинов и изопарафинов (до 90%). Зафиксировано нестандартное распределение спиртов в оксигенатах с существенным преобладанием этанола.
Ключевые слова
Полный текст
Композитные материалы представляют собой высокодисперсные системы „твердое в твердом“ и находят широкое применение в различных областях, в том числе в качестве катализаторов химических реакций [1]. Наличие в их составе наноразмерных металлсодержащих частиц существенно расширяет их возможности [2, 3]. В последнее время большое количество работ посвящено катализаторам синтеза Фишера–Тропша (СФТ) с высокоразвитой поверхностью на основе углеродных материалов или полимеров [4]. Актуальность применения подобных каталитических систем именно для этого процесса обусловлена особенностями протекания гетерогенно-каталитической реакции поликонденсации синтез-газа [5]. В первую очередь катализаторы такого типа позволяют снять внутридиффузионные ограничения, во вторую – их преимуществом является отсутствие необходимости предварительного активирования образцов, поскольку активная фаза металла образуется на стадии формирования композита с участием полимерного компонента системы [6, 7].
Существуют разные методы синтеза композитных материалов для получения катализаторов, активных в процессе СФТ. Особый интерес представляет совместный термолиз смесей полимеров и солей металлов VIII группы ввиду простоты и универсальности этого способа [8]. Полученные таким образом композиты представляют собой наночастицы металлсодержащей фазы, диспергированные в органической матрице, подвергнутой пиролизу выше температуры ее разложения [9]. Протекающее в процессе термообработки разрушение полимера происходит с выделением газообразных продуктов, способных восстанавливать металлсодержащий компонент [10, 11]. Наличие матрицы препятствует окислению наночастиц, что позволяет получать непирофорные материалы с восстановленными частицами [12]. Формирующиеся композиты с ПВС представляют собой дисперсные системы „твердое в твердом“, где образующиеся металлсодержащие наночастицы распределены в углеродсодержащей матрице. Таким образом, в процессе приготовления катализаторов происходит образование активной в СФТ металлсодержащей фазы.
Ранее была исследована зависимость физико-химических и каталитических свойств композита от природы полимерной матрицы [13–16]. Было обнаружено, что система на основе ИК пиролизованного ПВС активна в процессе СФТ. Так как СФТ может быть представлен как восстановительная олигомеризация CO, то данный процесс подчиняется формальной кинетике полимеризации. Известно, что молекулярно-массовое распределение (ММР) продуктов может быть определено соотношением констант роста и обрыва цепи и описывается математическим уравнением Андерсона–Шульца–Флори, которое наглядно демонстрирует значительные ограничения, накладываемые на селективность процесса [17]. Самым интересным с научной и практической точки зрения остается возможность регулирования селективности реакции, что может быть реализовано с использованием направленного генезиса каталитической системы, в результате чего сформированные контакты будут демонстрировать повышенную селективность по конкретным продуктам, например олефинам или изопарафинам [18]. Так, способом направленного конструирования каталитической системы может быть осуществлен синтез композитных материалов с заданным составом активной каталитической фазы. Надо отметить, что в литературе практически отсутствуют данные по направленному варьированию селективности синтеза Фишера–Тропша с использованием композитных катализаторов. Одним из способов влияния на фазовый состав наночастиц композита является варьирование температуры его формирования
Цель данной работы – изучение зависимости активности и селективности композитов на основе поливинилового спирта и железа(III) в образовании олефинов и изопарафинов в процессе СФТ от условий термической деструкции их прекурсоров.
ЭКСПЕРИМЕНТАЛЬНАЯ ЧАСТЬ
Реактивы. Для приготовления композитных катализаторов использовали нитрат железа Fe(NO3)3·9Н2О (ч. д. а., Sigma-Aldrich) и поливиниловый спирт (х. ч., ГОСТ 10779-78).
Приготовление катализатора. 10 г поливинилового спирта (ПВС) с мол. массой 26.3–30.0‧103 г/моль растворили в дистиллированной воде при нагревании. К полученному раствору добавили 14.4 г Fe(NO3)3‧9Н2О (из расчета 20% Fe от массы полимера). Раствор поместили в чашку Петри и высушили в сушильном шкафу при 80°С до постоянной массы, а затем сухую смесь подвергли термообработке в токе азота при 250, 350 и 500°С. Полученный катализатор представляет собой мелкозернистый порошок черного цвета, негигроскопичный, непирофорный.
Физико-химические исследования
РФА проводили при комнатной температуре с использованием рентгеновского дифрактометра „Дифрей-401“ (Россия). Применяли CrKα-излучение с фокусировкой по Бреггу–Брентано.
Регистрацию ИК-спектров проводили методом отражения на ИК-микроскопе HYPERION-2000, сопряженном с ИК-Фурье спектрометром IFS-66 ν/s Bruker (диапазон 600–4000 см–1), Германия.
Площадь поверхности образцов определяли после их тестирования как катализаторов конверсии синтез-газа. Для этой цели использовали анализатор ASAP 2020 V4.00 (США). Температура адсорбции -195.7°, адсорбат – азот. Удельную поверхность рассчитали по методу БЭТ, диаметр и объем пор – по методу BJH.
Для тестирования использовали катализаторы, не подвергнутые предварительному восстановлению. Катализатор предварительно разбавляли кварцем фракции 0.25–0.5 мм в соотношении 1/1. В реактор загружали 5 мл катализатора (фракция 0.5–1.0 мм); при этом масса образца зависела от условий термообработки и изменялась в диапазоне 0.31–0.52 г.
Конверсию синтез-газа осуществляли в проточном трубчатом реакторе, выполненном из нержавеющей стали с внутренним диаметром 12 мм. Условия синтеза: 220–400°С, 2 МПа, СО : Н2 = 1 : 1 (мол), объемная скорость подачи сырья (GHSV) 1000 ч-1. Подъем температуры осуществляли ступенчато (20°С каждые 12 ч). В конце каждого изотермического режима осуществляли отбор проб газа и жидкости на анализ.
Анализ исходных веществ и продуктов реакции
Синтез-газ и газообразные продукты синтеза анализировали методом ГАХ на хроматографе „Кристаллюкс-4000“. Детектор – катарометр, газ-носитель – гелий. Использовали две колонки (3 м × 3 мм): для разделения СО и N2 колонку заполняли молекулярными ситами СаА (температурный режим – изотермический, 80°С); для разделения СО2 и углеводородов С1–С4 колонку заполняли Hayesep R (температурный режим – программированный, 80–200°С, 8°С/мин).
Жидкие углеводороды анализировали на хроматографе „Кристаллюкс-4000М“, детектор – пламенно-ионизационный. Скорость подачи газов: азот – 30 мл/мин, водород – 25 мл/мин, воздух – 250 мл/мин. Для анализа использовали капиллярную колонку OV–351 (50 м × 0.32 мм). Температурный режим: 50°С (2 мин) – 50–260°С, 6°С/мин – 260–270°С, 5°С/мин –270°С (10 мин).
Кислородсодержащие продукты, содержащиеся в водной фазе, анализировали методом ГЖХ на хроматографе „Кристаллюкс-4000М“, детектор – пламенно-ионизационный. Скорость подачи газов: гелий – 20 мл/мин, водорода – 25 мл/мин, воздух – 250 мл/мин. Для анализа использовали капиллярную колонку HP-FFAP (полиэтиленгликоль, модифицированный нитро-терефталевой кислотой) (50 м × 0.32 мм × 0.50 мкм). Объем пробы – 0.3 мкл. Температурный режим: программируемый, 70°С (8 мин), 70–110°С, 10°С/мин, 110–220°С, 15°С/мин – 220°С (10 мин). Для количественного расчета использовали метод внутреннего стандарта (стандарт – изобутиловый спирт).
РЕЗУЛЬТАТЫ И ИХ ОБСУЖДЕНИЯ
Композитные материалы Fe-ПВС, полученные на основе нитрата железа(III) и поливинилового спирта представляют собой мелкозернистые порошки черного цвета, негигроскопичные, непирофорные. При приготовлении данного композитного материала протекают два процесса: разрушение полимерной молекулы до углеродного каркаса и образование наночастиц железосодержащей фазы. Таким образом, материал представляет собой частицы железосодержащей фазы, распределенные внутри углеродсодержащей матрицы. Структура и свойства композитного материала на стадии получения зависят от температуры его термообработки.
Удельная поверхность и пористость. Установлено, что форма изотерм адсорбции азота на композитных катализаторах соответствует типу H-3 и характерна для щелевых мезопор (рис. 1). Такая природа поверхности объясняется тем, что прекурсор композитного материала был получен из раствора в виде полимерной пленки, которая при воздействии температуры преобразуется в углеродсодержащий материал слоистой структуры.
Рис. 1. Изотерма адсорбции N2 на образцах Fe-ПВС-250 (а) и Fe-ПВС-500 (б).
Удельная поверхность образцов, полученных термообработкой при 250 и 500°С, составляла 18 и 8 м2/г (табл. 1), что свидетельствует о заметном уменьшении поверхности при повышении температуры. Симбатно изменяется и объем мезопор образцов. В общем, наличие такой небольшой поверхности характерно для углеродных материалов, получаемых из органического сырья, например из растительной биомассы [19, 20]. По-видимому, основная причина – относительно низкая температура обработки (ниже 500°) и отсутствие окислительного агента [21]. Несмотря на разницу в площади поверхности и объеме пор образцов, полученных при 250 и 500°С, средний диаметр практически не изменяется при повышении температуры обработки, а, следовательно, он зависит только от природы прекурсора. Данный факт согласуется с литературными данными [22, 23].
Таблица 1. Результаты исследования поверхностных характеристик образцов Fe/ПВС-250 и Fe/ПВС-500
Показатель | Fe/ПВС-250 | Fe/ПВС-500 |
Sуд, м2/г | 18 | 8 |
Vпор, см3/г | 0.041 | 0.018 |
dпор, нм | 9.2 | 9.4 |
Рентгенофазовый анализ. На рис. 2 приведены дифрактограммы образцов, полученных термообработкой нитрата железа, иммобилизованного на ПВС. Можно видеть, что образец, полученный термообработкой при 250°С, является рентгеноаморфным. В его дифрактограмме не наблюдаются рефлексы от кристаллических фаз. Это может свидетельствовать о равномерном распределении зародышей кристаллической железосодержащей фазы в углеродсодержащей матрице, которая препятствует слипанию частиц и формированию более крупных кристаллических структур. При 350°С в материале формируется кристаллическая фаза магнетита Fe3O4 (2θ 30.09°; 35.44°; 43.07°; 56.96°; 62.55°). Повышение температуры термообработки до 500°С приводит к формированию помимо фазы Fe3O4 также фазы Fe3C (2θ 37.63°; 37.74°; 39.79°; 40.63°; 42.88°; 43.74°; 39.79°; 40.63°; 42.88°; 43.74°; 44.57°; 44.99°; 45.86°; 48.58°; 49.11°). Следует отметить, что в этом случае наблюдается сдвиг характеристических пиков магнетита (2θ = 30.09°; 35.44°). Измерение области когерентного рассеяния методом Дебая–Шеррера позволило оценить размер частиц дисперсной фазы: методом РФА установлено, что термообработка смеси нитрата железа и поливинилового спирта приводит к формированию композиционного материала с размером частиц дисперсной фазы (в основном, магнетита) ~1–2 нм.
Рис. 2. Дифрактограммы композитов Fe-ПВС, полученных термообработкой смесей нитрата железа и поливинилового спирта при различной температуре, °С: (1) – 250, (2) – 350, (3) –500 (* – рефлексы, относящиеся к магнетиту; • – рефлексы, относящиеся к цементиту).
ИК-Фурье-спектроскопия. Изменения, происходящие с органическим компонентом композитного материала железо–поливиниловый спирт, исследовали методом ИК-Фурье спектроскопии (рис. 3). Установлено, что ИК-спектры образцов, полученных термообработкой при 250 и 350°С, имеют схожий профиль (рис. 3, спектры 2 и 3) – ярко выраженные полосы поглощения системы линейно-сопряженных связей, а также полосы полисопряженных ароматических фрагментов (соответственно, 1580–1590 и 1480–1490 см–1). В обоих спектрах также наблюдаются полосы от связей –СН–, –С–О– и –ОН полимерной молекулы исходного поливинилового спирта (рис. 3, спектр 1).
Рис. 3. ИК-спектры исходного ПВС (1) и образцов, полученных термообработкой при различной температуре, °С: (2) – 250; (3) – 350; (4) – 500.
В ИК-спектре образца, синтезированного при 500°С (рис. 3, спектр 4), отсутствуют полосы поглощения, соответствующие для ПВС, что свидетельствует о полном разрушении макромолекулы спирта. В то же время, в спектре проявляются полосы поглощения 1260 и 1700 см–1, характерные для окисленных структур типа Ph–O–C(=O)–O–Ph (где Ph – фенильная группа на конце конденсированной системы ароматических колец), что позволяет предполагать наличие таких же структур в синтезированных композитных материалах. Можно предположить, что в процессе термообработки наряду с отщеплением молекул воды с образованием ненасыщенных связей С=С и систем сопряженных связей, происходит также формирование эфирных связей С–О–С (п.п. 1050 см–1 асс.), =С–О–С– (п.п. 1033 см–1) и связей –С=С–С(О)– (п.п. 1690 см–1, валентные колебания). Следует отметить, что с ростом температуры термообработки в ИК-спектре наблюдается уменьшение интенсивности поглощения кислородсодержащих групп. В образце, полученном при 500°С, кислород содержится только в полиароматических фрагментах.
Наличие гетероатомов в углеродной структуре композитного материала может способствовать взаимодействию наночастиц железосодержащей фазы и остатков полимерного материала. Возможно, взаимодействие легче осуществимо с менее совершенной углеродной структурой, образующейся при более низких температурах синтеза. Также обнаружено, что катализаторы, полученные при более низких температурах, имеют в составе свободные графитовые фрагменты, что делает их похожими на нанесенные катализаторы Fe/C. В такой структуре может происходить взаимодействие между d-уровнями железа и „изобилующими“ электронной плотностью, гибкосочленными фрагментами разрушающейся полимерной молекулы.
Каталитические испытания. Композитные материалы на основе нитрата железа и поливинилового спирта были испытаны как катализаторы превращения синтез-газа при давлении 2 МПа и температурах 260–380°С. В процессе испытаний были обнаружены газообразные (углеводороды С1–С4 и СО2) и жидкие (углеводороды С5+, алифатические спирты и вода) продукты синтеза. На рис. 4 показано влияние условий термообработки катализатора на стадии его приготовления на характер изменения конверсии СО (XСО) в диапазоне температур 260–380°С.
Рис. 4. Зависимость конверсии монооксида углерода от температуры осуществления процесса СФТ для композитных катализаторов: (1) – Fe-ПВС-250; (2) – Fe-ПВС-350; (3) – Fe-ПВС-500.
Установлено, что XСО равномерно увеличивается с повышением температуры синтеза до практически исчерпывающей для образцов, сформированных при 250 и 350°С и до 87% в случае катализатора, полученного при 500°С. На катализаторе Fe-ПВС-250 заметная конверсия СО (20%) наблюдается при 280°С. Повышение температуры синтеза приводит к ее равномерному возрастанию до 94–95%. Характер увеличения XСО при повышении температуры для двух других образцов характеризуется более длинным индукционным периодом. Образец Fe-ПВС-500 проявляет заметную активность при 320°С и сразу демонстрирует высокие значения XСО. Возможно, что индукционный эффект связан с капсулированием активной фазы катализатора в процессе его приготовления.
Перед каталитическими испытаниями композитные материалы не подвергали предварительному высокотемпературному восстановлению, но все изученные образцы проявили активность в превращениях синтез-газа. В оптимальных условиях синтеза конверсия СО на них была близка к 100%. По своему составу изучаемые композиционные материалы формально соответствуют нанесенным катализаторам Fe/C. Однако активность катализаторов Fe/C, не подвергнутых предварительному восстановлению, значительно ниже активности композитов [16], что свидетельствует о взаимодействии углеродной матрицы и частиц активной фазы.
Композитные катализаторы Fe-ПВС позволяют получать из синтез-газа газообразные и жидкие углеводороды и алифатические спирты (табл. 2). Кроме того, в качестве побочных продуктов наблюдали образование диоксида углерода (селективность 34–41%) и воды. Поскольку основной задачей было установление влияния условий формирования катализатора на распределение образующихся в ходе реакции углеводородов и спиртов, селективности по СО2 в тексте статьи не обсуждаются.
Таблица 2. Основные показатели конверсии синтез-газа в присутствии композитных материалов Fe-ПВС
Образец | T, °C | XСО, % | P, гC5+/кгкат/ч | Селективность, % | |||
CH4 | C2–C4 | C5+ | Oxy | ||||
Fe-ПВС-250 | 320 | 69 | 858 | 9.5 | 29.4 | 54.3 | 6.8 |
360(опт) | 94 | 1175 | 9.2 | 31.8 | 53.7 | 5.3 | |
Fe-ПВС-350 | 320 | 70 | 629 | 10.3 | 29.6 | 56.1 | 4.0 |
380(опт) | 96 | 914 | 7.7 | 27.0 | 61.6 | 3.7 | |
Fe-ПВС-500* | 340 | 68 | 302 | 16.0 | 30.1 | 51.4 | 2.5 |
* Для Fe-ПВС-500 оптимальная температура совпадает с изо-конверсионной температурой T (X ≈ 70%).
Показано, что увеличение температуры формирования каталитической системы приводит к повышению селективности образования метана при одной и той же степени превращения сырья (≈70%) от 9.5 до 16.0%, селективность по углеводородам С2–С4 при этом существенно не изменяется и составляет 29–30%. Сравнение показателей синтеза при оптимальных температурах осуществления процесса (температура, при которой достигается наибольшая производительность катализатора по жидким углеводородам) показало, что для образца, сформированного при 350°С, наблюдали минимальные селективности по метану и газообразным углеводородам – 7.7 и 27.0%, соответственно, тогда как продукты С5+ в присутствии данного образца образовывались с максимальной селективностью (61.6%). Стоит отметить, что повышение температуры деструкции прекурсора каталитической системы от 250 до 500°С приводила к подавлению селективности образования кислородсодержащих продуктов реакции от 6.8 до 2.5%.
Конверсия синтез-газа на композитных катализаторах Fe-ПВС характеризуется проявлением ряда температурных зависимостей, необычных для реакций образования углеводородов. Так, для всех изученных катализаторов селективность по метану была довольно низкой для обычно наблюдаемой при конверсиях выше 50%, что свидетельствует о практически полном отсутствии центров метанирования СО (СО+3Н2 → СН4 + Н2О) на поверхности композитных материалов и образовании метана исключительно как первого члена ряда углеводородов СФТ (СО + 2Н2 → [–СН2–] + Н2О). Низкое образование метана можно также объяснить отсутствием в катализаторе фазы металлического железа.
Фракционный состав жидких углеводородов, полученных при оптимальных температурах (табл. 3) практически не зависит от условий осуществления процесса и способа получения катализатора, тогда как групповой состав значительно изменяется при варьировании указанных параметров. Так, с увеличением температуры деструкции прекурсора катализатора от 250 до 500°С наблюдалось двукратное увеличение содержания нормальных парафинов (от 9 до 21%), сопровождающееся уменьшением количества образовавшихся олефинов и изоалканов от 36 до 31% и с 54 до 49% соответственно.
Таблица 3. Групповой и фракционный состав углеводородов С5+, полученных в присутствии композитных катализаторов Fe-ПВС
Образец | Температура синтеза (опт), °С | Групповой состав, мас.% | Фракционный состав, мас.% | ||||
н-парафины | изопарафины | олефины | С5–С10 | С11–С18 | С19+ | ||
Fe-ПВС-250 | 360 | 9 | 54 | 36 | 62 | 29 | 9 |
Fe-ПВС-350 | 380 | 15 | 52 | 33 | 62 | 28 | 10 |
Fe-ПВС-500 | 340 | 21 | 49 | 31 | 57 | 38 | 5 |
Высокое содержание олефинов в углеводородных смесях, полученных при СФТ, характерно для катализаторов Fe/C [24]. Высокая концентрация изомерных структур в составе углеводородных смесей (50% и более) может быть объяснена наличием в структуре катализатора льюисовского центра, в роли которого выступает Fe3O4 (рис. 2). Механизм образования изоалканов в этом случае может быть аналогичен процессу, протекающему в присутствии катализаторов СФТ на основе цеолитов, кислотные центры которых обеспечивают изомеризацию нормальных алканов. Это предположение согласуется с результатами анализа группового состава полученных продуктов – повышение содержания изомерных структур наблюдали при одновременном снижении концентрации нормальных парафинов [25].
Жидкие углеводороды состояли в основном из углеводородов бензиновой фракции, доля которых составляла около 60% (табл. 3), что свидетельствует о довольно низкой полимеризующей активности композитных материалов Fe-ПВС. Твердые углеводороды образовывались в незначительных количествах (10% и менее). Содержание дизельной фракции заметно возрастало с повышением температуры термообработки образца, однако, не превышало 40%.
Установлено, что в состав жидких углеродсодержащих продуктов превращения синтез-газа на композитных катализаторах Fe-ПВС входят также кислородсодержащие соединения (табл. 2). Вода, образующаяся при синтезе углеводородов из синтез-газа, содержит значительное количество одноатомных алифатических спиртов. Однако селективность композитных катализаторов Fe-ПВС в отношении образования спиртов значительно ниже селективности по углеводородам.
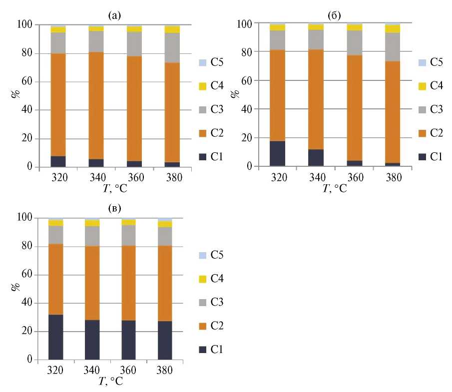
Процесс образования кислородсодержащих соединений можно отнести к одному из основных процессов, протекающих при конверсии синтез-газа в жидкие продукты на железных катализаторах [26]. Наиболее вероятным механизмом роста углеродной цепи в случае образования спиртов представляется внедрение CO между активным центром и адсорбированным на нем углеводородным фрагментом с последующим гидрированием образовавшегося промежуточного продукта в спирт [27]. Однако ММР спиртов, полученных в присутствии катализаторов Fe-ПВС, не соответствует стандартному распределению продуктов полимеризации, как этого можно было бы ожидать; похожий эффект наблюдали и для кобальтовых композитных катализаторов [28]. Основным компонентом спиртовой смеси является этанол (рис. 5). Его относительное содержание в несколько раз превышает значения, установленные для других оксигенатов. В смесях, полученных в присутствии катализаторов Fe-ПВС-250 и Fe-ПВС-350 содержание метанола не превышало 20% (в среднем менее 10%). Доля этанола заметно снижалась (до ~45%) в спиртовых смесях, полученных в присутствии Fe-ПВС-500, при этом доля метанола возрастала до ~30%.
Рис. 5. Влияние температуры синтеза на состав одноатомных алифатических спиртов, образующихся в присутствии композитных катализаторов Fe-ПВС-250 (а), Fe-ПВС-350 (б) и Fe-ПВС-500 (в).
Можно предположить, что изменение доли метанола в продукте реакции свидетельствует об изменении природы активного центра. Образование спиртов на катализаторе Fe-ПВС может протекать не по реакции поликонденсации, а в результате гидроксиметилирования метанола (СН3ОН + СО + 2Н2 → СН3СН2ОН + Н2О). Такой механизм предполагается, в частности, для образования этанола на медь-цинковых катализаторах синтеза спиртов [29].
ЗАКЛЮЧЕНИЕ
Таким образом, методом органических матриц на основе нитрата железа и поливинилового спирта могут быть получены композитные материалы Fe-ПВС. Изменяя температуру синтеза композитного материала можно регулировать их физико-химические свойства, т.е. управлять процессом восстановления железосодержащего компонента и, следовательно, составом образующихся фаз, размером частиц, их магнитными характеристиками. Из полимерного компонента (ПВС) формируется углеродный каркас, состав и свойства которого зависят от температуры обработки и который оказывает влияние на активность композитного катализатора Fe-ПВС в синтезе Фишера–Тропша. При этом, как показано в данной работе, возможность управления селективностью образования отдельных групп углеводородов и оксигенатов напрямую зависит от возможности направленного синтеза композита с определенным фазовым составом. На примере образования спиртов в условиях СФТ с использованием описанного Fe-композитного катализатора показано, что изменяя фазовый состав композитного катализатора можно влиять на маршруты образования оксигенатов. Описанная совокупность свойств композитов на основе железа и поливинилового спирта безусловно делает эти системы перспективными научными объектами для гетерогенного катализа.
ФИНАНСИРОВАНИЕ РАБОТЫ
Работа выполнена в рамках государственного задания ИНХС РАН.
БЛАГОДАРНОСТИ
В работе использовано оборудование Центра коллективного пользования „Новые нефтехимические процессы, полимерные композиты и адгезивы“. Работа выполнена с использованием оборудования ЦКП „Аналитический центр проблем глубокой переработки нефти и нефтехимии“ ИНХС РАН.
КОНФЛИКТ ИНТЕРЕСОВ
Куликова М.В. является ответственным секретарем журнала „Нефтехимия“, остальные авторы заявляют об отсутствии конфликта интересов, требующего раскрытия в данной статье.
Об авторах
Михаил Иванович Иванцов
Институт нефтехимического синтеза им. А.В. Топчиева РАН
Email: m_kulikova@ips.ac.ru
ORCID iD: 0000-0003-2528-3978
к.х.н.
Россия, Москва, 119991Оксана Сергеевна Дементьева
Институт нефтехимического синтеза им. А.В. Топчиева РАН
Email: m_kulikova@ips.ac.ru
ORCID iD: 0000-0001-6801-0158
к.х.н.
Россия, Москва, 119991Майя Валерьевна Куликова
Институт нефтехимического синтеза им. А.В. Топчиева РАН
Автор, ответственный за переписку.
Email: m_kulikova@ips.ac.ru
ORCID iD: 0000-0003-2235-8989
д.х.н., профессор
Россия, Москва, 119991Список литературы
- Yingshuo L., Shuaishuai L., Fuli W., Weixuan N., Shuqing W. Polymer-encapsulated metal complex catalysts: An emerging and efficient platform for electrochemical reduction // J. Mater. Sci. Technol. 2024. V. 172. P. 33–50. https://doi.org/10.1016/j.jmst.2023.08.002
- Dzhardimalieva G.I., Uflyand I.E. Preparation of metal-polymer nanocomposites by chemical reduction of metal ions: functions of polymer matrices // J. Polym. Res. 2018. V. 25. № 255. P. 1–65. https://doi.org/10.1007/s10965-018-1646-8
- Nhi B.D., Akhmadullin R.M., Akhmadullina A.G., Samuilov Y.D., Aghajanian S.I. Polymeric heterogeneous catalysts of transition-metal oxides: surface characterization, physicomechanical properties, and catalytic activity // Chemphyschem. 2013. V.14. № 18. P. 4149–4157. https://doi.org/10.1002/cphc.201300733
- Chen Y., Wei J., Duyar M.S., Ordomsky V.V., Khodakov A.Y., Liu J. Carbon-based catalysts for Fischer–Tropsch synthesis // Chem. Soc. Rev. 2021. V. 50. P. 2337–2366. https://doi.org/10.1039/D0CS00905A
- Zhang Y., Yang X., Yang X., Duan H., Qi H., Su Y., Liang B., Tao H., Liu B., Chen D., Su X., Huang Y., Zhang T. Tuning reactivity of Fischer–Tropsch synthesis by regulating overlayer over Ru/ nanocatalysts // Nat Commun. 2020. V. 11. № 3185. P. 1–8. https://doi.org/10.1038/s41467-020-17044-4
- Khadzhiev S.N., Kulikova M.V., Ivantsov M.I., Zemtsov L.M., Karpacheva G.P., Muratov D.G., Bondarenko G.N., Oknina N.V. Fischer–Tropsch synthesis in the presence of nanosized iron-polymer catalysts in a fixed-bed reactor // Petrol. Chemistry. 2016. V. 56. P. 522–528. https://doi.org/10.1134/S0965544116060049
- Kulikova M.V., Al Khazradji A.Kh., Dement’eva O.S., Ivantsov M.I., Flid V.R., Khadzhiev S.N. Influence of dispersion medium composition on Fischer–Tropsch synthesis in three-phase system in the presence of iron-containing catalysts // Petrol. Chemistry. 2015. V. 55. P. 537–541. https://doi.org/10.1134/S0965544115070087
- Помогайло А.Д., Рузенберг А.С., Уфлянд И.Е. Наночастицы металлов в полимерах. М.: „Химия“. 2000. 237 с.
- Castelo-Quibén J., Elmouwahidi A., Maldonado-Hódar F.J., Carrasco-Marín F., Pérez-Cadenas A.F. Metal-Carbon-CNF composites obtained by catalytic pyrolysis of urban plastic residues as electro-catalysts for the reduction of // Catalysts. 2018. V. 8. № 198. P. 1–11. https://doi.org/10.3390/catal8050198
- Efimov M.N., Vasilev A.A., Muratov D.G., Dzidziguri E.L., Sheverdiyev K.A., Karpacheva G.P. Conversion of polyethylene terephthalate waste in the presence of cobalt compound into highly-porous metal-carbon nanocomposite (c-PET-Co) // Composites Communications. 2022. V. 33. ID 101200. https://doi.org/10.1016/j.coco.2022.101200
- Karpacheva G., Ozkan S. Polymer-metal hybrid structures based on polydiphenylamine and Co nanoparticles // Procedia Materials Science. 2013. V. 2. P. 52–59. https://doi.org/10.1016/j.mspro.2013.02.007
- Dzhardimalieva G.I., Uflyand I.E. Preparation of metal-polymer nanocomposites by chemical reduction of metal ions: functions of polymer matrices // J. Polym. Res. 2018. V. 25. № 255. https://doi.org/10.1007/s10965-018-1646-8
- Куликова М.В., Земцов Л.М., Сагитов С.А., Ефимов М.Н., Крылова А.Ю., Карпачева Г.П., Хаджиев С.Н. Синтез Фишера–Тропша в присутствии Сo-содержащих композиционных материалов на основе углерода // Химия твердого топлива. 2014. № 2. С. 32–38. https://doi.org/ 10.7868/s0023117714020078
- Васильев А.А., Дзидзигури Э.Л., Иванцов М.И., Бондаренко Г.Н., Ефимов М.Н., Карпачева Г.П. Металл-углеродные нанокомпозиты на основе моно- и биметаллических наночастиц Fe, Co и ИК-пиролизованного хитозана // IV междисциплинарный научный форум с международным участием „Новые материалы и перспективные технологии“. 2018. С. 98–103.
- Чудакова М.В., Куликова М.В., Иванцов М.И., Бондаренко Г.Н., Ефимов М.Н., Васильев А.А., Земцов Л.М., Карпачева Г.П., Хаджиев С.Н. Физико-химические и каталитические свойства в синтезе спиртов Cu–Co-содержащих твердодисперсных композиционных контактов на основе целлюлозы // Нефтехимия. 2017. Т. 57. № 4. С. 431–437. https://doi.org/ 10.7868/S0028242117040025
- Хаджиев С.Н., Куликова М.В., Иванцов М.И., Земцов Л.М., Карпачева Г.П. Синтез Фишера–Тропша в присутствии наноразмерных железополимерных катализаторов в реакторе с фиксированным слоем // Наногетерогенный катализ. 2016. Т. 1. № 1. С. 63–69. https://doi.org/ 10.1134/S2414215816010044
- Глебов Л.С., Клигер Г.А. Молекулярно-массовое распределение продуктов синтеза Фишера–Тропша // Успехи химии. 1994. Т. 63. № 2. С. 192–202.
- Ivantsov M.I., Krysanova K.O., Grabchak A.A., Kulikova M.V. Influence of the phase composition of the Fe/Biochar catalysts on the composition of Fischer–Tropsch synthesis products: The Lapidus theory of bifunctional catalytic centers // Solid Fuel Chem. 2023. V. 57. P. 367–372. https://doi.org/10.3103/S0361521923060010
- Yi H., He D., Tang X., Wang H. Effects of preparation conditions for active carbon-based catalyst on catalytic hydrolysis of carbon disulfide // Fuel. 2012. V. 97. P. 337–343. https://doi.org/10.1016/j.fuel.2012.02.009
- Cao Y., Wang K., Wang X., Gu Zh. Preparation of active carbons from corn stalk for butanol vapor adsorption // J. of Energy Chemistry. 2017. V. 26. № 1. P. 35–41. https://doi.org/10.1016/j.jechem.2016.08.009
- Золотаренко А.Д., Перекос А.Е., Дубовой А.Г. Свойства металлоуглеродных нанокомпозитов железа и никеля, синтезированных с использованием дугового разряда в жидкости // Труды XI международной конференции „Водородное материаловедение и химия углеродных наноматериалов“. 2009. С. 775–779.
- Liu G., Chen Q., Oyunkhand E., Ding Sh. Nitrogen-rich mesoporous carbon supported iron catalyst with superior activity for Fischer–Tropsch synthesis // Carbon. 2018. V. 130. P. 304–314. https://doi.org/ 10.1016/j.carbon.2018.01.015
- Yang Y., Xiang H.-W., Xu Y.-Y., Bai L. Effect of potassium promoter on precipitated iron-manganese catalyst for Fischer–Tropsch synthesis // Applied Catalysis A: General. 2004. V. 266. № 2. P. 181–194. https://doi.org/10.1016/s0926-860x(04)00143-7
- Stenger Jr. H.G., Askonas Ch.F. Thermodynamic product distributions for the Fischer–Tropsch synthesis // Ind. Eng. Chem. Fundamen. 1986. V. 25. № 3. P. 410–413. https://doi.org/10.1021/i100023a018
- Лапидус А.Л., Крылова А.Ю. Каталитический синтез изоалканов и ароматических углеводородов из CO и // Успехи химии. 1998. Т. 67. № 11. С. 1032–1043.
- Spivey J.J., Egbebi A. Heterogeneous catalytic synthesis of ethanol from biomass-derived syngas // Chem. Soc. Rev. 2007. V. 36. P. 1514–1528. https://doi.org/10.1039/b414039g
- Aho A., Lind N., Virtanen P., Maki-Arvela P., Eranen K., Granroth S., Korpelin V., Honkala K., Russo V., Simakova I., Murzin D.Yu. Influence of Cu : Fe ratio in synthesis of higher alcohols from syngas over CuFeCoK/attapulgite catalysts // Applied Catalysis O: Open. 2024. V. 193. P. 206972. https://doi.org/:10.1016/j.apcato.2024.206972
- Kulikova M.V., Chudakova M.V., Ivantsov M.I., Kuz’min A.E., Krylova A.Yu., Maksimov A.L. Properties of Cu-Co composite catalysts for synthesis of aliphatic alcohols // J. Braz. Chem. Soc. 2021. V. 32. № 2. P. 287–298. https://doi.org/ 10.21577/0103-5053.20200179
- Xiong Zh., Guo J., Chaiwat W., Deng W., Hu X., Han H., Chen Y., Xu K., Su Sh., Hu S., Wang Y., Xiang J. Assessing the chemical composition of heavy components in bio-oils from the pyrolysis of cellulose, hemicellulose and lignin at slow and fast heating rates // Fuel Processing Technology. 2020. V. 199. № 106299. https://doi.org/10.1016/j.fuproc.2019.106299
Дополнительные файлы








