Cинтез гетерогенных катализаторов через поверхностные металлокомплексы
- Authors: Чепайкин Е.Г.1, Менчикова Г.Н.1, Джусупкалиева Р.И.2, Ткаченко О.П.3, Кустов Л.М.3,4, Ковалев И.Д.1, Помогайло С.И.1
-
Affiliations:
- Институт структурной макрокинетики и проблем материаловедения им. А.Г. Мержанова РАН
- Западно-Казахстанский аграрно-технический университет им. Жангир хана
- Институт органической химии им. Н.Д. Зелинского РАН
- Московский государственный университет имени М.В. Ломоносова
- Issue: Vol 64, No 3 (2024)
- Pages: 265-278
- Section: Articles
- URL: https://journals.rcsi.science/0028-2421/article/view/275199
- DOI: https://doi.org/10.31857/S0028242124030081
- EDN: https://elibrary.ru/LGVVJM
- ID: 275199
Cite item
Full Text
Abstract
Предложен метод получения гетерогенных катализаторов через промежуточное образование поверхностных металлокомплексных соединений с их последующим восстановлением до металла. В качестве исходных соединений выбраны комплексы Pd с диметилглиоксимом и бензонитрилом, а в качестве носителя – g-Al2O3. Образующиеся соединения затем обрабатывали водородом при 250–300°С; выделяющийся при этом лиганд отмывали от катализатора. Катализаторы исследованы методами ИК-Фурье-спектроскопии диффузного отражения, сканирующей электронной микроскопии рентгено-спектрального микроанализа и рентгеновской дифракции. Каталитические свойства исследованы в реакции парциального окисления пропана. Показано, что катализатор Pd / g-Al2O3(DMGO) проявляет бóльшую активность (TOF = 443 моль продуктов∙ (г ат Pd)–1 ч–1), чем Pd / γ-Al2O3(PhCN) (TOF = 334.4 моль продукта (г ат Pd)–1 ч–1).
Keywords
Full Text
Получение ключевых продуктов нефтехимии, таких как спирты, альдегиды, кетоны и кислоты прямым парциальным окислением алканов природного и попутного нефтяного газов в мягких условиях является актуальной проблемой [1]. Алканы природного и попутного нефтяного газа представляют собой подходящее сырье для процессов окисления. Ранее для окисления алканов мы разработали гомогенные каталитические системы, содержащие основной металл-катализатор (Pd, Rh, Pt), сокатализатор (cоли железа, меди, ванадия) и совосстановитель (H2, CO), и рассмотрели роль каждого компонента [2–4]. В гомогенном катализе комплексами металлов для реакции доступны все молекулы катализаторов, т.к. находятся в растворе. В гетерогенном катализе атомы активного металла образуют кластеры из нескольких атомов. Часть атомов при этом не включаются в катализ из-за плохой доступности к ним реагентов. Для улучшения активности и селективности гетерогенных катализаторов предложены различные методы [5–8].
Оксид алюминия – один из материалов, обладающих всеми свойствами, необходимыми для носителей, поэтому является наиболее популярным носителем, используемым при синтезе коммерческих катализаторов. Катализаторы на основе Pd/Al2O3 применяют и исследуют в различных процессах: окисления CO [9–12], глубоком окислении метана [13–15], каталитическом окислении летучих органических соединений [16, 17] и др. процессах. Проводятся исследования, в которых для улучшения эффективности катализаторов на основе Pd/Al2O3 носитель модифицируют [18–22], либо допируют или модифицируют активный компонент катализатора [12, 22–27].
Одна из причин недостаточной селективности гетерогенных катализаторов – неоднородность структуры активных центров. Это, например, различное содержание атомов активного металла в активных центрах. Возможна также различная координационная ненасыщенность атомов активного металла, расположенных на плоскостях, гранях и вершинах металлической частицы. В результате реакция может протекать по различным маршрутам, что снижает ее селективность. В связи с этим в настоящее время все большее развитие получают подходы к синтезу одноцентровых катализаторов, т.е. катализаторов, активными центрами которых являются изолированные комплексы, кластеры одинакового размера и т.п. [28]. Поэтому перспективным представляется метод получения упорядоченных структур через поверхностные металлокомплексы.
Для получения упорядоченных структур в данной работе предложен метод получения гетерогенных катализаторов через промежуточные поверхностные металлокомплексы с последующим восстановлением до металла. В качестве исходных соединений выбраны комплексы палладия с диметилглиоксимом и бензонитрилом, а в качестве носителя — γ-Al2O3. Образующиеся соединения обрабатывали водородом при 250– 300°C, а выделяющийся при этом лиганд отмывали подходящими растворителями. Действие полученных катализаторов тестировали в процессе парциального окисления пропана молекулярным кислородом.
ЭКСПЕРИМЕНТАЛЬНАЯ ЧАСТЬ
Реактивы и материалы
Диметилглиоксим (С4H8N2O2) (ч.д.а., ГОСТ 5828-77, АО „ЛенРеактив“, Россия); бензонитрил (С6H5CN) (ч., Merck); γ-Al2O3 (ГОСТ 8136-85), фракция 0.315–0.4 мм, фракция 0.4–0.63 мм, ООО „Сорбис Групп"); хлорид палладия(II) (PdCl2, сод. 59.5% Pd, ОАО „Красцветмет“, ТУ 2625-048-002050067-2003); сульфат железа(II) FeSO4∙7H2O (х. ч.); CH3COOH (х. ч.), H2SO4 (х. ч.), H2O (бидистиллят); пропаналь (99.5%, Sigma-Aldrich). Растворители: ацетон, метанол, этанол, пропанол, изопропанол и н-бутанол (все - марки х. ч.). Газы: CO (99.9%, ТУ 6-02-7-101-86, ОАО „Линде Газ Рус"), C3H8 (99.8%, ТУ 51-882-90, ОАО „Линде Газ Рус"), O2 (99.9%), H2 – электролитический; гелий марки „А“ (ООО Торговая фирма „НордГаз").
Приготовление катализатора 0.3% Pd/γ-Al2O3 (DMGO)
К 1.5 г γ-Al2O3 (фракция 0.315–0.4 мм) при перемешивании добавили 5 мл спиртового 2.8∙10–2 M раствора диметилглиоксима (DMGO). После двух часов перемешивания на магнитной мешалке при комнатной температуре добавили 4.3 мл 2.4∙10–2 M водно-кислотного раствора хлорида палладия. В результате образования комплекса палладия с DMGO происходило мгновенное пожелтение суспензии, которая была отфильтрована через бумажный фильтр. Затем желтый осадок высушили на воздухе, прокалили в муфельной печи при 500°С, далее обработали в токе водорода при 250°С в течение 2.5 ч. В результате получили ожидаемый катализатор в виде порошка серого цвета.
Приготовление катализатора 0.28% Pd/γ-Al2O3 (PhCN)
В формуле 0.28% Pd/γ-Al2O3(PhCN), PhCN означает, что катализатор получен через комплекс палладия с бензонитрилом.
Приготовление катализатора проводили в несколько этапов:
1) получение комплекса бис(бензонитрил)дихлорпалладий – PdCl2(PhCN)2 согласно методике [30];
2) приготовление PdCl2(PhCN)2/γ-Al2O3;
3) восстановление палладия на носителе водородом.
Получение комплекса бис(бензонитрил)дихлорпалладий PdCl2(PhCN)2
К 1.6 мл PhCN добавили 0.04 г PdCl2 при перемешивании при 100°С в течение 2 ч. После полного растворения раствор бордового цвета перенесли на фильтр Шотта с рубашкой для горячего фильтрования при 90°С; при этом фильтрат сразу попадал в н-гексан. В результате из темно-бордового раствора выпал осадок желтого цвета. Выделенный осадок промыли несколько раз гексаном, высушили при температуре 80°С под вакуумом. В результате получили желтый порошок комплекса PdCl2(PhCN)2.
Приготовление поверхностного комплекса PdCl2(PhCN)2 / γ-Al2O3
К 2 г γ-Al2O3 (фракция 0.4–0.63 мм), предварительно прокаленной при 500°С в течение 2 ч, добавили 5 мл 0.014 M раствора PdCl2(PhCN)2 в ацетоне. Происходило мгновенное обесцвечивание раствора и переход окраски к оксиду алюминия. Пропитку продолжали в течение 2 ч, затем отфильтровали осадок и высушили в сушильном шкафу при 90°С. Полученный порошок темно-коричневого цвета промыли разбавленной горячей уксусной кислотой, затем ацетоном и высушили при 80°С под вакуумом. Получили прекурсор светло-желтого цвета (содержание Pd – 0.28 мас.%).
Восстановление водородом
Восстановление палладия в прекурсоре проводили в токе водорода (30 мл/мин H2) при 300°С в течение 2.5 ч. Получили катализатор серо-коричневого цвета.
Методы исследования катализаторов
ИК-спектры диффузного отражения (DRIFTS) регистрировали при комнатной температуре на спектрометре NICOLET „Protege“ 460 в интервале 4000–400 см–1 с разрешением 4 см–1. Для удовлетворительного соотношения сигнал/шум копили 500 спектров. Фон в геометрии DRIFTS измеряли относительно дегидратированного в вакууме и запаянного в ампулу порошка CaF2. В качестве молекулы-теста на электронное состояние Pd использовали монооксид углерода. Адсорбцию СО проводили при комнатной температуре при равновесном давлении 17 мм рт. ст. Перед измерением спектров образцы подвергали вакуумной обработке при температуре 250°С в течение 2 ч. Интенсивность полос в спектрах выражали в единицах Кубелки– Мунка [31, 32]. Сбор и обработку данных проводили с использованием программы OMNIC. Спектры адсорбированного CO представляли в виде разницы между записанными после и до адсорбции молекулы-теста.
Исследования методами сканирующей электронной микроскопии и энергодисперсионной рентгеновской спектрометрии
Оптимизацию аналитических измерений проводили в рамках описанного ранее подхода [33]. Перед съемкой порошкообразные образцы наносили из суспензии в изопропаноле на медные сетки диаметром 3 мм, покрытые углеродной пленкой. Микроструктуру образцов изучали методом сканирующей электронной микроскопии с полевой эмиссией (FE-SEM) на электронном микроскопе Hitachi Regulus SU8230. Съемку изображений вели в режиме регистрации прошедших электронов при ускоряющем напряжении 30 кВ. Морфологию образцов исследовали с учетом поправки на поверхностные эффекты напыления проводящего слоя [34]. Для изучения образцов методом рентгеновского микроанализа (EDS-SEM) их помещали на поверхность алюминиевого столика диаметром 25 мм, фиксировали при помощи проводящего скотча и напыляли на них проводящий слой углерода толщиной 10 нм.
Каталитические опыты
Опыты проводили в термостатируемом реакторе из нержавеющей стали объемом 34 см3, футерованном фторопластом. Контактный раствор катализатора (объем составлял 2.5 мл) готовили в специальном стеклянном контейнере. Компоненты каталитической системы (полученные ранее палладиевые катализаторы, сокатализатор – сульфат железа, воду и уксусную кислоту) для более точной дозировки взвешивали на аналитических весах и затем содержимое контейнера загружали в реактор, который присоединяли к установке подачи газов и последовательно вводили газы до парциальных давлений: C3H8 = 0.68 МПа, O2 = 0.4 МПа, H2 = 0.88 МПа. На линии подачи газов установлен образцовый манометр на 10.0 МПа с ценой деления 0.04 МПа для точного дозирования газов.
После подачи газов кран реактора перекрывали, реактор присоединяли к заранее нагретому до температуры опыта термостату и включали перемешивание. По окончании опыта реактор охлаждали проточной водой до комнатной температуры. Газовую и жидкую фазу анализировали методом газовой хроматографии (ГХ).
Газохроматографический анализ
Газовую фазу анализировали на хроматографе ЛХМ-2000 с программой Z-Lab при 55°C, ДТП. Колонки: молекулярные сита 5 Å, зернение 0.2–0.3 мм, l = 3 м, d = 3 мм, He = 30 мл/мин (O2, N2, CH4, CO) и порапак Q, зернение 0.115–0.200 мм, l = 2 м, d = 2.5 мм, He = 20 мл/мин (CO2, пропан).
Жидкую фазу анализировали на газовом хроматографе „Кристаллюкс 4000М“ в режиме ПИД с использованием программы NetChrom V2.1, капиллярная колонка CP-Sil-5CB Agilent, l = 25 м, d = 0.15 мм, с программированием температуры от 40 до 150°С со скоростью 5 град/мин, He = 20 мл/мин, входное давление на колонку 1.3 атм, деление потока 1 : 70, расход газа-носителя 287 мл/мин. Введению проб в испаритель хроматографа предшествовала подготовка пробы.
Пробоподготовка для газохроматографического анализа
Катализат с введенным внутренним стандартом (н-С4Н9OAc) загружали в специальный реактор с хроматографической силиконовой мембраной, который термостатировали при 50°С в течение 10 мин. Затем нагретым до 60°С газовым шприцем Hamilton 250 мкл отбирали парогазовую пробу. В колонку вводили 100–150 мкл пробы.
РЕЗУЛЬТАТЫ И ИХ ОБСУЖДЕНИЕ
Получение катализатора через диметилглиоксимат палладия
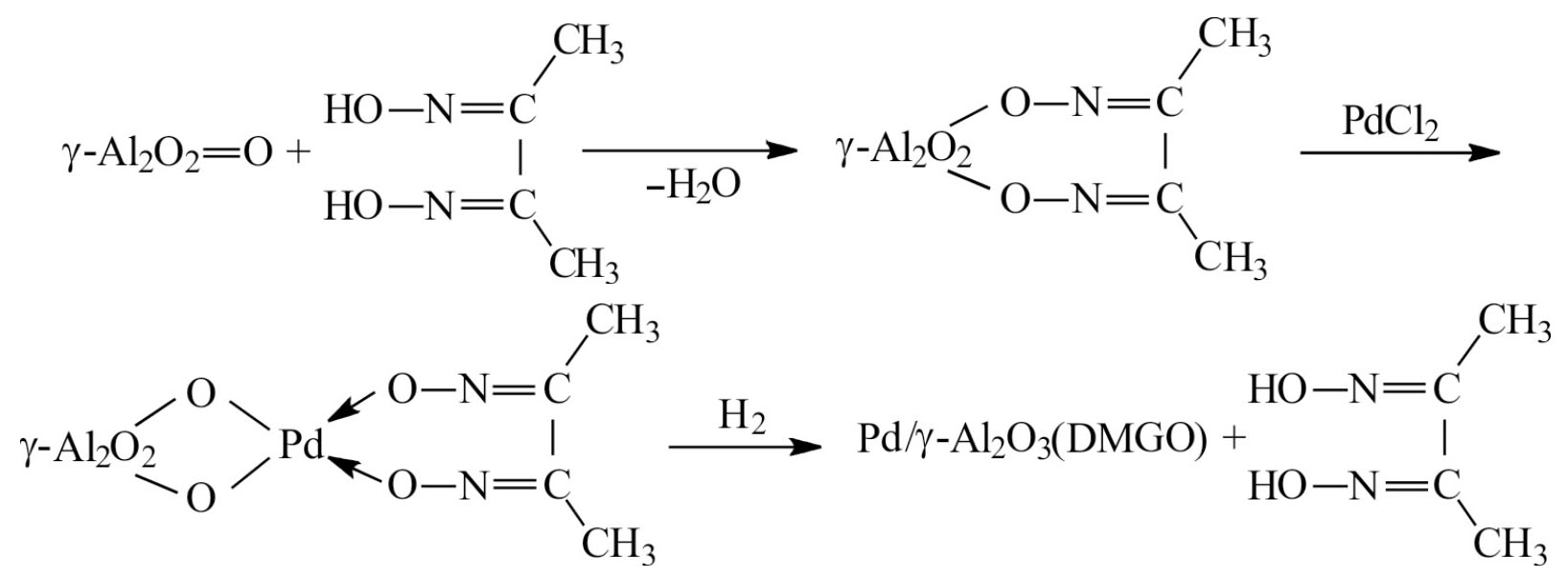
Предполагаемая схема получения катализатора на примере диметилглиоксиматного комплекса палладия представлена на рис. 1. На первой стадии происходит обработка γ-Al2O3 спиртовым раствором диметилглиоксима. Образующееся соединение реагирует с водным раствором PdCl2, а затем поверхностный диметилглиоксимат палладия обрабатывают водородом при повышенной температуре. Выделяющийся диметилглиоксим отмывается от катализатора.
Рис. 1. Схема получения катализатора 0.3% Pd/γ-Al2O3(DMGO). В формуле 0.3% Pd/γ-Al2O3(DMGO) DMGO означает, что катализатор получен через диметилглиоксимат палладия
Рентгенофазовый анализ
На рис. 2 представлены дифрактограммы γ-Al2O3 – носителя катализатора и катализатора 0.3% Pd/γ-Al2O3(DMGO).
Рис. 2. Дифрактограммы носителя γ-Al2O3 (1) и катализатора (2)
На дифрактограмме носителя (1) хорошо различимы рефлексы при 19.62°, 36.96°, 46.26° и 67.2°, характерные для γ-Al2O3. Дифрактограмма катализатора (2) показывает, что носитель катализатора стал частично аморфизирован, вероятно под влиянием условий синтеза катализатора, а низкое содержание палладия в образце не позволяет выявить его рефлексы.
ИК-Фурье-спектроскопия диффузного отражения (DRIFTS)
Изучен образец 0.3% Pd/γ-Al2O3(DMGO) серого цвета, обработанный при 250°C в токе Н2 (20 мл/мин). На рис. 3 представлены спектры этого образца в диапазоне 4000–1200 см–1, зарегистрированные до обработки в вакууме (as received), после вакуумирования при 250оС в течение 2 ч, адсорбции СО и десорбции СО. После всех обработок цвет катализатора не изменился.
Рис. 3. Обзорные ИК-спектры диффузионного отражения (DRIFTS) катализатора 0.3% Pd/γ-Al2O3(DMGO)
На рис. 3 в спектре исходного катализатора видна интенсивная широкая полоса при 3700–2700 см–1, в состав которой дали вклад: валентные колебания О–Н-связи гидроксильных групп Al2O3 и C4H8N2O2, а также валентных колебаний C–H-, C–C- и N–H-связей. Кроме того, в спектре присутствуют полоса валентных колебаний двойной связи С=N (1644 см–1) и полоса валентных колебаний N–OH-связи (1257 см–1) [35, 36]. Присутствие этих полос указывает на то, что диметилглиоксим полностью не удаляется с поверхности образца в процессе прокаливания и восстановления. Обработка исходного образца в вакууме при 250оС приводит к удалению остатков DMGO и растворителей с поверхности образца. При этом в спектре видны типичные для γ-Al2O3 полосы валентных колебаний ОН-групп при 3728, 3679 и 3593 см–1 [31, 32, 37]. На рис. 4 представлены DRIFT-CO спектры, зарегистрированные в процессе адсорбции–десорбции СО.
Рис. 4. DRIFT-CO спектры катализатора 0.3% Pd/γ-Al2O3(DMGO)
На рис. 4 видно, что при адсорбции СО при комнатной температуре в спектре катализатора 0.3% Pd/γ-Al2O3(DMGO) присутствует полоса валентных колебаний в молекулах СО, адсорбированных на катионах Al3+, которые всегда наблюдаются на катализаторах, нанесенных на оксид алюминия в районе 2242–2165 см–1. В спектре присутствует узкая полоса при 2102 см–1 с плечом около 2148 см–1 и широкая полоса с центром при 1960 см–1. При десорбции при комнатной температуре полоса от карбонила алюминия исчезает из спектра. При этом в районе линейных карбонилов палладия четко проявляются три полосы при 2148, 2117 и 2085 см–1. В районе мостиковых карбонилов палладия широкая полоса преобразуется в узкую полосу при 1968 см–1 с плечами около 1947 и 1916 см–1. Увеличение температуры десорбции до 100оС приводит к появлению в районе линейных карбонилов лишь одной полосы при 2061 см–1, исчезновению в районе мостиковых карбонилов полосы при 1968 см–1 при том, что две другие полосы сохраняются в спектре. По литературным данным, собранным в обзорах [30, 31, 37], при адсорбции СО на палладиевых катализаторах, нанесенных на оксид алюминия, в спектре появляются полосы линейных карбонилов: при 2170–2145 см–1 от Pd2+–CO; при 2135–2110 см–1 от Pd+–CO и 2100–2050 см–1 от Pd0–CO. DRIFT-CO спектр 0.3% Pd/ γ-Al2O3(DMGO) демонстрирует присутствие небольшого количества катионов двух- и одновалентного палладия. Основная часть палладия находится в металлическом состоянии. Полоса при 1993 см–1 характеризует мостиковый карбонил на металлическом палладии Pd0–CO–Pd0. Такое предположение основано на присутствии в спектре после десорбции при комнатной температуре полосы линейного карбонила при 2085 см–1, которая при повышении температуры десорбции, т.е. при снятии диполь-дипольного взаимодействия между молекулами СО, адсорбированными на соседних атомах металлического палладия, преобразуется в полосу от синглетона при 2061 см–1.
Исследования 0.3%Pd/γ-Al2O3(DMGO) методом сканирующей электронной микроскопии (SEM)
На микрофотографиях (рис. 5а и 5б), снятых в режиме SEM-BF, в светлом поле, видны отличающиеся от основной массы частиц оксида алюминия, более темные и диспергированные наночастицы палладия, размерами до 20 нм.
Рис. 5. Микрофотографии-SEM образца 0.3% Pd/γ-Al2O3(DMGO): а – обзорная и б – с бóльшим увеличением. Белыми кругами на рис. 5а обведены наночастицы, на рис. 5б – они же при большем увеличении
На рис. 6 представлены карты распределения элементов, полученные методом рентгеновского микроанализа (EDS-SEM). Показано, что в 0.3% Pd/γ-Al2O3(DMGO) содержатся элементы: алюминий (рис. 6а), кислород (рис. 6б) и палладий (рис. 6в). По данным EDS содержание палладия составляет 0.3 мас.%.
Рис. 6. Энергодисперсионные рентгеновские карты соответствующих элементов в катализаторе 0.3% Pd/γ-Al2O3(DMGO). а – Al, б – О, в – Pd
Каталитическая активность образцов 0.3% Pd/γ-Al2O3(DMGO)
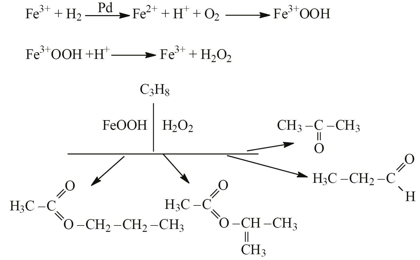
Каталитическая активность образцов 0.3% Pd/γ-Al2O3(DMGO) была изучена в реакции парциального окисления пропана молекулярным кислородом. Поскольку молекулярный кислород инертен в мягких условиях, мы вводили в систему водород в качестве совосстановителя для превращения кислорода в двухэлектронные окислители – пероксид водорода или его эквиваленты. Сульфат железа вводится в качестве сокатализатора, который в восстановленной форме взаимодействует с кислородом. Предполагаемая схема каталитического цикла представлена на рис. 7.
Рис. 7. Предполагаемая схема образования продуктов окисления пропана
Распределение продуктов реакции окисления пропана от времени в присутствии катализатора 0.3% Pd/γ-Al2O3(DMGO) приведено на рис. 8.
Рис. 8. Распределение продуктов реакции окисления пропана от времени в присутствии катализатора 0.3% Pd/γ-Al2O3(DMGO). Условия реакции: 0.01 г катализатора; [FeSO4] = 5 × 10–2 M, [H2SO4] = 5 × 10–2 M, водная CH3COOH 2.5 мл; [H2O] : [CH3COOH] = 1 : 3.6; Т = 60°С; начальное давление газов, МПа: C3H8 = 0.68, O2 = 0.4, H2 = 0.88
Продукты реакции парциального окисления – изопропилацетат, н-пропилацетат, метилацетат и смесь пропаналя с ацетоном; из рисунка видно, что при окислении пропана кислородом в присутствии водорода основные продукты реакции – ацетон и пропаналь.
Катализатор 0.28% Pd/γ-Al2O3(PhCN), полученный через комплекс палладия с бензонитрилом
На рис. 9 приведены SEM-микрофотографии образца 0.28% Pd/γ-Al2O3(PhCN). Видны игольчатые или стержнеобразные образования, местами слипшиеся, принадлежащие γ-Al2O3. Существенного изменения морфологии катализаторов по данным SEM тоже не наблюдаем, т.к. носитель представлен большей частью в виде игл, которые располагаются отдельно, а иногда стопками. В образце 0.28% Pd/γ-Al2O3(PhCN) (см. рис. 8б) едва различимы округлые образования размерами 5–20 нм, вероятно принадлежащие наночастицам палладия.
Рис. 9. SEM-микрофотографии катализатора 0.28% Pd/γ-Al2O3(PhCN): а – с разрешением 1 мкм, б – с разрешением 300 нм
По данным элементного картирования содержание элементов следующее, мас.%: палладий – 0.28, алюминий – 36.23, кислород – 63.44.
Изучение катализатора 0.28% Pd/γ-Al2O3 (PhCN) методом DRIFTS
Катализатор 0.28% Pd/γ-Al2O3(PhCN) исследован методом ИК-Фурье-спектроскопии диффузного отражения. Цвет катализатора серый.
На рис. 10 представлены спектры катализатора в диапазоне 4000–1000 см–1, зарегистрированные до обработки в вакууме (as received), после вакуумирования при 300оС в течение 2 ч, адсорбции СО и десорбции CO при разных температурах. После всех обработок цвет катализатора не изменился.
Рис. 10. Обзорные ИК-спектры диффузионного отражения (DRIFTS) катализатора 0.28% Pd/γ-Al2O3(PhCN)
На рис. 10 в спектре катализатора 0.28% Pd/γ-Al2O3(PhCN) видна интенсивная широкая полоса в районе 3750–2700 см–1, в состав которой входят колебания O–H-связи гидроксильных групп Al2O3 и прекурсора (комплекса PdCl2(CNPh)2) (валентные колебания C–H-, C–C- и N–H-связей). Кроме того, в спектре присутствует полоса валентных колебаний двойной связи C=N (1642 см–1) [35, 36]. Присутствие этих полос указывает на то, что прекурсор полностью не удаляется с поверхности образца в процессе прокаливания и восстановления. Обработка исходного образца в вакууме при 300оС приводит к удалению остатков прекурсора и растворителей с поверхности образца. При этом в спектре видны типичные для γ-Al2O3 полосы валентных колебаний OH-групп при 3728, 3678 и 3587 см–1 [31, 32, 37].
На рис. 11 представлены спектры DRIFT-CO, зарегистрированные в процессе адсорбции–десорбции CO.
Рис. 11. ИК-спектры диффузионного отражения (DRIFT-CO-спектры) катализатора 0.28% Pd/γ-Al2O3(PhCN)
Из рис. 11 видно, что при адсорбции СО при комнатной температуре в спектре катализатора 0.28% Pd/γ-Al2O3(PhCN) присутствует полоса (2198 см–1) валентных колебаний в молекулах CO, адсорбированных на катионах Al3+, которые всегда наблюдаются на катализаторах, нанесенных на оксид алюминия в районе 2242–2165 см–1. В спектре присутствует также полоса при 2097 см–1 и полоса с центром при 1969 см–1. При десорбции при комнатной температуре полоса от карбонила алюминия как обычно исчезает из спектра. При этом, в районе линейных карбонилов палладия проявляется полоса при 2071 см–1. В районе мостиковых форм адсорбции CO на палладии широкая полоса преобразуется в более узкую полосу при 1958 см–1. Увеличение температуры десорбции до 100°С приводит к появлению в районе линейных карбонилов полосы при 2052 см–1, исчезновению полосы в районе мостиковых карбонилов. По литературным данным, собранным в обзорах [31, 32, 38] адсорбция CO на палладиевых катализаторах, нанесенных на оксид алюминия, в спектре появляются полосы линейных карбонилов при 2170–2145 см–1 Pd2+-CO; при 2135–2110 см–1 от Pd+-CO и 2100–2050 см–1 от Pd0-CO. DRIFT-CO спектр катализатора 0.28% Pd/γ-Al2O3(PhCN) демонстрирует присутствие палладия в металлическом состоянии (полоса от карбонила Pd0-CO при 2097 см–1) на поверхности оксида алюминия. Полоса с центром при 1969 см–1 характеризует мостиковый карбонил на металлическом палладии Pd0-CO-Pd0. При вакуумировании при комнатной температуре и дальнейшем повышении температуры десорбции, т.е. при снятии диполь-дипольного взаимодействия между молекулами CO, адсорбированными на соседних атомах металлического палладия, полоса от линейного карбонила преобразуется в полосу от синглетона при 2071 см–1 (25°С), при 2052 см–1 (100°С) и при 2036 см–1 (200°С). Данные DRIFTS-CO указывают на присутствующие на поверхности катализатора 0.28% Pd/γ-Al2O3(PhCN) металлических атомов палладия в основном хорошо диспергированых. Присутствие в спектрах малоинтенсивной полосы от мостиковой формы указывает на наличие на поверхности также небольшого количества более крупных металлических частиц палладия.
Парциальное окисление пропана кислородом в присутствии полученных катализаторов
В табл. 1 приведено сравнение концентраций продуктов окисления пропана в присутствии катализаторов, полученных через диметилглиоксиматный комплекс и через бензонитрильный комплекс палладия. Видно, что катализатор из диметилглиоксиматного комплекса в 1.3 раза активнее катализатора, полученного из бензонитрильного комплекса. Можно предположить, что диметилглиоксиматный комплекс палладия благодаря наличию функциональных групп OH- диметилглиоксима более равномерно располагается на γ-Al2O3.
Таблица 1. Окисление пропана в присутствии катализаторов: 0.28 Pd/γ-Al2O3(DMGO) и Pd/γ-Al2O3(PhCN). Условия: C3H8 = 0.68 МПа, O2 = 0.4 МПа, H2 = 0.88 МПа; 0.01 г катализатора; [FeSO4] = 0.048M, [H2SO4] = 0.049M; V(CH3COOH) : V(H2O) = 3.5 : 1; T = 60°C, 2 ч
Катализатор | Выход продуктов реакции, % | TOF, моль продуктов, г ат Pd–1 ∙ ч–1 | |||
изо-PrOAc | н-PrOAc | MeOAc | Сумма (ацетон+пропаналь) | ||
Pd/γ-Al2O3(DMGO) | 10.7 | 6.11 | 9.46 | 73.73 | 443 |
Pd/γ-Al2O3(PhCN) | 10.15 | 8.1 | 8.75 | 72.9 | 334.4 |
ЗАКЛЮЧЕНИЕ
Таким образом, нами получены катализаторы, содержащие наночастицы палладия на поверхности γ-Al2O3. Катализатор Pd/γ-Al2O3(DMGO) приготовлен через образование комплекса палладия с диметилглиоксимом непосредственно на поверхности γ-Al2O3, гидрогенолизом полученного комплекса и отмыванием выделившегося диметилглиоксима, восстановлением Pd в токе водорода. Катализатор Pd/γ-Al2O3(PhCN) получен нанесением на γ-Al2O3 заранее синтезированного комплекса бис(бензонитрил)дихлорпалладия, с последующим восстановлением Pd в токе водорода.
Полученные катализаторы проявляют активность в парциальном окислении пропана молекулярным кислородом в присутствии водорода, причем Pd/γ-Al2O3(DMGO) проявил большую активность, чем Pd/γ-Al2O3(PhCN). Мы предполагаем, что это является следствием более упорядоченного расположения на поверхности γ-Al2O3 диметилглиоксиматного соединения из-за наличия функциональных OH-групп диметилглиоксима. В то же время, по данным DRIFTS-CO на поверхности катализатора 0.28% Pd/γ-Al2O3(PhCN) расположены металлические атомы Pd преимущественно хорошо диспергированные. На поверхности также присутствует небольшое количество более крупных частиц Pd, что подтверждается наличием малоинтенсивной полосы от мостиковой формы карбонилов.
ФИНАНСИРОВАНИЕ РАБОТЫ
Работа авторами (Чепайкин Е.Г., Мельникова Г.Н., Ковалев И.Д., Помогайло С.И.) выполнена в рамках государственного задания ИСМАН. Авторы (Ткаченко О.П. и Кустов Л.М.) выражают благодарность Министерству науки и высшего образования Российской Федерации за финансовую поддержку (грант 075-15-2023-585).
БЛАГОДАРНОСТИ
Авторы благодарят Отдел структурных исследований ИОХ РАН за исследование образцов методом электронной микроскопии.
КОНФЛИКТ ИНТЕРЕСОВ
Авторы заявляют об отсутствии конфликта интересов, требующего раскрытия в данной статье.
About the authors
Евгений Григорьевич Чепайкин
Институт структурной макрокинетики и проблем материаловедения им. А.Г. Мержанова РАН
Author for correspondence.
Email: pomogsvetlana@mail.ru
ORCID iD: 0000-0002-1631-021X
к.х.н., в.н.с.
Russian Federation, ЧерноголовкаГалина Николаевна Менчикова
Институт структурной макрокинетики и проблем материаловедения им. А.Г. Мержанова РАН
Email: pomogsvetlana@mail.ru
ORCID iD: 0000-0003-3128-0837
н.с.
Russian Federation, ЧерноголовкаРоза Ибраимовна Джусупкалиева
Западно-Казахстанский аграрно-технический университет им. Жангир хана
Email: pomogsvetlana@mail.ru
ORCID iD: 0000-0001-8916-0008
м.т.н.
Kazakhstan, УральскОльга Петровна Ткаченко
Институт органической химии им. Н.Д. Зелинского РАН
Email: pomogsvetlana@mail.ru
ORCID iD: 0000-0002-2673-0453
к.х.н., с.н.с.
Russian Federation, МоскваЛеонид Модестович Кустов
Институт органической химии им. Н.Д. Зелинского РАН; Московский государственный университет имени М.В. Ломоносова
Email: pomogsvetlana@mail.ru
ORCID iD: 0000-0003-2312-3583
д.х.н., г.н.с.
Russian Federation, Москва; МоскваИван Дмитриевич Ковалев
Институт структурной макрокинетики и проблем материаловедения им. А.Г. Мержанова РАН
Email: pomogsvetlana@mail.ru
ORCID iD: 0000-0003-4710-837X
с.н.с., к.ф.-м.н.
Russian Federation, ЧерноголовкаСветлана Ибрагимовна Помогайло
Институт структурной макрокинетики и проблем материаловедения им. А.Г. Мержанова РАН
Email: pomogsvetlana@mail.ru
ORCID iD: 0000-0001-8200-0706
к.х.н., c.н.с.
Russian Federation, ЧерноголовкаReferences
- Gunsalus N.J., Koppaka A., Park S.E., Bischof S.M., Hashiguchi B.G., Periana R.A. Homogeneous functionalization of methane // Chem. Rev. 2017. V. 117. № 13. P. 8521–8573. https://doi.org/10.1021/acs.chemrev.6b00739
- Чепайкин Е.Г. Гомогенный катализ в окислительной функционализации алканов в протонных средах // Успехи химии 2011. Т. 80. № 4. С. 384–416. EDN: NEBQCX [Chepaikin E.G. Homogeneous catalysis in the oxidative functionalization of alkanes in protic media // Russ. Chem. Rev. 2011. V. 80. № 4. P. 363–396. http://dx.doi.org/10.1070/RC2011v080n04ABEH004131]
- Chepaikin E.G. Activation and Oxidative Functionalization of Alkanes with Noble-Metal Catalysts: Molecular Mechanisms. Ch. 2. // Alkane Functionalization. Eds: A.J.L. Pombeiro, M.F.C. Guedes da Silva. Wiley, 2019. P. 17–46.
- Чепайкин Е.Г., Менчикова Г.Н., Помогайло С.И. Окисление пропана: влияние природы катализатора, сокатализатора и совосстановителя // Нефтехимия. 2021. Т. 61. № 4. С. 540–546. EDN: CDQBYW. https://doi.org/10.31857/S0028242121040092. [Chepaikin E.G., Menchikova G.N., Pomogailo S.I. Oxidation of propane: influence of the nature of catalyst, cocatalyst, and coreductant // Petrol. Chemistry. 2021. V. 61. № 7. P. 781–786. https://doi.org/10.1134/S0965544121070094]
- Zaera F. Designing sites in heterogeneous catalysis: are we reaching selectivities competitive with those of homogeneous catalysts? // Chem. Rev. 2022. V. 122. № 9. P. 8594–8797. https://doi.org/10.1021/acs.chemrev.1c00905.
- Беренблюм А.С., Данюшевский В.Я., Кацман Е.А. От палладиевых кластеров в растворах к нанокатализаторам на носителях для получения углеводородов // Кинетика и катализ. 2019. Т. 60. № 4. С. 411–417. EDN: OIOKHO. https://doi.org/10.1134/S0453881119040014. [Berenblyum A.S., Danyushevsky V.Y., Katsman E.A. From Palladium Clusters in Solutions to Supported Nanocatalysts for Hydrocarbon Synthesis. // Kinet. Catal. 2019. V. 60. P. 381–387. https://doi.org/10.1134/S0023158419040013]
- Матвеева В.Г., Валецкий П.М., Сульман М.Г., Бронштейн Л.М., Сидоров А.И., Долуда В.Ю., Гавриленко А.В., Никошвили Л.Ж., Быков А.В., Григорьев М.В., Сульман Э.М. Наноразмерные Pt-, Ru-, Pd-содержащие катализаторы для органического синтеза и решения проблем экологии // Катализ в промышленности. 2023. № 3. С. 51–63. EDN: NWYODN. [Matveeva V.G., Valetski P.M., Sulman M.G., Bronshtein L.M., Sidorov A.I., Doluda V.Yu., Gavrilenko A.V., Nikoshvili L.Zh., Bykov A.V., Grigoriev M.V., Sulman E.M. Nanosized Pt-, Ru-, and Pd-containing catalysts for organic synthesis and solution of environmental issues.//Catalysis in Industry. 2011. V. 3. № 3. С. 260–270. https://doi.org/10.1134/S2070050411030068]
- Рассолов А.В., Брагина Г.О., Баева Г.Н., Смирнова Н.С., Казаков А.В., Машковский И.С., Бухтияров А.В., Зубавичус Я.В., Стахеев А.Ю. Формирование изолированных моноатомных центров Pd1 на поверхности биметаллических Pd–Ag/Al2O3-катализаторов // Кинетика и катализ. 2020. Т. 61. № 5. С. 676–686. EDN: PBUUQA. https://doi.org/10.31857/S045388112005010X. [Rassolov A.V., Bragina G.O., Baeva G.N., Smirnova N.S., Kazakov A.V., Mashkovsky I.S., Bukhtiyarov A.V., Zubavichus Ya.V., Stakheev A.Yu. Formation of isolated single-atom Pd1 sites on the surface of Pd–Ag/Al2O3 bimetallic catalysts // Kinet Catal. 2020. V. 61. № 5. P. 758–767. https://doi.org/10.1134/S0023158420050080]
- Устюгов А.В., Корыпаев В.В., Обейда З.З., Путин А.Ю., Шварц А.Л., Брук Л.Г. Сравнение активности Pd(0) и Pd(I) в низкотемпературном окислении монооксида углерода на катализаторе Pd / γ-Al2O3 // Кинетика и катализ. 2022. Т. 63. № 2. С. 258–266. EDN: OJHWOD https://doi.org/10.31857/S0453881122020137. [Ustyugov, A.V., Korypaeva, V.V., Obeidat, Z.Z., Putin A.Y., Shvarts A.L., Bruk L.G. Comparison of the activities of Pd(0) and Pd(I) in low-temperature oxidation of carbon monoxide on the Pd / γ-Al2O3 catalyst // Kinet. Catal. 2022. V. 63. № 2. P. 226–233. https://doi.org/10.1134/S0023158422020112]
- Murata K., Eleeda E., Ohyama J., Yamamoto Y., Arai S., Satsuma A. Identification of active sites in CO oxidation over a Pd / Al2O3 catalyst // Phys. Chem Chem Phys. 2019. V. 21. Is. 33. P. 18128–18137. https://doi.org/10.1039/c9cp03943k
- Bruk L., Titov D., Ustyugov A., Zubavichus Y., Chernikova V., Tkachenko O., Kustov L., Murzin V., Oshanina I., Temkin O. The mechanism of low-temperature oxidation of carbon monoxide by Oxygen over the PdCl₂-CuCl₂/γ-Al₂O₃ nanocatalyst. // Nanomaterials. 2018 V. 8. Is. 4. P. 217. https://doi.org/10.3390/nano8040217
- Chetyrin I.A., Bukhtiyarov A.V., Prosvirin I.P., Khudorozhkov A.K., Bukhtiyarov V.I. In situ XPS and MS study of methane oxidation on the Pd–Pt/Al2O3 catalysts // Topics in Catalysis. 2020. V. 63. Is. 1–2. P. 66–74. https://doi.org/10.1007/s11244-019-01217-7
- Peng S., Ma Z., Ma J., Wang H., Chen J., Wei H., Li Y., Ao Z., Wang B. Influence of carrier effect on Pd / Al2O3 for methane complete catalytic oxidation // Front Chem. Sec. Catalytic Reactions and Chemistry. 2022. V. 10. https://doi.org/10.3389/fchem.2022.978698
- Wei Shi, Guangyan Xu, Xuewang Han, Yingjie Wang, Zhi Liu, Sen Xue, Nannan Sun, Xiaoyan Shi, Yunbo Yu, Hong He. Nano-sized alumina supported palladium catalysts for methane combustion with excellent thermal stability // J Environ Sci (China). 2023. April. Р. 333–347. https://doi.org/10.1016/j.jes.2022.04.030
- Ломоносов В.А., Панасюгин А.С., Сморыго О.Л., Микуцкий В.А., Ромашко А.Н., Тихов С.Ф., Садыков В.А. Катализаторы Pd / γ-Al2O3 на ячеистых носителях для нейтрализации паров ЛОС // Катализ в промышленности. 2010. № 6. C. 55–61. EDN: MWLFQD [Lomonosov V.A., Panasyugin A.S., Smorygo O.L., Mikutsky V.A., Romashko A.N., Tikhov S.F., Sadykov V.A. Pd / γ-Al2O3 catalysts on cellular supports for VOC vapor neutralization // Catal. Ind. 2010. V. 2. P. 387–392. https://doi.org/10.1134/S2070050410040148]
- He J., Zheng F., Zhou Y.., Li X., Wang Y., Xiao J., Li Y., Chen D., Lu J. Catalytic oxidation of VOCs over 3D@2D Pd / CoMn2O4 nanosheets supported on hollow Al2O3 microspheres. // J Colloid Interface Sci. 2022. May. V. 613. P. 155–167. https://doi.org/10.1016/j.jcis.2022.01.023
- Тимофеев К.Л., Морилов Д.П., Харламова Т.С. Окисление 5-гидроксиметилфурфурола на нанесенных палладиевых катализаторах // Кинетика и катализ. 2023. Т. 64. № 4. С. 437–446. EDN: RSFDKW. https://doi.org/10.31857/S0453881123040147. [Timofeev K.L., Morilov D.P., Kharlamova T.S. Oxidation of 5-Hydroxymethylfurfural over Supported Palladium-Containing Catalysts // Kinet. Catal. 2023. V. 64. №. 4. P. 439–448. https://doi.org/10.1134/S0023158423040134]
- Jiang M., Wu Q., Yan J., Pan J., Dai Q., Zhan W. Si-doped Al2O3 nanosheet supported Pd for catalytic combustion of propane: effects of Si doping on morphology, thermal stability, and water resistance. // Environ Sci Pollut Res. 2021 28(40). P. 56480–56490. https://doi.org/10.1007/s11356-021-14646-3
- Иванова А.С. Оксид алюминия и системы на его основе: свойства и применение // Кинетика и катализ. 2012. Т. 53. № 4. С. 446–460. EDN: OZLEAP [Ivanova A.S. Aluminium oxide and systems based on it6 properties and applications // Kinet. Catal. 2012. V. 53. № 4. P. 425–439. https://doi.org/10.1134/S0023158412040039]
- Николаев А.В., Чистяков П.А., Чистякова Д.И., Эзжеленко Е.Ю., Либерман Т.В., Конькова Т.В., Цодиков М.В. Влияние носителя на формирование и активность золотосодержащих катализаторов конверсии этанола в бутанол // Нефтехимия. 2021. Т. 61. № 4. С. 504–519. EDN: MLODVG. https://doi.org/10.31857/S0028242121040067. [Nikolaev S.A., Chistyakov A.V., Chistyakova P.A., Ezzhelenko D.I., Liberman E.Y., Konkova T.V., Tsodikov M.V. Effects of support on the formation and activity of gold catalysts for ethanol conversion to butanol // Petrol. Chemistry. 2021. V. 61. № 7. P. 748–761. https://doi.org/10.1134/S0965544121050145]
- Бельская О.Б., Низовский А.И., Гуляева Т.И., Бухтияров В.И. Оксид алюминия, полученный с использованием активированного алюминия, как носитель платиновых катализаторов // Журн. прикладной химии. 2018. Т. 91. Вып. 11. С. 1602–1609. https://doi.org/10.1134/S0044461818110105. [Belskaya O.B., Nizovskii A.I., Gulyaeva T.I., Bukhtiyarov V.I. Aluminum oxide produced with the use of activated aluminum as support for platinum catalysts // Russ. J. Appl. Chem. 2018. V. 91. N 11. P. 1814–1820. https://doi.org/10.1134/s1070427218110113]
- Kustov A.L., Aymaletdinov T.R., Shesterkina A.A., Kalmykov K.B., Pribytkov P.V., Mishin I.V., Dunaev S.F., Kustov L.M. Methane dry reforming: influence of the SiO2 and Al2O3 supports on the catalytic properties of Ni catalysts // Mendeleev Communications. 2024. V. 34. № 2. P. 221–223. https://doi.org/10.1016/j.mencom.2024.02.020
- Ma M., Yang R., He C., Jiang Z., Shi J.W., Albilali R., Fayaz K., Liu B. Pd-based catalysts promoted by hierarchical porous Al2O3 and ZnO microsphere supports/coatings for ethyl acetate highly active and stable destruction. // J. Hazard Mater. 2021. V. 401. ID 123281. https://doi.org/10.1016/j.jhazmat.2020.123281
- Velinova R., Todorova S., Kovacheva D., Kolev H., Karakirova Y., Markov P., Tumbalova K., Ivanov G., Naydenov A. Effect of TiO2 on Pd / La2O3-CeO2-Al2O3 systems during catalytic oxidation of methane in the presence of H2O and SO2 // Materials. 2023. V. 16. Is. 20. ID 6784. https://doi.org/10.3390/ma16206784
- Feng Y., Schaefer A., Hellman A., Di M., Härelind H., Bauer M., Carlsson P.A. Synthesis and Characterization of Catalytically Active Au Core─Pd Shell Nanoparticles Supported on Alumina. Langmuir. 2022 Oct 25;38(42):12859-12870. https://doi.org/10.1021/acs.langmuir.2c01834
- He J., Zheng F., Zhou Y., Li X., Wang Y., Xiao J., Li Y., Chen D., Lu J. Catalytic oxidation of VOCs over 3D@2D Pd / CoMn2O4 nanosheets supported on hollow Al2O3 microspheres. // J. Colloid Interface Sci. 2022. V. 613. P. 155–167. https://doi.org/10.1016/j.jcis.2022.01.023
- Sandu M.P., Kovtunov M.A., Baturin V.S., Oganov A.R., Kurzina I.A. Influence of the Pd:Bi ratio on Pd-Bi/Al2O3 catalysts: structure, surface and activity in glucose oxidation // Phys Chem Chem Phys. 2021. 23(27). P. 14889–14897. https://doi.org/10.1039/d1cp01305j
- Машковский И.С., Марков П.В., Рассолов А.В., Патиль Е.Д., Стахеев А.Ю. Развитие методологии single-atom catalyst в современном катализе // Успехи химии. 2023. V. 92. № 8. RCR5087. EDN: IFQAAA. https://doi.org/10.59761/RCR5087
- Чепайкин Е.Г., Менчикова Г.Н., Помогайло С.И., Ткаченко О.П., Кустов Л.М. Парциальное окисление пропана: катализаторы с изолированными атомами палладия на γ-AL2O3 // Нефтехимия. 2023. Т. 63. № 2. С. 262–267. EDN: HLAAZQ. https://doi.org/10.31857/S0028242123020107. [Chepaikin E.G., Menchikova G.N., Pomogailo S.I., Tkachenko O.P., Kustov L.M. Partial oxidation of propane: single-site Pd / γ-Al2O3 catalysts // Pet. Chem. 2023. V. 63. № 4. P. 463–467. https://doi.org/10.1134/S0965544123030167]
- Anderson G. K., Lin M., Sen A., Gretz E. Bis (Benzonitrile)Dichloro Complexes of Palladium and Platinum // Inorg. Synth. 1990. V. 28. P. 60–63. https://doi.org/10.1002/9780470132593.ch13
- Davydov A.A. Molecular Spectroscopy of Oxide Catalyst Surfaces Wiley: Interscience Publ. 2003. 466p.
- Hadjiivanov K.I., Vayssilov G.N. Characterization of oxide surfaces and zeolites by carbon monoxide as an IR probe molecule // Adv. Catal. 2002. V. 47. P. 307–511. https://doi.org/10.1016/S0360-0564(02)47008-3
- Качала В.В., Хемчян Л.Л., Кашин А.С., Орлов Н.В., Грачев А.А., Залесский С.С., Анаников В.П. Комплексное исследование структуры и механизмов получения и превращений газообразных, жидких и твердых химических систем методами масс-спектрометрии, спектроскопии ЯМР и электронной микроскопии // Успехи химии. 2013. Т. 82. № 7. P. 648–685. EDN: QZMLBT. [Kachala V.V., Khemchyan L.L., Kashin A.S., Orlov N.V., Grachev A.A., Zalesskiy S.S., Ananikov V.P. Target-oriented analysis of gaseous, liquid and solid chemical systems by mass spectrometry, nuclear magnetic resonance spectroscopy and electron microscopy // Russ. Chem. Rev. 2013. V. 82. P. 648–685. https://doi.org/10.1070/RC2013v082n07ABEH004413]
- Кашин А.С., Анаников В.П. Формирование наноразмерных покрытий и наночастиц металлов путем магнетронного распыления и исследование методом сканирующей электронной микроскопии // Изв. АН Сер. Хим. 2011. № 12. С. 2551–2556. [Kashin A.S., Ananikov V.P. A SEM study of nanosized metal films and metal nanoparticles obtained by magnetron sputtering // Russ. Chem. Bull. Int. Ed. 2011. V. 60. P. 2602–2607. https://doi.org/10.1007/s11172-011-0399-x]
- Наканиси K. Инфракрасные спектры и строение органических соединений. М.: Мир, 1965. С. 79.
- Coates J. Interpretation of Infrared Spectra: A Practical Approach // Encyclopedia of Analytical Chemistry. Meyers R.A. (Ed.). John Wiley & Sons Ltd., Chichester, 2000. P. 10881–10882.
- Hadjiivanov K.I. Chapter Two – Identification and Characterization of Surface Hydroxyl Groups by Infrared Spectroscopy // Adv. Catal. 2014. V. 57. P. 99–318. https://doi.org/10.1016/B978-0-12-800127-1.00002-3
- Sheppard N., Nguyen T. The vibrational spectra of carbon monoxide chemisorbed on the surfaces of metal catalysts: a suggested scheme of interpretation // Advances in Infrared and Raman Specroscopy. V. 5. (Eds: R.E. Hester, R.J.H. Clark). London: Heyden and Son, 1978. P. 67–148.
Supplementary files













