Загрязнение сточных вод фенолами в процессах переработки нефти
- Authors: Лядов А.С.1, Кочубеев А.А.1, Борисов Р.С.1, Зименс М.Е.1, Емельханов Р.В.1, Попов А.Ю.2
-
Affiliations:
- Институт нефтехимического синтеза им. А.В. Топчиева РАН
- Центр экологической промышленной политики
- Issue: Vol 64, No 3 (2024)
- Pages: 255-264
- Section: Articles
- URL: https://journals.rcsi.science/0028-2421/article/view/275198
- DOI: https://doi.org/10.31857/S0028242124030079
- EDN: https://elibrary.ru/LGWWOG
- ID: 275198
Cite item
Full Text
Abstract
Фенол и его гомологи (крезолы, ксиленолы и др.), образующиеся на НПЗ при первичной и вторичной переработке нефти и попадающие в сточные воды, оказывают необратимое негативное воздействие на активность микроорганизмов активного ила, играющего важную роль в биологическом процессе очистки сточных вод, что требует постоянного мониторинга содержания фенолов и внедрения процессов их локальной очистки, основанных на различных физических и химических принципах. Использование оригинального метода определения фенола и его гомологов в кислых сточных водах с помощью газохромато-масс-спектрометрии с ионизацией электронами позволило установить, что наибольшее количество фенолов образуется при переработке негидроочищенного сырья на установках каталитического крекинга (148 г/т перерабатываемого сырья); на установках же висбрекинга, каталитического крекинга гидроочищенного сырья и вакуумной перегонки углеводородного сырья удельные значения образования фенолов находятся на уровне 4–7 г/т перерабатываемого сырья.
Рассмотрены возможные способы снижения концентрации фенолов в сточных водах, направляемых на биологические очистные сооружения на НПЗ, основанные на принципах наилучших доступных технологий.
Full Text
В мире действуют порядка 615 нефтеперерабатывающих заводов (НПЗ), перерабатывающих около 5 млрд т сырой нефти в год [1]. Россия занимает третье место в мире (6.6%) по объемам переработки после США (18.7%) и Китая (16.0%). Процессы переработки углеводородного сырья оказывают значительное негативное воздействие на все компоненты окружающей среды, в том числе и на гидросферу, поэтому во многих странах мира охрана окружающей среды отнесена к областям применения наилучших доступных технологий (НДТ) [2].
Поступающая на НПЗ сырая нефть перед переработкой подвергается обезвоживанию с образованием загрязненной воды. Другой источник стоков – вода, используемая в технологических процессах, например, в виде пара, который непосредственно контактирует с перерабатываемым углеводородным сырьем и экстрагирует из него различные соединения (углеводороды, фенолы, сероводород, хлориды, взвешенные вещества и др.) [3].
При переработке 1 т нефти образуется примерно 0.2–0.5 м3 сточных вод [4]. Объем и состав отводимых сточных вод зависят от технологической схемы НПЗ, вида выпускаемой продукции и уровня технического оснащения предприятия (табл. 1) [5]. Особенность нефтеперерабатывающих предприятий состоит в том, что сточные воды образуются, как правило, не от изолированных производственных процессов или агрегатов, а являются совокупностью потоков, собираемых на предприятиях посредством промышленной канализации.
Таблица 1. Типичные диапазоны концентраций загрязнителей в сточных водах основных установок на НПЗ
Процесс | Углеводороды | H2S (RSH) | NH3 (NH4+) | Фенолы | БПК-ХПК, О2 | CN– (CNS–) | Взвешенные частицы |
Первичная переработка нефти | ХХ | ХХ | ХХ | Х | ХХ | – | ХХ |
Процессы гидроочистки | ХХ | ХХ(Х) | ХХ(Х) | — | Х(Х) | – | – |
Висбрекинг | ХХ | ХХ | ХХ | ХХ | ХХ | Х | Х |
Каталитический крекинг | ХХ | ХХХ | ХХХ | ХХ | ХХ | Х | Х |
Гидрокрекинг | ХХ | ХХХ | ХХХ | – | Х | – | – |
Производство масел | ХХ | Х | Х | – | ХХ | – | – |
Вспомогательные процессы | –, < 50 мг/дм3 | – | – | – | Х | – | – |
Х = < 50 мг/дм3, ХХ = 50–500 мг/дм3, ХХХ = > 500 мг/дм3
БПК – биологическое потребление кислорода
ХПК – химическое потребление кислорода
В процессах первичной переработки нефти образуется порядка 40% сточных вод НПЗ, в процессах очистки нефтепродуктов около 30% и примерно 25% во вторичных процессах [6].
Из коллекторов сточные воды направляют на очистные сооружения, где осуществляется ряд технологических процессов с целью снижения концентраций загрязняющих веществ до приемлемых значений. Присутствие в сточных водах соединений, угнетающих развитие используемых для очистки микроорганизмов, может оказывать негативное воздействие на эффективность удаления примесей. Особенно значимым в этом плане является фенол и его производные (крезолы, ксиленолы и др.), проявляющие выраженную биоцидную активность и приводящие тем самым к гибели микрофлоры на этапе биологической очистки [7]. Вследствие этого на НПЗ осуществляется строгий производственный экологический контроль содержания фенолов в сточных водах, направляемых на очистные сооружения; а в некоторых случаях требуются дополнительные мероприятия по предварительной очистке с целью снижения количества фенола и его производных. Например, в соответствии с Правилами холодного водоснабжения и водоотведения, утвержденными постановлением Правительства Российской Федерации от 29.07.2013 № 644, допустимый уровень содержания суммы фенолов в сточных водах, направляемых в централизованные системы водоотведения, не должен превышать 5 мг/дм3. Такая низкая величина концентрации фенолов обусловлена малыми значениями концентраций, при которых происходит заметное замедление деятельности микроорганизмов активного ила, отвечающих за биологическую деструкцию загрязняющих веществ. Так, при содержании фенола в воде 20 мг/дм3 ингибирование деятельности нитрифицирующих бактерий рода Nitrosomonas может достигать 70% от исходного уровня [8, 9], а полное ингибирование деятельности активного ила может наблюдаться уже при концентрации 350 мг/дм3 [10]. В российском информационно-техническом справочнике по наилучшим доступным технологиям „Очистка сточных вод при производстве продукции (товаров), выполнении работ и оказании услуг на крупных предприятиях“ (ИТС НДТ 8-2022) [11] приведена ингибирующая концентрация фенола для активного ила, равная 200–1000 мг/дм3.
Содержание фенолов в сточных водах зависит от различных факторов, например от состава нефтяного сырья, поступающего на переработку, особенностей технологических процессов переработки, схемы повторного использования сточных вод и др. [12]. Основное количество фенолов, наряду с другими загрязнителями (сероводород, нефтепродукты, взвешенные вещества и др.), содержится в так называемых кислых сероводородсодержащих сточных водах.
Существенный вклад в образование кислых сточных вод вносят установки электрообессоливания и обезвоживания нефти (ЭЛОУ). Формируемые ими стоки содержат широкий спектр загрязнителей и, в зависимости от свойств поступающего на переработку нефтяного сырья, их объем может достигать 30–100 дм3 на тонну сырой нефти [13]. В процессе обезвоживания значительная часть фенолов, находящихся в сырой нефти, переходит в водный слой. Обессоленная и обезвоженная нефть тоже может содержать некоторые количества фенолов, которые впоследствии подвергаются превращениям во вторичных процессах нефтепереработки.
Около половины объема загрязненных сточных вод на НПЗ образуется на установках первичной переработки нефти, так как для их эффективной работы необходимо использование большого количества пара, непосредственно соприкасающегося с перерабатываемым углеводородным сырьем. Так, в процессе атмосферной перегонки перегретый пар используют в блоках отпарки кубового остатка, отводимого снизу атмосферной колонны, для более полного извлечения легких углеводородных фракций. В вакуумных колоннах дистилляции пар является теплоносителем и инертным компонентом, введение которого позволяет снизить температуру кипения; он также необходим для образования и поддержания вакуума в вакуумсоздающих системах (барометрические конденсаторы и пароэжекторные насосы). Образованию фенолов, как и других кислородсодержащих компонентов, способствует натекание воздуха через имеющиеся неплотности (дефекты сварных швов, прокладки фланцевых соединений, уплотнения насосов и т.д.), а также растворенный в сырье кислород. Непрерывно образующаяся кислая вода постоянно выводится с установок первичной переработки нефти для последующей отпарки и/или очистки. На установках атмосферно-вакууммной перегонки нефти может образовываться до 150 дм3 кислой воды на тонну перерабатываемого нефтяного сырья.
Другим процессом, в котором образуются фенолы, является висбрекинг, позволяющий осуществлять переработку тяжелых нефтяных остатков с целью получения компонентов стабильного котельного топлива. Этот процесс проводят при давлении 1–5 МПа и температуре 430–500°С, а для турбулизации сырьевого потока в него вводится химически очищенная вода в виде пара. Образующийся газовый поток после превращения сырья в реакционных камерах, конденсации и охлаждения направляется в сепаратор, с нижней части которого кислая вода в виде так называемого технологического конденсата выводится в промышленную канализацию. В зависимости от особенностей процесса при осуществлении висбрекинга образуется 15–30 дм3 кислой воды на тонну перерабатываемого сырья. Образование фенолов происходит в гидротермальных условиях в процессе неглубокой деструкции кислородсодержащих и ароматических соединений, содержащихся в сырье.
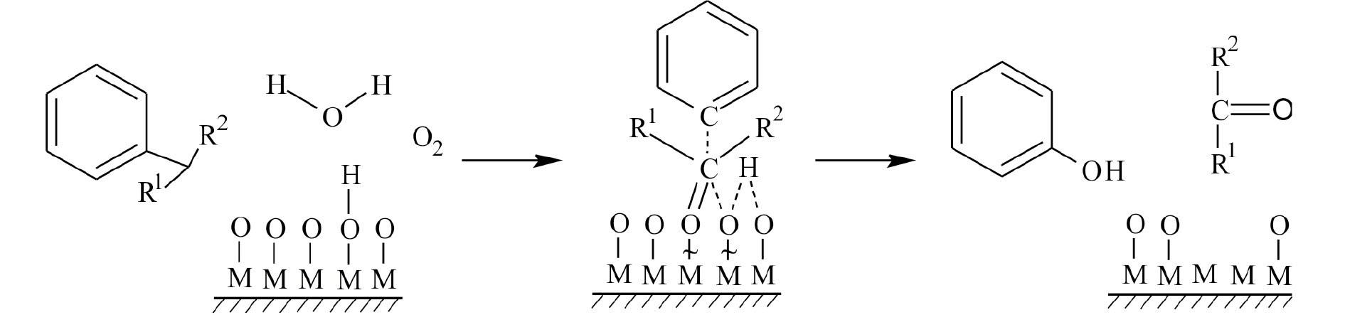
Установки каталитического крекинга – еще один значимый источник фенолов в сточных водах НПЗ. В этом случае основное количество загрязненных сточных вод образуется в процессе отпарки катализатора. После отпарки водяной пар из реактора поступает в ректификационную колонну, а затем вместе с бензиновыми парами и газом после конденсаторов направляется в газосепаратор, из которого технологический конденсат сбрасывают в канализацию. Такой технологический конденсат в основном загрязнен нефтепродуктами, сульфидами аммония, фенолом и другими растворенными в воде органическими веществами. Показано [14], что фенолы при каталитическом крекинге образуются в результате окисления алкилароматических углеводородов свободным кислородом по механизму „карбоксилатного“ комплекса [15] (схема 1).
Схема 1
Свободный кислород, являющийся окислителем, попадает в реактор вместе с регенерированным катализатором.
Содержание фенолов существенно зависит от состава сырья, направляемого на установку каталитического крекинга (данный вопрос будет рассмотрен далее). Объем образующихся кислых сточных вод от установок каталитического крекинга составляет 60–90 дм3 в расчете на тонну перерабатываемого сырья.
Цель данного исследования – определение содержания фенола и его гомологов в сточных водах различных технологических объектов, обеспечивающих переработку нефти на НПЗ, и анализ возможных способов снижения их концентрации.
ЭКСПЕРИМЕНТАЛЬНАЯ ЧАСТЬ
Пробы кислой воды отбирали на установках первичной и вторичной переработки нефти, а именно на установке электрообессоливания и обезвоживания нефти (ЭЛОУ), установках атмосферно-вакуумной перегонки нефти (АВТ), вакуумной перегонки, висбрекинга, каталитического крекинга, осуществляющие переработку как гидроочищенного, так и негидроочищенного сырья. Во всех случаях пробы воды отбирались сразу же после выхода с установки до их непосредственного направления на установку отпарки кислой воды. Образцы отбирали на протяжении четырех недель для получения наиболее достоверных данных и исключения возможного влияния изменений условий работы установок. Некоторые отобранные пробы состояли из двух слоев: углеводородного верхнего и водного нижнего слоя. Помимо водного слоя на содержание фенолов проверяли и углеводородный слой.
Количественное определение фенолов проводили на хромато-масс-спектрометре Thermo ISQ (капиллярная колонка J&W Carbowax 20M, длина 30 м, внутренний диаметр 0.25 мм, толщина фазы 0.25 мкм, газ-носитель – гелий; режим работы: температура инжектора 300°С, ввод со сбросом потока 1 : 50, начальная температура печи хроматографа 50°С (изотерма в течение 5 мин), затем нагрев со скоростью 10°С/мин до 290°С, изотерма в течение 3 мин. Режим работы масс-спектрометра: энергия ионизации 70 эВ, температура источника 250°С, сканирование в режиме мониторинга выбранных ионов (табл. 2). К 500 мкл пробы добавляли 50 мкл раствора внутреннего стандарта 2-фторфенола, с концентрацией 300 ppm в воде (при анализе водных растворов) и хлористом метилене (при анализе углеводородного слоя).
Таблица 2. Характеристичные ионы, используемые для идентификации и количественного определения аналитов
Детектируемое соединение | Основной ион, m/z | Подтверждающий ион, m/z |
Фенол | 94 | 66 |
2-Фторфенол (внутренний стандарт) | 112 | 64 |
Изомерные крезолы | 108 | 79 |
Ксиленолы | 107 | 122 |
В газовый хроматограф вводили 1 мкл пробы. Количество фенола в образце определяли, исходя из соотношения площади пика внутреннего стандарта и аналитов на хроматограммах по характеристичным ионам; относительный фактор отклика принимался равным 1.
РЕЗУЛЬТАТЫ И ИХ ОБСУЖДЕНИЕ
Результаты определения содержания фенолов в исследованных образцах, а также удельные значения образования кислых сточных вод и фенолов для разных процессов приведены в табл. 3. Следует отметить, что во всех случаях, когда помимо воды в образцах присутствовал углеводородный слой, концентрация определяемых фенолов в нем была ниже пределов обнаружения (1 ppm для всех определяемых аналитов). Этот факт указывает на то, что вода эффективно экстрагирует фенолы из углеводородного слоя и они практически полностью переходят в стоки.
Таблица 3. Общее содержание фенолов в сточных водах технологических объектов НПЗ
Установка | Содержание фенолов в кислой воде, образующейся на установке, мг/дм3 | Удельный объем образования кислой воды на установке, дм3/т перерабатываемого сырья | Удельное количество образования фенолов, г/т перерабатываемого сырья |
ЭЛОУ | 24 ± 5 | –* | –* |
Установка атмосферно-вакуумной перегонки нефти | 184 ± 12 | –** | –** |
Установка вакуумной перегонки | 57 ± 6 | 70 | 4 |
Установка висбрекинга | 334 ± 59 | 17 | 6 |
Установка каталитического крекинга негидроочищенного сырья | 1123 ± 204 | 132 | 148 |
Установка каталитического крекинга гидроочищенного сырья | 58 ± 9 | 120 | 7 |
* Для промывки нефтяного сырья при обессоливании на установке ЭЛОУ используют воду после отпарки, содержащую значительное количество фенолов. Достоверно установить удельный объем кислой воды и удельное значение образования фенолов для данного процесса не представляется возможным.
** Для расчета удельных значений отсутствуют данные по количеству образующихся сточных вод в процессе атмосферно-вакуумной перегонки.
Наибольшая концентрация фенолов, как и следовало ожидать, зафиксирована для воды, образующейся на установке каталитического крекинга, перерабатывающей негидроочищенное сырье. Использование гидроочищенного сырья позволяет снизить концентрацию фенолов в образующейся воде до 20 раз. Такое различие объясняется содержанием меньшего количества ароматических соединений в гидроочищенном сырье по сравнению с прямогонным вакуумным газойлем. При контакте регенерированного катализатора, содержащего остаточный кислород, с гидрированным сырьем в первую очередь происходят реакции окислительного дегидрирования полициклических нафтеновых и нафтено-ароматических углеводородов, как наиболее легко отдающих водород, и только после этого происходит окисление алкилароматических углеводородов с образованием фенолов.
Процессы вакуумной перегонки нефти, висбрекинга и каталитического крекинга гидроочищенного сырья характеризуются сопоставимыми удельными значения образования фенолов: 4–7 г/т перерабатываемого сырья. Удельный объем образования кислой воды варьируется в широких пределах: от 17 дм3/т перерабатываемого сырья для висбрекинга до 120 дм3/т перерабатываемого сырья каталитического крекинга.
Для установок ЭЛОУ и атмосферно-вакуумной перегонки нефти достоверно определить удельные значения не представлялось возможным, так как отсутствовали данные по валовым объемам образующихся сточных вод. Однако были определены концентрации фенолов, в воде, отводимой в промышленную канализацию: концентрация фенолов в воде от установки ЭЛОУ составила 25 мг/дм3, а от установки АВТ – 184 мг/дм3. Учитывая, что в процессе первичной переработки на НПЗ образуется до 40% всех кислых сточных вод, а также значительное содержание фенолов, в такой воде установки первичной переработки нефти будут иметь наибольший вклад в валовое количество образующихся фенолов.
Традиционным подходом для количественного анализа фенолов в воде является спектрофотометрическое определение окрашенных продуктов взаимодействия этих аналитов с 4-аминоантипирином (ПНД Ф 14.1:2.105-97 „Количественный химический анализ вод. Методика выполнения измерений массовой концентрации летучих фенолов в природных и очищенных сточных водах фотометрическим методом после отгонки с водяным паром"). Такой подход не позволяет различить изомеры и в результате определяется так называемый фенольный индекс, представляющий собой концентрацию фенольных соединений в пересчете на фенол. Напротив, использование газохромато-масс-спектрометрии позволяет количественно определять как содержание самого фенола, так и его гомологов. На рис. 1 приведены данные по содержанию фенолов различного строения в исследованных образцах сточных вод.
Рис. 1. Распределение фенолов в сточных водах от установок переработки нефти: ЭЛОУ – электрообессоливания и обезвоживания нефти; АВТ – атмосферно-вакуумной перегонки нефти, ВТ – вакуумной перегонки, КК (1) – каталитического крекинга негидроочищенного сырья, КК (2) – каталитического крекинга гидроочищенного сырья
В воде с установки ЭЛОУ содержатся только фенол и крезолы. В воде с установки АВТ доля гомологов фенолов не превышает 10%. Совершенно иное распределение фенолов обнаружено в кислой воде с установки вакуумной перегонки, в которой на долю самого фенола приходится не более 20%, но зато содержится максимальное количество (до 50%) фенолов с углеводородными заместителями с двумя атомами углерода.
Во вторичных процессах по сравнению с атмосферно-вакуумной перегонкой наблюдается увеличение доли гомологов фенола. Особенно это заметно проявляется в процессе висбрекинга, где на долю крезолов приходится более 40%. Природа используемого сырья в процессе каталитического крекинга не оказывает существенного влияния на распределение фенолов в кислой воде.
Способы снижения содержания фенолов в сточных водах НПЗ
Существуют две принципиальные возможности снижения содержания фенолов в образующихся сточных водах на НПЗ: оптимизация технологических процессов; внедрение дополнительных этапов предварительной очистки сточных вод перед их направлением на биологические очистные сооружения.
Наиболее значимым способом снижения валового количества образующихся фенолов на НПЗ является вовлечение в процесс каталитического крекинга гидроочищенного сырья; однако данный подход требует значительных капитальных затрат и не всегда может быть экономически оправдан. Хотя, как было показано ранее, такой подход позволяет в 20 и более раз сократить количество образующихся фенолов.
Другой опробованный подход – использование кислой воды от различных технологических процессов после отпарки летучих кислых компонентов (например, сероводорода) для промывки сырой нефти на установках ЭЛОУ при ее обессоливании. При этом удается несколько уменьшить содержание фенолов в отходящей воде по сравнению с водой, подаваемой для промывки, за счет частичного перехода фенолов в углеводородную часть. Однако данный подход в целом не оказывает существенного влияния на общий баланс фенолов на НПЗ.
Процессы отпарки и дистилляции для снижения концентрации фенолов не являются эффективными, так как фенолы с водой образуют азеотропные смеси. Например, азеотропная смесь фенола с водой, выкипающая при 99.6°С, содержит 9.2% фенола. Использование воды, содержащей фенолы, в технологических процессах на НПЗ, например для выработки пара, осложняется высокой коррозионной активностью растворов фенолов в воде даже при очень низких концентрациях. Скорость коррозии стальных элементов в водных растворах фенола резко возрастает при незначительном снижении pH и повышении температуры [16]. Данные факторы должны быть учтены при рассмотрении потенциальных возможностей использования кислой воды в технологических процессах.
Если при распределении потоков сточных вод на НПЗ не удается достичь приемлемого содержания фенолов для дальнейшей их переработки на очистных сооружениях, то требуется внедрение дополнительных процессов предварительной доочистки. Для этого предложено применять различные процессы снижения концентрации фенолов в воде (табл. 4) [17].
Таблица 4. Технологии снижения содержания фенолов в сточных водах
Технология | Процесс | Преимущества | Недостатки | Ссылки |
Мембранное разделение | Экстракционное мембранное разделение | Высокая экономическая эффективность, надежность, компактность и масштабируемость; образование концентрированных растворов фенолов, подходящих для дальнейшей квалицированной переработки | Существуют риски загрязнения мембран; невозможность достижения низких концентраций фенолов, требуемых для эффективной работы очистных сооружений; требуется сочетание с другими процессами очистки | |
Обратный осмос | ||||
Нанофильтрация | ||||
Фотокаталитическое мембранное разделение | ||||
Мембранная дистилляция | ||||
Дистилляция /испарение | – | Ограниченно подходят для выделения фенолов из сточных вод с высоким содержанием | Высокие капитальные и операционные затраты; процессы являются энергозатратными | [20] |
Адсорбция / экстракция | Адсорбция неорганическими сорбентами | Экономическая эффективность для сточных вод с низкими концентрациями фенолов; высокая эффективность извлечения фенолов | Высокая стоимость расходных материалов, необходимость утилизации отработанных адсорбентов и растворителей; наличие других загрязнителей снижает эффективность процесса | |
Экстракция несмешивающимися с водой растворителями | ||||
Химическое окисление | Электрохимическое окисление | Доступны различные варианты окисления, имеющие опыт внедрения в промышленности; масштабируемость | Высокие затраты на реагенты (окислители), образующиеся продукты могут требовать дальнейшей обработки (осаждение, выделение твердых компонентов и др.) | |
УФ/H2O2 – окислительная деструкция | ||||
Процесс Фентона и его модификации | ||||
Влажное окисление и влажное каталитическое окисление | ||||
Озонолиз | ||||
Биологическая деградация | Использование специальных микроорганизмов, осуществляющих деструкцию фенолов | Высокая экономическая эффективность, безопасность и простота реализации, образующиеся продукты деструкции являются безвредными | Не подходит для сточных вод с большим содержанием фенолов, кислых компонентов и высокой минерализацией |
Для снижения содержания фенола в концентрированных сточных водах ИТС НДТ 8-2022 [11] рекомендует использовать следующие методы очистки: химическое окисление пероксидом водорода и кислорода, обратный осмос, нанофильтрацию, адсорбцию, экстракцию, сжигание сточных вод и аэробную очистку. Представлены сведения о том, что можно использовать и эвапорационный способ очистки, позволяющий удалять не только фенол и его производные, но и нафтолы и карбоновые кислоты; степень удаления фенолов достигает 80–90%. Для доочистки сточных вод могут быть применены биологические методы, использование которых позволяет выделить из сточных вод 99.1–99.8% фенолов.
В справочнике по наилучшим доступным технологиям Европейского союза, в разделе, посвященном обращению со сточными водами химических производств [27], приведены сведения о достигаемой эффективности в реализованных на практике процессах различных методов локальной очистки, которые позволяют снизить концентрацию широкого спектра загрязняющих веществ, в том числе и фенолов (табл. 5).
Таблица 5. Эффективность различных способов предварительной очистки в отношении снижения концентрации фенолов в сточных водах от технологических объектов химической промышленности
Процесс | Эффективность удаления фенолов, % | Примечание |
Окислительная деструкция с использование гипохлорита | 45–70 | Исходное содержание фенолов в сточной воде 150–200 мг/дм3, существует риск образования хлорированных побочных продуктов |
Влажное окисление пероксидом водорода | До 100% | Исходное содержание фенолов в сточной воде может достигать нескольких десятков мг/дм3 |
Адсорбция на гранулированном активированном угле | 75 | Содержание фенолов в сточной воде 70 мг/дм3 |
60–80 | Содержание фенолов в сточной воде 5 мг/дм3 | |
81 | Исходное содержание фенолов в сточной воде 1000 мг/дм3, емкость адсорбента по фенолу – 161 мг/дм3 | |
Биологическая очистка с использованием смешанного активного ила | 99 | Концентрация фенола, не превышающая 30 мг/дм3 |
Биофильтрация с фиксированным слоем | 75–98 | – |
Процессы окислительной деструкции с использованием различных окислителей позволяют с высокой эффективностью снижать содержание фенолов в сточной воде. Степень удаления фенолов зависит от их исходной концентрации, а также наличия других компонентов, подвергающихся окислению. При содержании фенолов на уровне десятков мг/дм3 эффективность процесса может достигает 100%. Окислительные процессы характеризуются высокими операционными затратами, так как требуют постоянного введения окислителей, а также, в некоторых случаях, использования катализаторов.
Адсорбционные процессы в зависимости от природы адсорбента и исходной концентрации фенолов в воде позволяют извлекать из воды до 80% фенолов. Такие процессы являются экономически оправданными при небольших потоках сточных вод с невысокими концентрациями фенолов, и в основном они используются для доведения до требуемого качества воды, используемой повторно в некоторых процессах. Отработанный адсорбент должен подвергаться утилизации, так как его регенерация не всегда возможна, что требует дополнительных затрат.
Биологические методы очистки являются крайне эффективными для удаления фенолов, однако существенным ограничением их использования является исходная концентрация фенолов, которая не должна превышать 30 мг/дм3.
ЗАКЛЮЧЕНИЕ
При переработке нефти образование фенолов – неотъемлемая часть химических превращений углеводородного сырья, концентрацию которых в воде не всегда удается снизить до значений, удовлетворяющих требованиям биологических очистных сооружений, за счет оптимизации тех или иных технологических процессов. Внедрение на производствах водооборотных систем позволило значительно снизить объем образующихся сточных вод, направляемых на очистку, что, однако, привело к росту концентраций ряда загрязняющих веществ, в том числе и фенолов, в сточной воде за счет снижения эффекта от их разбавления.
Вследствие этого на ряде технологических объектов переработки нефти возникает потребность в создании локальных очистных сооружений, приводящая к увеличению капитальных и операционных затрат. При необходимости снижения количества фенолов выбор в пользу того или иного метода предварительной очистки сточных вод не всегда очевиден и будет зависеть от объема загрязненной воды, концентрации фенолов и других вредных веществ, а также требуемой эффективности очистки. Поэтому для адекватного выбора способа очистки требуется проведение сравнительных исследований эффективности различных методов.
ФИНАНСИРОВАНИЕ
Работа выполнена в рамках государственного задания Института нефтехимического синтеза им. А.В. Топчиева РАН.
КОНФЛИКТ ИНТЕРЕСОВ
А.С. Лядов и Р.С. Борисов входят в состав редакционной коллегии журнала „Нефтехимия“, у других авторов конфликт интересов, требующий раскрытия, отсутствует.
About the authors
Антон Сергеевич Лядов
Институт нефтехимического синтеза им. А.В. Топчиева РАН
Author for correspondence.
Email: lyadov@ips.ac.ru
ORCID iD: 0000-0001-9969-7706
к.х.н.
Russian Federation, МоскваАлександр Александрович Кочубеев
Институт нефтехимического синтеза им. А.В. Топчиева РАН
Email: lyadov@ips.ac.ru
ORCID iD: 0000-0001-5760-8453
Russian Federation, Москва
Роман Сергеевич Борисов
Институт нефтехимического синтеза им. А.В. Топчиева РАН
Email: lyadov@ips.ac.ru
ORCID iD: 0000-0002-8203-7055
к.х.н.
Russian Federation, МоскваМарина Евгеньевна Зименс
Институт нефтехимического синтеза им. А.В. Топчиева РАН
Email: lyadov@ips.ac.ru
ORCID iD: 0000-0003-3589-7199
Russian Federation, Москва
Руслан Васильевич Емельханов
Институт нефтехимического синтеза им. А.В. Топчиева РАН
Email: lyadov@ips.ac.ru
ORCID iD: 0009-0009-6340-5009
Russian Federation, Москва
Александр Юрьевич Попов
Центр экологической промышленной политики
Email: lyadov@ips.ac.ru
ORCID iD: 0000-0001-9799-5013
Russian Federation, Мытищи
References
- Vogt E.T.C., Weckhuysen B.M. The refinery of the future // Nature. 2024. V. 629. P. 295–306. https://doi.org/10.1038/s41586-024-07322-2
- Khor C.S., Elkamel A. Environmental issues related to the petroleum refining industry // Chapter in book „Petroleum Refining and Natural Gas Processing“. 2013. P. 828. ISBN 978-0-8031-7022-3. https://doi.org/10.1520/MNL58-EB
- Wake H. Oil refineries: a review of their ecological impacts on the aquatic environment // Estuarine, Coastal and Shelf Science. 2005. V. 62. I. 1–2. P. 131–140. https://doi.org/10.1016/j.ecss.2004.08.013
- Coelho A., Castro A.V., Dezotti M., Sant’Anna G.L. Jr. Treatment of petroleum refinery sourwater by advanced oxidation processes // J. оf Hazardous Materials. 2006. V. 137. I. 1. P. 178–184. https://doi.org/10.1016/j.jhazmat.2006.01.051
- Best available techniques (BAT) reference document for the refining of mineral oil and gas // Industrial emissions directive 2010/75/EU (Integrated pollution prevention and control). https://doi.org/10.2791/010758
- Абросимов А.А. Экология переработки углеводородных систем. Учебник. М.: Химия, 2002. 608 с.
- Gami A.A., Shukor M.Y., Khalil K.A., Dahalan F.A., Khalid A., Ahmad S.A. Phenol and its toxicity // J. of Environmental Microbiology and Toxicology. 2014. V. 2. I. 1. P. 11–23. https://doi.org/10.54987/jemat.v2i1.89
- Lauchnor E.G., Semprini L. Inhibition of phenol on the rates of ammonia oxidation by Nitrosomonas europaea grown under batch, continuous fed, and biofilm conditions // Water Research. 2013. V. 47. I. 13. P. 4692–4700. https://doi.org/10.1016/j.watres.2013.04.052
- Lauchnor E.G., Radniecki T.S., Semprini L. Inhibition and gene expression of Nitrosomonas europaea biofilms exposed to phenol and toluene // Biotechnology and Bioengineering. 2011. V. 108. I. 4. P. 750–757. https://doi.org/10.1002/bit.22999
- Gómez-Acata S., Esquivel-Ríos I., Pérez-Sandoval M.V., Navarro-Noya Y., Rojas-Valdez A., Thalasso F., Luna-Guido M., Dendooven L. Bacterial community structure within an activated sludge reactor added with phenolic compounds // Environmental biotechnology. 2017. V. 101. P. 3405–3414. https://doi.org/10.1007/s00253-016-8000-z
- Информационно-технический справочник по наилучшим доступным технологиям „Очистка сточных вод при производстве продукции (товаров), выполнении работ и оказании услуг на крупных предприятиях“ (ИТС НДТ 8-2022). 2022. URL: https://burondt.ru/NDT/NDTDocsDetail.php?UrlId=1850&etkstructure_id=1872 (дата обращения 21.10.2024)
- Thorat B.N., Sonwani R.K. Current technologies and future perspectives for the treatment of complex petroleum refinery wastewater: A review // Bioresource Technology. 2022. V. 355. Article number 127263. https://doi.org/10.1016/j.biortech.2022.127263
- Abdel-Aal H.K., Zohdy K., Abdelkreem M. Waste management in crude oil processing: crude oil dehydration and desalting // Intern. J. of Waste Resources. 2018. V. 8. Is. 1. ID 1000326. https://doi.org/10.4172/2252-5211.1000326
- Хаджиев С.Н., Суворов Ю.П., Зиновьев В.Р., Гайрбекова С.М., Светозарова О.И., Матаева Б.В. Крекинг нефтяных фракций на цеолитсодержащих катализаторах. М.: Химия, 1982. 280 с.
- Боресков Г.К. Гетерогенный катализ. М.: Наука, 1988. 304 с.
- Wachter A., Stillman N. Corrosion by phenol at high temperatures // Transactions of The Electrochemical Society. 1945. V. 87. I. 1. P. 183. https://doi.org/10.1149/1.3071638
- Mohammadi S., Kargari A., Sanaeepur H., Abbassian K., Najafi A., Mofarrah E. Рhenol removal from industrial wastewaters: a short review // Desalination and Water Treatment. 2015. V. 53. I. 8. P. 2215–2234. https://doi.org/10.1080/19443994.2014.883327
- Raza W., Lee J., Raza N., Luo Y., Kim K.-H., Yang J. Removal of phenolic compounds from industrial waste water based on membrane-based technologies // J. of Industrial and Engineering Chemistry. 2019. V. 71. P. 1–18. https://doi.org/10.1016/j.jiec.2018.11.024
- Ezugbe E.O., Rathilal S. Membrane technologies in wastewater treatment: a review // Membranes. 2020. V. 10. I. 5. ID 89. https://doi.org/10.3390/membranes10050089
- Patel M., Patel D., Pillai P. Сomparison of different treatment methods which are used for phenol removal: a mini review // Water Practice and Technology. 2024. V. 19. I. 7. P. 2761–2773. https://doi.org/10.2166/wpt.2024.143
- Ahmaruzzaman Md. Adsorption of phenolic compounds on low-cost adsorbents: a review // Advances in Colloid and Interface Science. 2008. V. 143. I. 1–2. P. 48–67. https://doi.org/10.1016/j.cis.2008.07.002
- Pavithra K.G., Rajan P.S., Arun J., Brindhadevi K., Le Q.H., Pugazhendhi. A review on recent advancements in extraction, removal and recovery of phenols from phenolic wastewater: Challenges and future outlook // Environmental Research. 2023. V. 237. Part 2. ID 117005. https://doi.org/10.1016/j.envres.2023.117005
- Rokhina E.V., Virkutyte J. Environmental application of catalytic processes: heterogeneous liquid phase oxidation of phenol with hydrogen peroxide // Critical Reviews in Environmental Science and Technology. 2010. V. 41. I. 2. P. 125–167. https://doi.org/10.1080/10643380802669018
- Rueda Márquez J.J., Levchuk I., Sillanpää M. Application of catalytic wet peroxide oxidation for industrial and urban wastewater treatment: a review // Catalysts. 2018. V. 8. I. 12. ID 673. https://doi.org/10.3390/catal8120673
- Aslam Z., Alam P., Islam R., Khan A.H., Samaraweera H., Hussain A., Zargar T.I. Recent developments in moving bed biofilm reactor (MBBR) for the treatment of phenolic wastewater. A review // J. of the Taiwan Institute of Chemical Engineers. 2024. ID 105517. https://doi.org/10.1016/j.jtice.2024.105517
- Sravan J.S., Matsakas L., Sarkar O. Advances in biological wastewater treatment processes: focus on low-carbon energy and resource recovery in biorefinery context // Bioengineering. 2024. V. 11. I. 3. ID 281. https://doi.org/10.3390/bioengineering11030281
- Best Available Techniques (BAT) Reference Document for Common Waste Water and Waste Gas Treatment/Management Systems in the Chemical Sector. 2016. URL: https://eippcb.jrc.ec.europa.eu/sites/default/files/2019-11/CWW_Bref_2016_published.pdf (дата обращения: 21.10.2024)
Supplementary files




