Expression of long non-coding RNAs and protein-coding genes involved in cellular senescence in patients with chronic obstructive pulmonary disease
- 作者: Markelov V.A.1,2, Korytina G.F.1,2, Aznabaeva Y.G.2, Gibadullin I.A.2, Akhmadishina L.Z.1,3, Nasibullin T.R.1, Kochetova O.V.1, Avzaletdinov A.M.2, Zagidullin N.S.2
-
隶属关系:
- Ufa Federal Research Centre of the Russian Academy of Sciences (IBG UFRC RAS)
- Bashkir State Medical University
- Ufa State Petroleum Technological University
- 期: 卷 58, 编号 5 (2024)
- 页面: 821-839
- 栏目: МОЛЕКУЛЯРНАЯ БИОЛОГИЯ КЛЕТКИ
- URL: https://journals.rcsi.science/0026-8984/article/view/281591
- DOI: https://doi.org/10.31857/S0026898424050119
- EDN: https://elibrary.ru/HUEBQI
- ID: 281591
如何引用文章
全文:
详细
Chronic obstructive pulmonary disease (COPD) is a complex chronic heterogeneous respiratory inflammatory disease. The disease develops as a result of complex interaction of molecular genetic factors, a network of epigenetic regulators and environmental exposure. COPD pathogenesis may also involve dysregulation of stress responses preventing cellular senescence, encompassing a wide range of signaling pathways and their epigenetic regulators, including long noncoding RNAs (lncRNAs). In order to assess the contribution of genes involved in key signaling pathways related to cellular senescence to the molecular pathogenesis of COPD the expression profile of long non-coding RNA (TP53TG1, LINC00342, H19, MALAT1, DNM3OS, MEG3) and protein-coding genes (PTEN, TGFB2, FOXO3, KEAP1) in peripheral blood mononuclear cells of COPD patients (n = 92) and controls (n = 81) was evaluated. Significant downregulation of lncRNAs TP53TG1, DNM3OS and mRNA TGFB2 expression levels was found. The expression levels of ncRNAs MALAT1 and LINC00342 were upregulated in COPD patients. Based on the results of multiple regression and ROC-analysis, a highly informative prognostic model was determined, which included simultaneous expression level assessment of TP53TG1 and TGFB2 (AUC = 0.92). A positive correlation of MALAT1, DNM3OS, TGFB2, FOXO3 and KEAP1 expression levels with lung function parameters which reflect the disease progression was established. The differentially expressed lncRNAs (TP53TG1, LINC00342, DNM3OS, MALAT1) and protein-coding gene TGFB2 detected in the study functionally act as regulators of apoptosis, inflammation, fibrogenesis and epithelial-mesenchymal transition, indicating an active role of cellular senescence processes in the molecular pathogenesis of COPD.
全文:
Сокращения: ХОБЛ – хроническая обструктивная болезнь легких, ЭМП – эпителиально-мезенхимальный переход, ИЛФ – идиопатический легочный фиброз, днРНК – длинная некодирующая РНК, МНК – мононуклеарные клетки крови, ЖЕЛ – жизненная емкость легких, ФЖЕЛ – форсированная жизненная емкость легких, ОФВ1 – объем форсированного выдоха за первую секунду.
Введение
Хроническая обструктивная болезнь легких (ХОБЛ) – многофакторное хроническое гетерогенное воспалительное заболевание, затрагивающее дистальные отделы дыхательных путей (бронхи, бронхиолы) и легочную паренхиму с развитием эмфиземы легких [1]. ХОБЛ, наряду с сердечно-сосудистыми и онкологическими заболеваниями, относится к главным причинам роста смертности в мире, что объясняет постоянный поиск новых подходов к диагностике и лечению данной патологии [2]. ХОБЛ развивается в результате комплексного взаимодействия молекулярно-генетических факторов, сети эпигенетических регуляторов и внешнесредовых воздействий, тесно связанных с образом жизни [3].
Вдыхание частиц сигаретного дыма и других поллютантов, активация воспалительных клеток (макрофагов и нейтрофилов) приводят к развитию окислительного стресса [2, 3], который считается ключевым фактором ускоренного клеточного старения, так как активные формы кислорода вызывают повреждения структуры клеток [4].
Появляется все больше доказательств связи ХОБЛ с ускоренным старением и избыточным накоплением стареющих клеток в состоянии необратимой остановки клеточного цикла [5]. Для ХОБЛ характерно повреждение и укорочение теломер [6] и повреждение ДНК [7], заметное снижение регенеративной способности базальных и эпителиальных альвеолярных клеток типа II [8], накопление клеток с выраженным секреторным фенотипом, ассоциированным со старением (senescence-associated secretory phenotype, SASP) [7].
Особый интерес представляют механизмы, связанные с функцией длинных некодирующих РНК (днРНК), которые играют важную роль в регуляции различных внутриклеточных сигнальных путей и формировании различных патологических фенотипов [9]. Ядерные формы днРНК участвуют в компартментализации ядра, регуляции сплайсинга и активности генов путем аллостерического взаимодействия с транскрипционными факторами, поддержания структуры эухроматина/формирования гетерохроматина [10]. Цитоплазматические формы днРНК связываются с микроРНК, препятствуя ингибированию ими мРНК, и таким образом выступают в роли конкурирующих эндогенных РНК (ceRNA), регулируют модификацию структуры белков, служат каркасом для белков сигнальных путей и участвуют в формировании межклеточных контактов [11].
Ранее мы описали роль днРНК и клеточного старения в патогенезе ХОБЛ [12], в данной работе приведены результаты определения профиля экспрессии ряда днРНК и белоккодирующих генов, тем или иным образом вовлеченных в регуляцию клеточного старения у больных ХОБЛ. Ген TP53TG1 (TP53 target 1), кодирующий одноименную днРНК и индуцируемый белком-супрессором р53, расположен на хромосоме 7q21, участвует в ответе клетки на повреждение и является частью сигнального пути TP53 [13]. днРНК TP53TG1 ингибирует WNT/β-катенин, способствует апоптозу клеток через активацию синтеза фермента PTEN и ингибирования сигнального пути PI3K/AKT [13, 14], связанного с такими процессами, как пролиферация, адгезия, миграция, инвазия, метаболизм, выживание и клеточное старение [15]. Ген LINC00342 (long intergenic non-protein coding RNA 342), локализованный на хромосоме 2 (2q11.1), кодирует одноименную днРНК, экспрессия которой повышена в тканях немелкоклеточного рака легкого [16]. днРНК LINC00342 связывается с miR-203a-3p [17], что приводит к подавлению противоопухолевой активности белков p53 и PTEN [18]. Ген DNM3OS (dynamin 3 opposite strand/antisense RNA) локализован на хромосоме 1q24.3, транскрибируется с образованием днРНК и включает последовательности трех микроРНК: miR-199a-5p, miR-199a-3p и miR-214-3 [19]. DNM3OS является специфичным для фибробластов эффектором фиброза легкого, индуцированного TGF-β [20]. Ген MALAT1 (metastasis associated lung adenocarcinoma transcript 1) локализован на хромосоме 11q13.1, участвует в регуляции клеточного ответа на окислительный стресс и процессов клеточного старения [21]. MALAT1 подавляет экспрессию TP53 на уровне пре-мРНК, усиливает экспрессию MMP9, PIK3CA и активирует сигнальный каскад PI3K/AKT, связанный с клеточным старением [21]. Ген H19 (imprinted maternally expressed transcript) расположен на хромосоме 11p15.5, днРНК H19 действует как ключевой компонент регуляторных сетей, вовлеченных в патогенез некоторых видов рака [22] и фиброза за счет стимуляции аутофагии, ингибирования апоптоза и усиления эпителиально-мезенхимального перехода (ЭМП), активации сигнальных путей TGF-β/SMAD3 и mTOR [23, 24]. Ген MEG3 (maternally expressed 3) локализован в области 14q32.2; днРНК MEG3 регулирует митохондриальный путь апоптоза, активируя p53 и ингибируя Bcl-xl [25]. Сверхэкспрессия MEG3 приводит к снижению уровня TGF-β1, активности пути PI3K/AKT и ЭМП [26]. Ген PTEN (phosphatase and tensin homolog) расположен в локусе 10q23, кодирует белок, который является функциональным антагонистом сигнального пути PI3K/AKT/m-TOR [27] и играет существенную роль в гликолизе, глюконеогенезе, синтезе гликогена, метаболизме липидов, а также в митохондриальном метаболизме [28]. Ген TGFB2, локализованный в локусе 1q41, кодирует белок, входящий в семейство TGF-β, который регулирует пролиферацию, дифференцировку, миграцию, регенерацию и апоптоз клеток, а также ремоделирование межклеточного матрикса и индукцию ЭМП [29]. Цитокины, входящие в семейство TGF-β, являются лигандами рецепторов TGFBRI, TGFBRII, TGFBRIII, активируют канонический сигнальный путь TGF-β/SMAD2/SMAD3/SMAD4 [30]. Ген FOXO3, расположенный в локусе 6q21, кодирует белок, входящий в семейство транскрипционных факторов FOX (подкласс FOXO) [31]. FOXO3 контролируется преимущественно сигнальным путем PI3K/AKT, в активной дефосфорилированной форме FOXO3 связан с контролем метаболизма белков, аутофагии и апоптоза клеток [30]. Ген KEAP1 (kelch like ECH associated protein 1), расположенный в 19p13.2, кодирует эндогенный ингибитор транскрипционного фактора Nrf2 (NFE2 like bZIP transcription factor 2). Комплекс KEAP1-NRF2 регулирует процессы окислительного гомеостаза, старения и выживания клеток [32].
C целью оценки вклада генов, кодирующих молекулы ключевых сигнальных каскадов, связанных с окислительным стрессом и клеточным старением, в молекулярный патогенез ХОБЛ, проанализирован профиль экспрессии днРНК (TP53TG1, LINC00342, H19, MALAT1, DNM3OS, MEG3) и белоккодирующих генов (PTEN, TGFB2, FOXO3, KEAP1) в мононуклеарных клетках крови больных ХОБЛ.
Экспериментальная часть
Исследование проведено в соответствии со стандартами надлежащей клинической практики и принципами Хельсинкской декларации 1964 года и ее последующим изменениям или сопоставимым нормам этики, одобрено комитетом по этике ИБГ УНЦ РАН (протокол № 19, от 01.11.2022). От всех участников получено информированное добровольное согласие на использование биологического материала. Исследование проводили методом случай–контроль: больные ХОБЛ (n = 92) и контрольная группа (n = 81). Все пациенты с ХОБЛ были госпитализированы в отделение пульмонологии городской клинической больницы № 21 или торакальное отделение клиники Башкирского государственного медицинского университета г. Уфы. Диагноз ХОБЛ устанавливали с учетом рекомендаций рабочей группы “Глобальной стратегии диагностики, лечения и профилактики хронической обструктивной болезни легких” (http://goldcopd.org) на основании клинических и лабораторно-инструментальных исследований, включая компьютерную томографию высокого разрешения, спирометрию.
Все пациенты получали двойную бронходилатационную терапию: длительно действующие β2-агонисты в комбинации с длительно действующими антихолинергетиками, согласно Федеральным клиническим рекомендациям по диагностике и лечению ХОБЛ [1]. Забор крови для выделения РНК из мононуклеарных клеток крови (МНК) проводили вне обострения заболевания.
В контрольную группу вошли неродственные индивиды, не имевшие хронических заболеваний в анамнезе, в том числе болезней органов дыхания, а также острых респираторных заболеваний на момент сбора биоматериала. В рамках клинико-инструментального обследования у всех участников определяли индекс массы тела (ИМТ), показатели внешнего дыхания (жизненная емкость легких (ЖЕЛ), форсированная жизненная емкость легких (ФЖЕЛ), объем форсированного выдоха за первую секунду (ОФВ1), соотношение ОФВ1/ФЖЕЛ), а также долю курящих пациентов с вычислением индекса курения. Критериями включения в контрольную группу были нормальные показатели функции внешнего дыхания (ОФВ1/ФЖЕЛ > 70%, ОФВ1> 80%) и возраст старше 45 лет. В табл. 1 представлена клинико-демографическая характеристика исследуемых групп.
Таблица 1. Характеристика исследованных групп
Показатель | ХОБЛ (n = 92) | Контроль (n = 81) | P |
Возраст (среднее ± SD) | 58.49 ± 15.46 | 54.46 ± 14.43 | 0.27 |
Женщины (n, %) Мужчины (n, %) | 4 (4.35) 88 (95.65) | 6 (7.41) 75 (92.59) | 0.259 |
Некурящие (n, %) Курильщики (n, %) | 12 (13.04) 80 (86.96) | 11 (13.58) 70 (86.42) | 0.891 |
Индекс курения, пачки/лет (среднее ± SD) | 39.37 ± 18.63 | 20.5 ± 15.1 | 0.0089 |
ИМТ (среднее ± SD) | 25.48 ± 5.27 | 25.77 ± 4.31 | 0.702 |
ОФВ1/ФЖЕЛ (%) (среднее ± SD) | 61.64 ± 25.8 | 98.07 ± 22.26 | 0.0001 |
ЖЕЛ (%) (среднее ± SD) | 57.94 ± 15.4 | 92.9 ± 21.83 | 0.5572 |
ФЖЕЛ (среднее ± SD) | 45.01 ± 18.22 | 106.32 ± 31.14 | 0.0001 |
ОФВ1 (%) (среднее ± SD) | 55.72 ± 23.63 | 69.78 ± 24.09 | 0.022 |
Примечание. ИМТ – индекс массы тела; ЖЕЛ – жизненная емкость легких; ФЖЕЛ – форсированная жизненная емкость легких; ОФВ1 – объем форсированного выдоха за первую секунду; Индекс курения – число сигарет в день × × на стаж курения (г) / 20.
Анализ взаимодействия днРНК, микроРНК и мРНК. С использованием геномных баз данных KEGG (Kyoto Encyclopedia of Genes and Genomes) [https://www.kegg.jp/], TarBase v8.0 [https://dianalab.e-ce.uth.gr/html/diana/web/index.php?r=tarbasev8] miRTarBase v8.0 (https://mirtarbase.cuhk.edu.cn/~miRTarBase/miRTarBase_2019/php/download.php) проведен предварительный анализ in silico для идентификации сети взаимодействующих мРНК, микроРНК, днРНК, вовлеченных в ключевые сигнальные каскады, связанные с окислительным стрессом и клеточным старением. На основе онлайн-инструментов NetworkAnalyst 3.0 (https://www.networkanalyst.ca/NetworkAnalyst/) и Lncrna2target V3.0 (http://bio-annotation.cn/lncrna2target/browse.jsp, дата доступа 17-23.08.2023) [33] интерпретирован список генов для определения парных взаимодействий в сети. Файлы, содержащие параметры узлов и ребер сети, модифицированы в соответствии с дополнительными данными, полученными на основе анализа списка исследуемых генов в базе данных NCBI PubMed [https://pubmed.ncbi.nlm.nih.gov]. Итоговый пакет атрибутивных данных сети исследуемых генов использовали для визуализации сети взаимодействия днРНК, микроРНК и мРНК на основе платформы Cytoscape 3.10.0.
Выделение РНК из мононуклеарных клеток (МНК) периферической крови. Моноциты и лимфоциты периферической крови играют активную роль в патогенезе ХОБЛ, они участвуют в поддержании и контроле воспалительного процесса при ХОБЛ, поэтому уровень экспрессии днРНК и мРНК определяли в МНК. Особенности профиля экспрессии регуляторных некодирующих РНК и белоккодирующих генов в МНК больных ХОБЛ могут, по-видимому, служить неинвазивными биомаркерами заболевания.
Образцы периферической крови (4 мл) отбирали в вакуумные пробирки с EDТА К3 и в течение 1 ч доставляли в лабораторию. МНК выделяли стандартным методом плотностного центрифугирования в 3 мл раствора фиколла (Ficoll-Paque GE, Cytiva плотность 1.077). Для этого 4 мл крови разбавляли равным объемом фосфатно-солевого буфера Дульбекко (однократный раствор DPBS без Ca и Mg, “БиолоТ”, Россия), затем наслаивали на 3 мл раствора фиколла и центрифугировали при 420 g в течение 30 мин при комнатной температуре. Отбирали средний слой, содержащий МНК, который дважды промывали DPBS для удаления фиколла и плазмы, после чего МНК переносили в другую пробирку и добавляли 1 мл TRIzol Reagent (“Thermo Fisher Scientific”, США) для выделения РНК. Суммарную РНК из МНК выделяли с использованием реактива TRIzol reagent (“Invitrogen”, США, www.invitrogen.com), согласно протоколу производителя. Качество и количество матрицы РНК (в нг/мкл) оценивали на спектрофотометре NanoDrop 1000 (“Thermo Fisher Scientific”) по поглощению при длине волны 260 нм. Качество РНК определяли по соотношению А260/А280, которое должно находиться в интервале 1.8–2.0. Для выявления компонентов, содержащих фенольные кольца, использовали также соотношение А260/А230. Целостность РНК оценивали с использованием электрофореза в 1%-ном агарозном геле с 0.5 мкг/мл бромистого этидия по полосам рРНК (28S и 18S). Все образцы РНК для удаления геномной ДНК обрабатывали ДНКазой I, свободной от РНКаз (“Thermo Fisher Scientific”).
Синтез кДНК и анализ экспрессии днРНК и мРНК. кДНК cинтезировали с помощью набора First Strand cDNA Synthesis Kit for RT-qPCR (“Thermo Fisher Scientific”) в соответствии с протоколом производителя с использованием гексамерного рандомного праймера. Для синтеза кДНК матрицы РНК выравнивали до концентрации 100 нг/мкл, реакцию проводили в объеме 20 мкл в следующих условиях: матрица РНК – 3 мкл, рандомный праймер – 1 мкл, 5× реакционный буфер (250 мM Tрис-HCl pH 8.3, 250 мM KCl, 20 мM MgCl2, 50 мM DTT) – 4 мкл, ингибитор РНКаз RiboLock (20 ед./мкл) – 1 мкл, 10 мM смесь dNTP – 2 мкл, обратная транскриптаза RevertAid M-MuLV RT (200 ед./мкл) – 1 мкл, вода, свободная от нуклеаз, до объема 20 мкл. Затем смесь инкубировали при 25°C – 5 мин, 42°C – 60 мин, 70°C – 5 мин. Продукт ОТ-реакции хранили при –70°C до проведения количественной ПЦР. Количественную ПЦР проводили в 96-луночном планшете с использованием qPCRmix-HS Master Mix (“Evrogen”, Россия, https://evrogen.ru) на приборе QuantStudio 5 (“Applied Biosystems”, CША). По результатам биоинформатического поиска для анализа были выбраны следующие днРНК и белоккодирующие гены: TP53TG1, LINC00342, H19, MALAT1, DNM3OS, MEG3, PTEN, TGFB2, FOXO3, KEAP1. Уровни экспрессии целевых генов определяли с использованием наборов ген-специфических праймеров (концентрация 10 нг/мкл) и флуоресцентных зондов (10 нг/мкл), дизайн и синтез которых осуществлен компанией “ДНК-Синтез” (Россия). В табл. 2 представлена характеристика выбранных генов. В качестве внутреннего контроля использовали ген домашнего хозяйства B2M (ID567). Уровень мРНК B2M определяли с помощью ген-специфичных праймеров и зонда (Hs00187842m1, “Thermo Fisher Scientific”). ОТ-ПЦР проводили в трех повторах для каждого образца в следующих условиях: 3 мин при 95°C для начальной активации ПЦР, 15 с при 95°C – денатурация и амплификация в течение 1 мин при 60°C (45 циклов). Качество контролировали с использованием положительного (предоставлен разработчиком набора) и отрицательного контроля (не содержащего кДНК).
Таблица 2. Гены, праймеры и зонды, использованные в работе
Ген (ID)* | Локализация | Нуклеотидная последовательность праймеров и зонда (5´→3´) |
TP53TG1 (ID:11257) | 7q21.12 | TP53TG1-F – GGCTCTTTCCTTTAATCTTCGG TP53TG1-R – GAATTGTTACCAGGGTTACTCAGAC TP53TG1-Probe – FAM-TGCCCAACTCAGGTTTAACCACCA-BHQ1 |
LINC00342 (ID:150759) | 2q11.1 | LINC00342-F – TTTCATCTGAAGCAGCAGAGTG LINC00342-R – CAGTTGTGGTGATCTTTGTTCCTG LINC00342-Probe – FAM-CAGAGTCAGGTCACCAACCAGTGTGGA-BHQ1 |
H19 (ID:283120) | 11p15.5 | H19-F – GAATCGGCTCTGGAAGGTGA H19-R – GCTGCTGTTCCGATGGTG H19-Probe – FAM-CCAGACCTCATCAGCCCAACATC-BHQ1 |
MALAT1 (ID:378938) | 11q13.1 | MALAT1-F – GAACACAAGAAGTGCTTTAAGAGGC MALAT1-R – GCGAGGCGTATTTATAGACGG MALAT1-Probe – FAM-AGGTGATCGAATTCCGGTGATGC-BHQ1 |
DNM3OS (ID:100628315) | 1q24.3 | DNM3OS-F – GGGACACTGCTGAGAAAAGACTG DNM3OS-R – GCTCACTGTTGGTTAGTTTCCTC DNM3OS-Probe – FAM-ATCCCCGCTGGTCTTCCCTTCG-BHQ1 |
MEG3 (ID:55384) | 14q32.2 | MEG3-F – GCCCATCTACACCTCACGAG MEG3-R – CCTCTTCATCCTTTGCCATCC MEG3-Probe – FAM-CCCACCAACATACAAAGCAGCCACT-BHQ1 |
PTEN (ID: 5728) | 10q23.31 | PTEN-F – CACACGACGGGAAGACAAGT PTEN-R – CCTCTGGTCCTGGTATGAAGAA PTEN-Probe – FAM-CCCTCAGCCGTTACCTGTGTGTG-BHQ1 |
TGFB2 (ID: 7042) | 1q41 | TGFB2-F – TGCCGCCCTTCTTCCC TGFB2-R – CATTCTTCTCCATTGCTGAGAC TGFB2-probe – FAM-CCATCCCGCCCACTTTCTACAGAC-BHQ1 |
FOXO3 (ID: 2309) | 6q21 | FOXO3-F – GGGAAGTGGGCAAAGCAGA FOXO3-R – GCGTGGGATTCACAAAGG FOXO3-probe – FAM-ACCCTTTGCCAAATCTGCTCTC-BHQ1 |
KEAP1 (ID: 9817) | 19p13.2 | KEAP1-F – CAACAGTGTGGAGAGGTATGAGC KEAP1-R – AAGGAGACGATTGAGGACAGC KEAP1-probe – FAM-CCCCAATGCTGACACGAAGGATC-BHQ1 |
* ID гена приведены согласно базе данных https://www.ncbi.nlm.nih.gov/gene.
Статистический анализ проводили с использованием программного обеспечения GraphPad Prism 9 Software (GraphPad Software, https://www.graphpad.com) и IBM SPSS Статистика 22.0. Рассчитывали средние значения и стандартные отклонения (среднее ± SD), медиану и 25–75% межквартильный размах (медиана 25–75% IQR), группы сравнивали с помощью непараметрического U-теста Манна–Уитни (если распределение данных отличалось от нормального) или теста Стьюдента (для данных с нормальным распределением). Частоты качественных признаков сравнивали с помощью теста χ2. Уровень P < 0.05 считали статистически значимым. Относительный уровень экспрессии оценивали с помощью метода ΔΔСt, который основан на предположении, что разница в пороге цикла (ΔCt) между целевым и референсным генами пропорциональна относительной экспрессии целевого гена; результаты нормировали по уровню экспрессии гена домашнего хозяйства B2M и соответствующих генов по следующей схеме ∆Ct = Ct (целевой ген) – Ct (ген домашнего хозяйства) [34]. Относительный уровень экспрессии каждого гена представлен в виде (2–ΔΔCt) [34]. Различия в уровне относительной экспрессии в группе больных и в контроле рассчитывали с помощью непараметрического U-теста Манна–Уитни. Оценивали кратность изменения экспрессии у больных по сравнению с контролем (Fold Change) (2(–ΔΔCt) ХОБЛ / 2(–ΔΔCt) контроль) и кратность снижения или увеличения уровня экспрессии у больных (Fold Regulation), при этом для величин Fold Change < 1 Fold Regulation = (–1/ Fold Change). Корреляцию между переменными определяли с помощью непараметрического анализа с вычислением коэффициента корреляции Спирмена. Прогностическую значимость оценивали с помощью ROC-анализа (receiver operating characteristic analysis), с вычислением площади под кривой (АUC – area under the curve) с расчетом чувствительности и специфичности. Наиболее значимые модели идентифицировали с использованием множественного регрессионного анализа с пошаговым включением значимых предикторов с последующим ROC-анализом для оценки эффективности прогностической модели.
Результаты исследования
Анализ сети взаимодействующих мРНК, микроРНК и днРНК
Для идентификации сети взаимодействующих мРНК, микроРНК и днРНК нами проведен предварительный анализ in silico. В табл. 3 представлены функциональные характеристики днРНК и мРНК, выбранных для исследования. Визуализация сети взаимодействующих некодирующих РНК (днРНК и микроРНК) и мРНК представлена на рис. S1 (Дополнительные материалы размещены в электронном виде по DOI статьи и на сайте http://www.molecbio.ru/downloads/2024/5/supp_Markelov_rus.zip).
Таблица 3. Функциональная характеристика исследованных днРНК и мРНК
Ген | Мишень | Функция |
TP53TG1 | miR-18a-5p, ACTA2, FN1 | Проапоптотическое действие на клетки легкого, антифибротическое действие |
LINC00342 | miR-15b/TPBG, miR-15b/BCL2, miR-203a-3p/SIX1 | Регуляция ЭМП, усиление воспалительного процесса в легких |
H19 | miR-29b, miR-29a-3p, miR-196a, miR-140, miR-21/PTEN/AKT, miR-122-5p, miR-675-3p/IGF1R, miR-200a, miR-19b-3p/FTH1, miR-130a-3p/WNK3, miR-193a-3p, miR-138 | Профибротический эффект, усиление воспалительного процесса в легком, проапоптотическое действие, усиление ЭМП |
MALAT1 | miR-101-3p/MCL1, miR-101/SOX9 (путь Wnt), miR-200a-3p, miR-200b-3p, miR-200c-3p, miR-206 (путь Akt/mTOR), miR-202-3p/RRM2, miR-202-3p/CCND1, miR-129-5p/YWHAB, miR-129-5p/MCRS1, miR-129-5p/CDH1, miR-129-5p/VIM, miR-129-5p/HMGB1 miR-374b-5p/SRSF7, miR-374b-5p/ FOXP1 miR-613, miR-613/COMMD8, miR-613/GJA1, miR-613/CDK4, miR-19b-3p/PPP2R5E, miR-19b-3p/BCL2L11, miR-17-5p/FOXA, miR-1297/TRIB2, miR-375/YAP, miR-194-5p/FOXP2, miR-194-5p/FOXK1, miR-503-5p, miR-590, miR-590/YAP1, miR-150/eIF4E/Akt, miR-22-3p/NLRP3, miR-375, miR-23c, miR-429 | Антиапоптотическое действие, профибротический эффект, усиление ЭМП, усиление воспалительного процесса в легких, проэмфизематозный эффект |
DNM3OS | Предшественник miR199a-5p/3p, miR-214-3p; miR-204-5p/AP1S2, miR-199a-5p/3p/SIRT1, miR-181a-5p/STAT3 | Профибротический эффект |
MEG3 | miR-181a-5p/Bcl-2, miR-181a-5p/PTEN, miR-181d-5p/CDKN3, miR-181a-5p/PTEN/pSTAT5/SOCS1, miR-181b-5p/JAK2/STAT3, miR-181b-3p, miR-140-5p*/TLR4, miR-140-5p/MMD, miR-140-5p/YES1, miR-140-5p (путь Wnt) miR-125a-5p, miR-125a-5p/STAT3, miR-125a-5p/Sp1/SIRT1/HIF-1α, MDM2, TP53, TP63, KRT14, STAT3, YAP1, TP73, SOX2, HES1, HEY1 AXL, MDM2, JARID2, EZH2; miR-133a-3p/ IGF1R (путь TGF-β/Smad3), miR-133a-3p/SIRT1, miR-770-5p/TGFBR1, miR-664a-3p/FHL1 | Антиапоптотическое действие, усиление ЭМП, усиление воспалительного процесса в легких, проэмфизематозный эффект, усиление клеточного старения |
TGFB2 | miR-454-3p, miR-193a-3p | Усиление ЭМП, антиапоптотический эффект |
PTEN | miR-19b-3p, miR-23a-3p, miR-217-5p, miR-221-3p, miR-222-3p, miR-486-5p, miR-425-5p, miR-18a-5p, miR-543, miR-20b-5p, miR-21, miR-216a, miR-181a-5p | Антиапоптотический эффект, профибротический эффект, регуляция ЭМП |
FOXO3 | miR-182, miR-217, miR-29b-3p, miR-23a | Антиапоптотический эффект проапоптотический эффект |
KEAP1 | miR-421 miR-432-3p, MALAT1, miR-125b-5p, miR-141-3p | Антиапоптотический эффект регулятор антиоксидантной защиты клетки |
Примечание. Взаимодействие днРНК-микроРНК с мРНК анализировали с использованием онлайн-инструмента NetworkAnalyst 3.0 (https://www.networkanalyst.ca/NetworkAnalyst/) и интегрированных баз KEGG, miRTarBase v8.0 и TarBase v8.0; онлайн-инструмента Lncrna2target V3.0 (http://bio-annotation.cn/lncrna2target/browse.jsp) и NCBI PubMed (https://pubmed.ncbi.nlm.nih.gov/).
Проведенный нами анализ in silico включал комплексное использование нескольких прогностических онлайн-инструментов. Особое значение в данном контексте играют параметры сайтов связывания корегулируемых РНК, в частности такие, как энергия связывания. Предполагается, что этот параметр зависит от размера участка связывания [35]. В свою очередь, некодирующие РНК связываются предпочтительно с высокоаффинными последовательностями длиной 8, 7 нуклеотидов, а также (несколько слабее) с последовательностями из 6 нуклеотидов [36–38]. В соответствии с этим большинство сайтов связывания, предсказанных нами в результате анализа in silico, обладают высокой аффинностью. Обилие отдельных генов-мишеней способно модулировать активность некодирующих РНК. Это обуславливает возможность существования чувствительного порога концентрации эффекторной некодирующей РНК и целевых транскриптов [35]. Целевые транскрипты для их эффективного взаимодействия с некодирующей РНК должны экспрессироваться на сверхвысоком уровне, превышающем физиологически нормальный [39].
Функциональная характеристика сети днРНК TP53TG1 ограничивается проапоптотическим и антифибротическим потенциалом [40, 41].
Направление целевых взаимодействий днРНК LINC00342, связано с усилением ЭМП и воспалительного процесса [42–44].
Сеть функциональных взаимодействий днРНК H19 характеризуется проапоптотической и профибротической осями, связана с усилением воспаления в легочной ткани, а также ЭМП [22, 23, 45], а днРНК MALAT1 в основном связана с ЭМП. Так, взаимодействие MALAT1 с рядом микроРНК приводит к усилению ЭМП и активации сигнального каскада AKT/mTOR [46–49]. MALAT1 вызывает профибротический и проэмфизематозный эффекты [50], усиливает воспалительные процессы в легких [21] (табл. 3).
ДнРНК MEG3 активирует сигнальные каскады TGF-β/SMAD3 [51] и Wnt, участвует в регуляции ЭМП [52]. MEG3 действует как регулятор апоптоза в клетках легкого, связывание этой днРНК с miR-181а приводит к активации BCL2 [53]. Сеть взаимодействий MEG3 содержит несколько молекул, играющих важную роль в патогенезе ХОБЛ. MEG3 способна ингибировать функцию miR-181a-5p с последующей стимуляцией сигнального каскада PTEN/pSTAT5/SOCS1 в макрофагах при остром респираторном дистресс-синдроме [54]. По аналогичному принципу MEG3 взаимодействует с miR-181b-5p, которая модулирует сигнальный каскад JAK2/STAT3, регулируя таким образом поляризацию макрофагов к M2-подобному фенотипу. MEG3 может предотвратить данный эффект и потенциально активировать провоспалительный фенотип макрофагов [55]. Проэмфизематозная ось содержит всего одну целевую молекулу, miR-181b-3p, которая связана с патологическим ангиогенезом в легких и тем самым с инициацией эмфиземы [50]. Связывая miR-125a-5p и регулируя таким образом сигнальный каскад Sp1/SIRT1/HIF-1α, MEG3 может замедлять старение клеток легочного эпителия [56].
ДнРНК DNM3OS взаимодействует с молекулами, связанными с профибротическими и провоспалительными эффектами; так, DNM3OS участвует в регуляции TGF-β-индуцированной активации миофибробластов легкого [20]. Согласно результатам анализа in silico, miR-181a-5p является мишенью для DNM3OS. В свою очередь, противовоспалительное действие miR-181a-5p связано с его способностью регулировать сигнальный каскад PTEN-pSTAT5-SOCS1 [54].
В список генов, отобранных для исследования, входят также белоккодирующие гены. Дополнительно на рис. S2 (см. электронное приложение) приведена сеть белок-белковых взаимодействий продуктов исследованных генов. В данной сети можно выделить три массивных кластера белок-белковых взаимодействий, образуемых KEAP1, PTEN и FOXO3, а также малый кластер, формируемый на базе TGFB2.
Взаимодействие PTEN с микроРНК (miR-19b-3p, miR-23a-3p, miR-486-5p и др.) приводит к снижению уровня PTEN в результате активации сигнального каскада PI3K/AKT, а также к снижению апоптоза клеток [57]. MiR-181a-5p, связываясь с PTEN, стимулирует ЭМП клеток аденокарциномы легкого [58]. Функциональная сеть, связанная с фиброзом, содержит две микроРНК: miR-21 и miR-216a, которые, связываясь с PTEN, модулируют пролиферацию и миграцию гладкомышечных клеток дыхательных путей с последующей их гиперплазией и способностью к формированию фенотипа ЭМП [45]. Для ХОБЛ характерны эмфизематозные изменения дыхательных путей; в данном контексте выделяется взаимодействие PTEN с N-концевым доменом фактора SRF (serum response factor), что способствует транскрипционной активности SRF и нормальной пролиферации гладкомышечных клеток сосудов [59].
Сеть целевых молекул белоккодирующего гена FOXO3 связана апоптозом. Так, связывание FOXO3 с miR-182 приводит к устойчивости клеток немелкоклеточного рака легкого к апоптозу, индуцированному лучевой терапией [60]. При связывании FOXO3 с miR-23a, напротив, наблюдается снижение пролиферативных способностей и задержка прохождения клеточного цикла фибробластами легкого [61]. Взаимодействие FOXO3 c SIRT1 приводит к формированию ответа на антиоксиданты; деацетилирование FOXO3 усиливает убиквитинирование и деградацию FOXO3 в ответ на окислительный стресс, что способствует выживаемости эндотелиальных клеток-предшественников на фоне окислительного стресса [62].
C 3´-нетранслируемой областью KEAP1 прямо связывается miR-141-3p, усиливая таким образом апоптоз гладкомышечных клеток сосудов [63]. IKBKB (inhibitor of nuclear factor kappa B kinase subunit beta), активирующий ядерный фактор NF-êB (ключевой регулятор воспалительного ответа), способен связываться с KEAP1 в составе комплекса KEAP1-CUL3-RBX1, что приводит к деградации IKBKB и снижает активацию NF-êB, способствуя снижению воспалительного ответа [64].
TGFB2 вовлечен в регуляцию ЭМП, в сеть его взаимодействий входит miR-454-3p, которая связывается с TGFB2 и снижает таким образом ЭМП [65]. Также можно выделить функцию, связанную с регуляцией апоптоза, в которой взаимодействие miR-193a-3p с TGFB2 противодействует ферроптозу [66]. Белок-белковые взаимодействия TGFB2 представлены в основном сетью, связанной с регуляцией фиброза. В миофибробластах белок NREP (neuronal regeneration related protein) связывается с TGFB2 и подавляет экспрессию коллагенов типа 1 и 3, что снижает интенсивность фиброзного перерождения клеток [67]. Напротив, CTGF (сonnective tissue growth factor) напрямую связывается с TGFB2 и способствует профибротической активности TGFB2 [68]. Взаимодействие TGFB2 с его рецептором 2 (TGFBR2) приводит к активации ЭМП [69].
Таким образом, согласно результатам in silico анализа, выбранные нами днРНК и мРНК функционально действуют как регуляторы сигнальных каскадов TGF-β/SMAD3, Wnt, PI3K/AKT и Keap1/Nrf2, вовлеченных в такие важные клеточные процессы, как антиоксидантный ответ на окислительный стресс, апоптоз, воспаление, фиброгенез, ЭМП и клеточное старение.
Анализ относительного уровня экспрессии днРНК и мРНК у больных ХОБЛ
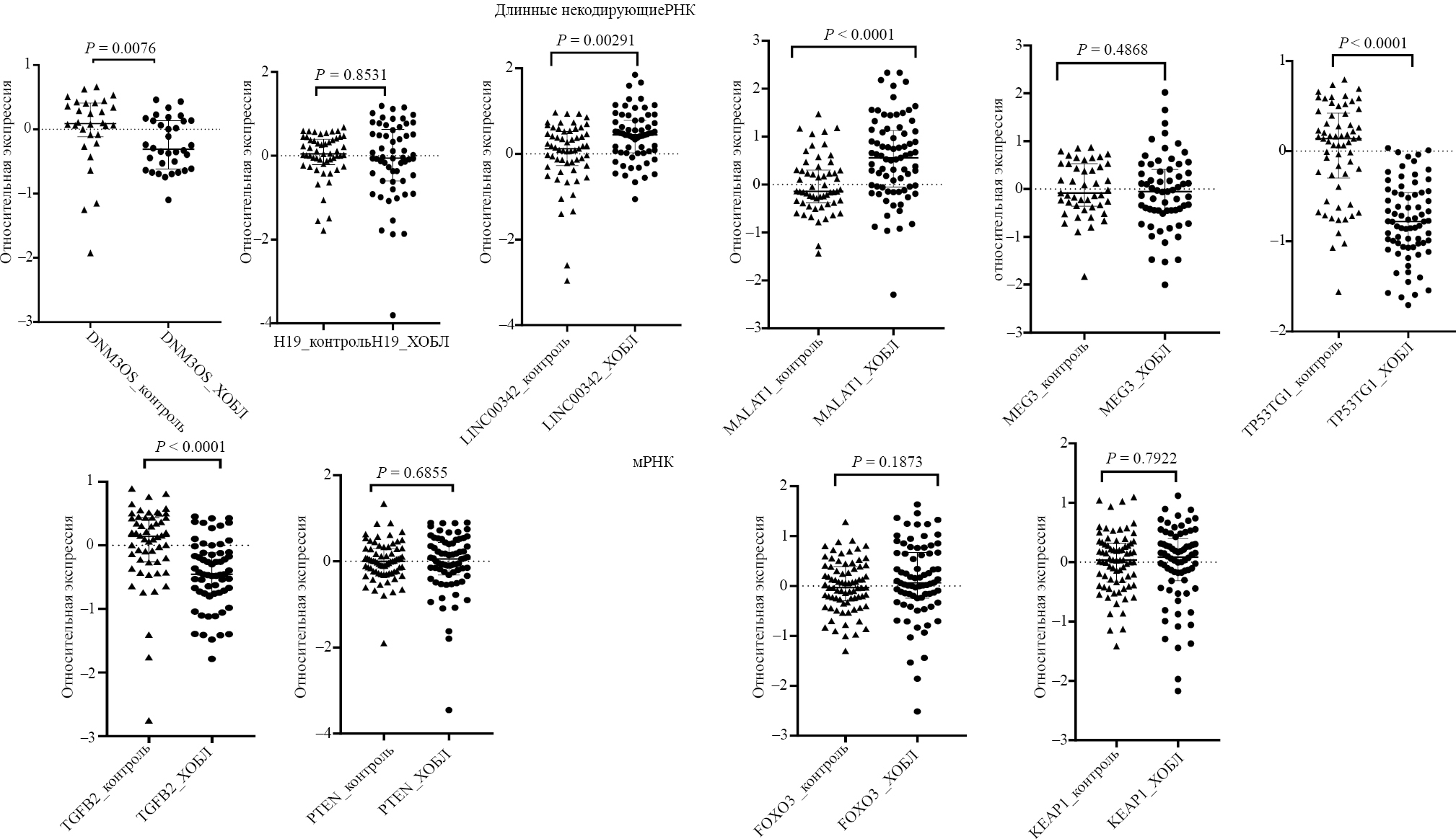
Нами определен уровень относительной экспрессии днРНК (TP53TG1, LINC00342, H19, MALAT1, DNM3OS, MEG3) и мРНК (PTEN, TGFB2, FOXO3, KEAP1) в МНК больных ХОБЛ и здоровых индивидов. Результаты представлены в табл. 4 и на рис. 1.
Таблица 4. Уровень относительной экспрессия исследованных генов у больных ХОБЛ
Ген | Кратность изменения экспрессии | Кратность снижения / повышения уровня экспрессии | P |
TP53TG1 | 0.1532 | –6.5244 | 0.0001 |
LINC00342 | 2.874 | 2.874 | 0.0029 |
MALAT1 | 6.983 | 6.983 | 0.0001 |
H19 | 1.764 | 1.764 | 0.8531 |
DNM3OS | 0.5176 | –1.9317 | 0.0076 |
MEG3 | 2.304 | 2.304 | 0.4868 |
PTEN | 1.087 | 1.087 | 0.6855 |
TGFB2 | 0.3639 | –2.7476 | 0.0001 |
FOXO3 | 2.246 | 2.246 | 0.1873 |
KEAP1 | 1.0513 | 1.0513 | 0.7922 |
Примечание. Кратность изменения экспрессии (Fold Change) = 2(–ΔΔCt) ХОБЛ / 2(–ΔΔCt) контроль; кратность снижения /повышения экспрессии у больных (Fold Regulation) для величин Fold Change < 1, Fold Regulation = (–1/ Fold Change); P, значимость для U-теста Манна–Уитни.
Рис. 1. Относительная экспрессия (представлена в виде lg Fold Change (2-ΔΔCt )) днРНК и мРНК у больных ХОБЛ и индивидов контрольной группы. Результаты представлены в виде медианы и 25–75% межквартильного интервала (медиана (25–75% IQR), P – в U-тесте Манна–Уитни.
Установлено значимое, более чем в 6 раз, снижение уровня днРНК TP53TG1 у больных ХОБЛ (Fold Change (FCh) = 0.1532, Fold Regulation (FR) = –6.5244, P = 0.0001) (табл. 4). При этом в группе больных ХОБЛ выявлено значимое повышение экспрессии днРНК MALAT1 (FCh = 6.983, P = 0.0001). Уровень днРНК LINC00342 у больных ХОБЛ был почти в 3 раза выше, чем у здоровых индивидов (FCh = 2.874, P = 0.0029). Нами показано значимое снижение экспрессии днРНК DNM3OS у больных ХОБЛ (FCh = 0.5176, FR = –1.9317, P = 0.0076). В МНК больных ХОБЛ уровень экспрессии мРНК TGFB2 был значимо ниже, чем у здоровых индивидов (FCh = 0.3639, FR = –2.7476, P = 0.0001).
Уровни экспрессии днРНК H19 и мРНК PTEN и KEAP1 в МНК больных ХОБЛ были сопоставимы с уровнями в контрольной группе. Выявлено увеличение относительного уровня экспрессии днРНК MEG3 и мРНК FOXO3 у больных ХОБЛ более чем в 2 раза, однако различия не достигали статистически значимого уровня.
Таким образом, обнаружены различия в уровне днРНК TP53TG1, LINC00342, DNM3OS и MALAT1 и мРНК TGFB2 в МНК больных ХОБЛ и в контрольной группе, то есть эти днРНК и мРНК можно отнести к дифференциально экспрессируемым в МНК при ХОБЛ. Уровни экспрессии днРНК TP53TG1, LINC00342 и DNM3OS в МНК больных ХОБЛ определены впервые.
Оценка прогностической значимости дифференциальной экспрессии днРНК и мРНК в развитии ХОБЛ
На начальных этапах ХОБЛ протекает без выраженных симптомов, постепенно снижается функция легочного дыхания, жизненная емкость легких. Первичный диагноз устанавливается уже при наличии значимых эмфизематозных изменений легочной ткани, обструкции мелких дыхательных путей, которые приводят к нарастанию одышки, неэффективности проводимой терапии и резкому падению качества жизни [1, 2]. Поэтому для ранней диагностики ХОБЛ и выявления предрасположенности к быстрому прогрессированию заболевания актуальным представляется поиск биомаркеров ХОБЛ. Прогностическую значимость изменения уровней экспрессии днРНК (TP53TG1, LINC00342, MALAT1, DNM3OS) и мРНК (TGFB2) при ХОБЛ оценивали с помощью ROC-анализа (рис. 2). Определение относительного уровня экспрессии днРНК TP53TG1 позволяет с умеренной прогностической значимостью дифференцировать больных ХОБЛ от контрольных лиц с AUC= 0.8685 (95% CI 0.8062–0.9309, P = 0.001, оптимальная точка отсечения 0.6312, чувствительность = 0.9041, специфичность = 0.7097). Использование ROC-анализа показало умеренную прогностическую значимость оценки уровня TGFB2 AUC = 0.75735 (95% CI 0.6678–0.8466, P = 0.001, оптимальная точка отсечения 0.7923, чувствительность = 0.7742, специфичность = 0.6850), днРНК MALAT1 AUC = 0.7131 (95% CI 0.6261–0.8002, P = 0.001, оптимальная точка отсечения 1.956, чувствительность = 0.6234, специфичность = 0.7368), днРНК LINC00342 AUC = 0.6542 (95% CI 0.5586–0.7498, P = 0.0487, оптимальная точка отсечения 2.364, чувствительность = 0.6154, специфичность = 0.661) и днРНК DNM3OS AUC = 0.6931 (95% CI 0.5589–0.8274, P = 0.008, оптимальная точка отсечения 0.7968, чувствительность = 0.6178, специфичность = 0.7667) для дифференциации больных ХОБЛ от здоровых индивидов.
Рис. 2. ROC-анализ прогностической значимости днРНК и мРНК, относительный уровень экспрессии которых изменен в МНК больных ХОБЛ. AUC: площадь под кривой. а – днРНК DNM3OS; б – днРНК LINC000342; в – днРНК MALAT1; г – днРНК TP53TG1; д – мРНК TGFB2; е – прогностическая модель, которая включает одновременную оценку уровня экспрессии днРНК TP53TG1 и TGFB2.
По результатам множественного регрессионного и ROC-анализа получена высокоинформативная прогностическая модель развития ХОБЛ, которая включает одновременную оценку уровня экспрессии днРНК TP53TG1 и мРНК TGFB2 в МНК (табл. 5). Модель имеет высокую предсказательную способность (AUC = 0.92, 95% CI 0.86–0.98, чувствительность – 73.2%, специфичность – 92.3%) (рис. 2) и позволяет правильно отличить индивидов с ХОБЛ и без нее.
Таблица 5. Предиктивная регрессионная модель развития ХОБЛ
Предиктор | Коэффициент β | PWald | OR | 95%CI |
Относительная экспрессия TGFB2 | 0.898 | 0.004 | 2.456 | 1.33–4.54 |
Относительная экспрессия TP53TG1 | 3.365 | 6.9 × 10–5 | 28.939 | 5.52–151.8 |
Константа регрессии | –3.032 | 0.000 | 0.048 | |
P = 6.02×10–12, AUC = 0.92 (95%CI 0.86–0.98), Чувствительность 73.2%, Специфичность 92.3% | ||||
Примечание. PWald – значимость в статистике Вальда (Wald test); OR – exp (β) отношение шансов; P – значение в тесте отношения правдоподобия; AUC – площадь под кривой; 95%CI – асимптотический 95% доверительный интервал для AUC. ROC-кривая представлена на рис. 2.
Согласно результатам ROC-анализа, самую высокую прогностическую значимость для дискриминации больных ХОБЛ и здоровых индивидов имеет уровень экспрессии днРНК TP53TG1, а также совместный уровень экспрессии данной днРНК и мРНК TGFB2.
Корреляционный анализ
С учетом тесного функционального взаимодействия выбранных нами днРНК и мРНК определяли корреляцию (коэффициент корреляции Спирмена r, уровень значимости Р) между уровнями экспрессии всех изученных генов (табл. 6). Выявлена положительная корреляция между относительным уровнем экспрессии DNM3OS и H19 (r = 0.307, P = 0.029), MEG3 (r = 0.518, P = 5.81 ×10–5), TP53TG1 (r = 0.345, P = 0.0078) и отрицательная – между DNM3OS и MALAT1 (r = –0.284, P = 0.043). При этом уровень экспрессии MALAT1 положительно коррелировал с уровнями LINC00342 (r = 0.513, P = 3.3 × 10–9) и генами PTEN (r = 0.435, P = 1.13 × 10–6), FOXO3 (r = 0.259, P = 0.003). Уровень экспрессии днРНК TP53TG1 положительно коррелировал с уровнями MEG3 (r = 0.240, P = 0.019) и TGFB2 (r = 0.242, P = 0.019). Положительной была корреляция экспрессии генов TGFB2 и KEAP1 (r = 0.249, P = 0.012), гена KEAP1 – с геном FOXO3 (r = 0.318, P = 0.0001). Выявлена выраженная положительная корреляция между уровнями экспрессии генов FOXO3 и PTEN (r = 0.52, P = 7.21 ×10–11).
Таблица 6. Анализ корреляции между уровнями экспрессии генов днРНК и мРНК (коэффициент корреляции Спирмена r; уровень значимости r, уровень значимости Р)
Ген | DNM3OS | H19 | LINC00342 | MALAT1 | MEG3 | TP53TG1 | TGFB2 | PTEN | FOXO3 |
H19 | 0.307275 | ||||||||
0.02996 | |||||||||
LINC00342 | –0.00812 | –0.02958 | |||||||
0.955395 | 0.772508 | ||||||||
MALAT1 | –0.28443 | 0.085894 | 0.513173 | ||||||
0.043083 | 0.393072 | 3.3 × 10–9 | |||||||
MEG3 | 0.518963 | 0.348803 | 0.159364 | 0.174391 | |||||
5.81x10–5 | 0.001416 | 0.138051 | 0.098274 | ||||||
TP53TG1 | 0.345597 | –0.00027 | 0.143321 | –0.10556 | 0.240212 | ||||
0.007881 | 0.997961 | 0.138938 | 0.261518 | 0.019699 | |||||
TGFB2 | 0.247449 | 0.138947 | –0.05147 | –0.01982 | 0.210362 | 0.242294 | |||
0.086492 | 0.234485 | 0.644021 | 0.856252 | 0.068157 | 0.019699 | ||||
PTEN | –0.07192 | –0.07884 | 0.158737 | 0.435793 | 0.035683 | –0.10639 | 0.096514 | ||
0.63092 | 0.452538 | 0.10411 | 1.13 × 10–6 | 0.748773 | 0.268627 | 0.339459 | |||
FOXO3 | –0.0781 | –0.0428 | 0.122231 | 0.259988 | 0.061188 | –0.1748 | 0.184983 | 0.520288 | |
0.585927 | 0.666151 | 0.191171 | 0.003411 | 0.564501 | 0.060558 | 0.061396 | 7.21 × 10–11 | ||
KEAP1 | –0.15095 | 0.159005 | –0.01331 | 0.113786 | 0.090052 | –0.05824 | 0.249805 | –0.01431 | 0.317967 |
0.290352 | 0.119796 | 0.888743 | 0.215925 | 0.406826 | 0.541892 | 0.012193 | 0.871115 | 0.000115 |
Примечание. Здесь и в табл. 7 жирным выделены статистически значимые результаты.
С целью оценки вклада исследованных днРНК и мРНК в прогрессирование и раннее развитие ХОБЛ проведен анализ возможной корреляции с клиническо-демографическими параметрами (табл. 7). Показана отрицательная корреляция между возрастом больных ХОБЛ и уровнями экспрессии MALAT1 (r = –0.313, P = 0.007), TGFB2 (r = –0.351, P = 0.006), FOXO3 (r = –0.295, P = 0.012) и KEAP1 (r = –0.338, P = 0.005). Наибольший интерес представляет анализ корреляции уровня экспрессии с параметрами функции легочного дыхания, непосредственно отражающими прогрессирование обструкции дыхательных путей у больных ХОБЛ и тяжесть заболевания. Так, выявлена положительная корреляция показателя ОФВ1/ФЖЕЛ и MALAT1 (r = 0.272, P = 0.03), TGFB2 (r = 0.338, P = 0.01), FOXO3 (r = 0.426, P = 0.0004), KEAP1 (r = 0.311, P = 0.014). Уровень экспрессии FOXO3 коррелировал с показателем ОФВ1 (r = 0.385, P = 0.0018), а DNM3OS с ФЖЕЛ (r = 0.426, P = 0.037).
Таблица 7. Анализ корреляций между уровнем экспрессии исследованных генов и клиническими параметрами
Параметр | DNM3OS | H19 | LINC00342 | MALAT1 | MEG3 | TP53TG1 | TGFB2 | PTEN | FOXO3 | KEAP1 |
Возраст | –0.1259 | –0.0918 | –0.2058 | –0.313 | –0.1383 | 0.12348 | –0.3514 | –0.1809 | –0.2951 | –0.3382 |
0.47809 | 0.50484 | 0.11459 | 0.00742 | 0.29615 | 0.3085 | 0.00591 | 0.14612 | 0.01249 | 0.00513 | |
ИМТ | 0.24633 | 0.01465 | –0.1185 | –0.3376 | –0.0428 | –0.0797 | –0.0358 | –0.1114 | –0.024 | 0.10606 |
0.16021 | 0.91547 | 0.36724 | 0.00372 | 0.74731 | 0.51201 | 0.78618 | 0.37305 | 0.84223 | 0.39299 | |
Индекс курения | –0.193 | 0.04926 | –0.2233 | –0.1945 | 0.07943 | 0.15721 | –0.1431 | –0.0886 | –0.1508 | –0.1228 |
0.27418 | 0.72095 | 0.08629 | 0.10155 | 0.54981 | 0.19368 | 0.27536 | 0.47908 | 0.2093 | 0.32233 | |
ОФВ1/ ФЖЕЛ, % | –0.0988 | –0.0678 | 0.23456 | 0.27201 | 0.15151 | 0.0407 | 0.33801 | 0.11216 | 0.42629 | 0.31171 |
0.60347 | 0.65079 | 0.09418 | 0.03104 | 0.27411 | 0.74753 | 0.01161 | 0.39769 | 0.00049 | 0.01447 | |
ЖЕЛ, % | 0.21965 | –0.0207 | 0.2071 | 0.10873 | 0.10165 | –0.0575 | 0.06387 | –0.065 | 0.07651 | –0.0651 |
0.23513 | 0.88902 | 0.13677 | 0.39242 | 0.46022 | 0.64638 | 0.64315 | 0.62178 | 0.5479 | 0.61508 | |
ФЖЕЛ, % | 0.42612 | 0.018 | 0.2617 | 0.29973 | –0.0277 | –0.0713 | –0.1992 | 0.03324 | 0.1548 | –0.1454 |
0.03787 | 0.92617 | 0.12885 | 0.06025 | 0.86683 | 0.64147 | 0.21788 | 0.83445 | 0.34021 | 0.37069 | |
ОФВ1, % | 0.13491 | –0.0456 | 0.25271 | 0.1913 | 0.18177 | –0.0466 | 0.20366 | 0.10626 | 0.38502 | 0.15945 |
0.47722 | 0.76069 | 0.07069 | 0.13312 | 0.18835 | 0.71266 | 0.13587 | 0.42313 | 0.00183 | 0.21964 |
Примечание. Приведены значения коэффициента корреляции Спирмена r и Р – уровня значимости r.
Выявленная корреляция между уровнями экспрессии днРНК MALAT1, DNM3OS и мРНК TGFB2, FOXO3, KEAP1 и показателями функции легочного дыхания указывает на вклад этих РНК не только в развитие ХОБЛ, но и на непосредственное участие в процессах старения легочной ткани, выражающееся в постепенном снижении проводимости воздухоносных путей, развитии фиброзных и эмфизематозных изменений.
Обсуждение результатов
Нами показано, что высокий уровень экспрессии днРНК MALAT1 в МНК связан с развитием ХОБЛ. Уровень экспрессии данной днРНК положительно коррелировал с проводимостью дыхательных путей (ОФВ1/ФЖЕЛ), которая постепенно снижается по мере прогрессировании ХОБЛ и естественном старении легких. Согласно результатам корреляционного анализа, высокий уровень экспрессии MALAT1 в МНК чаще встречается у более молодых пациентов, что, возможно, связано с ранним развитием ХОБЛ. Подобный результат можно объяснить активным участием днРНК MALAT1 в регуляции сигнальных каскадов, связанных с клеточным старением и воспалением. Проведение биоинформатического анализа, а также подтверждение его результатов с помощью люциферазного репортерного анализа и ПЦР в реальном времени показало прямое взаимодействие MALAT1 с miR-200c в двух высоко комплементарных сайтах связывания [70], играющей ключевую роль в снижении фибротических превращений эпителиальных клеток легкого [71]. Конкурентное взаимодействие MALAT1 с miR-200c способно усиливать фибротические изменения в эпителиальных клетках легкого, важные для развития эмфиземы и ремоделировании легочной ткани при ХОБЛ. Кроме того, MALAT1 активирует передачу сигналов AKT/mTOR, связываясь с высокоаффинной последовательностью miR-206 (сайт связывания содержит 7 нуклеотидов) и ингибируя таким образом miR-206 [49, 72], что может приводить к бронхолегочной дисплазии за счет усиления экспрессии фибронектина 1 [73]. MALAT1 способна стимулировать активность SRSF7 (serine and arginine rich splicing factor 7) и FOXP1 (forkhead box P1), связываясь с высокоаффинным сайтом miR-374b-5p [74]. Эти взаимодействия, усиливают ЭМП путем модуляции пролиферации, апоптоза [74], а также за счет контроля синтеза матриксных металлопротеиназ и медиаторов воспаления в клетках эпителия легких [75]. MALAT1 взаимодействует с белками семейства FOX посредством многочисленных микроРНК, например, активность FOXA1 изменяется при связывании MALAT1 с miR-17-5p [76]. Особый интерес вызывает способность MALAT1 снижать индуцированный гипоксией апоптоз в клетках кровеносных сосудов путем ингибирования miR-19b-3p [77]. Более того, секвестрация miR-19b-3p может приводить к усилению экспрессии PPP2R5E (protein phosphatase 2 regulatory subunit B›epsilon) и BCL2L11 (BCL2 like 11), также снижая апоптоз в клетках опухолей легкого [78]. MALAT1 может подавлять активность miR-22-3p [79] и способствовать таким образом активации инфламмасомы, посредством NLRP3-опосредованного механизма, а также усиливать опосредованное STAT3 воспаление клеток кровеносных сосудов [80]. MALAT1 может напрямую подавлять miR-590, связываясь с высокоаффинным сайтом этой микроРНК [81]. Выявлено взаимодействие MALAT1 с высокоаффинными сайтами miR-429 [82] и miR-23c [83], что может приводить к дисрегуляции ангиогенеза и, как следствие, к развитию эмфиземы [50]. Ингибирование Toll-подобного рецептора 4 (TLR4), вызванное сверхэкспрессией MALAT1 при остром повреждении легкого, приводит к ингибированию NF-κB и MAP-киназы р38, что может снизить уровень LPS-стимулированного апоптоза клеток и продукцию факторов воспаления (IL-6 и TNF-α) [84]. днРНК MALAT1, экспрессия которой повышена в биоптатах легочной ткани пациентов с ХОБЛ, вовлечена в патогенез ХОБЛ [85]. Согласно [86], повышенная экспрессия MALAT1 в плазме крови положительно коррелирует с уровнем воспалительных цитокинов и может служить прогностическим маркером риска обострения ХОБЛ. ХОБЛ рассматривается как системное воспалительное заболевание, в патофизиологии которого важную роль играют повышение окислительного стресса и переход легочного воспаления в системный кровоток. Для ХОБЛ характерно одновременное увеличение количества макрофагов в периферических дыхательных путях, паренхиме и сосудах легких, активированных нейтрофилов, лимфоцитов и моноцитов в кровотоке [87].
Таким образом, результаты, полученные в нашем и других исследованиях, указывают на повышение уровня MALAT1 в МНК, легочной ткани и сыворотке крови больных ХОБЛ и подтверждают участие данной днРНК в развитии заболевания.
Установлена положительная корреляция между относительным уровнем экспрессии MALAT1 и LINC00342, уровень экспрессии которой у больных ХОБЛ был также значимо выше, чем у здоровых индивидов. LINC00342 активирует сигнальный каскад miR-15b/TPBG, что способствует ЭМП в клетках карциномы легкого A549 и приводит к прогрессии и метастазированию аденокарциномы легкого [42]. Роль LINC00342 в различных злокачественных новообразованиях изучали и ранее [88]. LINC00342 связывается с сайтом miR-15b, состоящим из 6 нуклеотидов, с энергией, достаточной для формирования устойчивого взаимодействия [42, 72]. Повышение экспрессии LINC00342 при немелкоклеточном раке легкого, связывание с высокоаффинным сайтом miR-203a-3p [89], а также подавление антионкогенной активности белков р53 и PTEN являются основной причиной повышенной пролиферации и метастазирования опухолевых клеток [17, 18]. MiR-203a-3p, с которой связывается LINC00342, функционирует как регулятор сигнального пути TGF-β/SMAD3 и способствует TGF-β1-индуцированному ЭМП при бронхиальной астме [43].
Нами показано, что у больных ХОБЛ значимо снижен уровень экспрессии днРНК TP53TG1. Также выявлена положительная корреляция уровней TP53TG1 с DNM3OS и MEG3, которая находит подтверждение в биоинформатическом анализе сети взаимодействий днРНК-микроРНК-мРНК. TP53TG1 участвует в регуляции сигнального каскада TGF-β/SMAD3, выступая как антифибротический фактор, и таких процессов, как апоптоз клеток легкого. TP53TG1 модулирует ось miR-18a-5p/PTEN в клеточной линии A549 рака легкого, связывая высокоаффинную последовательность микроРНК и усиливая проапоптотическое действие цисплатина [40]. В модели идиопатического легочного фиброза TP53TG1 воздействует на мРНК ACTA2 (actin alpha 2, smooth muscle) и Fn1 (fibronectin 1), что приводит к проявлению антифибротической активности в отношении фибробластов [41]. Опубликованы данные, свидетельствующие о том, что TP53TG1 функционирует как онкосупрессор. Запуская убиквитинзависимую деградацию пероксиредоксина 4 (PRDX4), TP53TG1 блокирует сигнальный путь WNT/β-катенин, тем самым подавляя прогрессию гепатоклеточного рака и развитие фиброза печени [14]. Показано, что TP53TG1 ингибирует развитие рака молочной железы, подавляя сигнальный путь PI3K/AKT [90]. Таким образом, высокий уровень TP53TG1 негативно влияет на молекулярные механизмы ускоренного клеточного старения, ингибируя сигнальные каскады TGF-β/SMAD и PI3K/AKT. Роль TP53TG1 при ХОБЛ ранее не изучали, поэтому результаты, полученные нами на МНК, необходимо подтвердить на образцах легочной ткани.
Наибольший интерес представляет прямая корреляция экспрессии днРНК TP53TG1 и мРНК TGFB2, совместная оценка экспрессии которых с использованием ROC-анализа также показала наибольшую прогностическую значимость для дискриминации больных ХОБЛ и здоровых индивидов. Эти два транскрипта функционально связаны, так как TP53TG1 является регулятором сигнального каскада TGF-β/SMAD, а TGFB2 его ключевой молекулой. Нами выявлено снижение уровня экспрессии TGFB2 в МНК больных ХОБЛ и его корреляция с возрастом больных и показателем легочной функции ОФВ1/ФЖЕЛ. Согласно данным биоинформатического анализа, TGFB2, будучи активатором сигнального каскада TGF-β/SMAD2/SMAD3/SMAD4, усиливает ЭМП, способствует фиброзу и обладает антиапоптотическим действием [30]. В свою очередь, SMAD2 и SMAD3 стимулируют экспрессию генов мезенхимального фенотипа: FN1, SNAI2 и MMP2 [91], повышенная активность которых при ХОБЛ может способствовать ремоделированию легочной ткани и воздухоносных путей. С другой стороны, TGFB2 вовлечен в антиоксидантный ответ: взаимодействие между TGFB2 и C/EBPα (CCAAT enhancer binding protein alpha) положительно влияет на дифференцировку и секреторную активность эпителиальных клеток легкого на фоне повреждения в ответ на гипероксию [92]. Масштабное РНК-секвенирование позволило выявить снижение уровня экспрессии гена TGFB2 в легочной ткани больных ХОБЛ [93].
Таким образом, изменение профиля экспрессии TGFB2 в МНК больных ХОБЛ может быть связано с ранним развитием заболевания и быстрым снижением показателей проводимости воздухоносных путей.
Нами показано двукратное снижение уровня днРНК DNM3OS у больных ХОБЛ, более того, выявлена его корреляция с величиной ФЖЕЛ, что отражает постепенное прогрессирование обструкции дыхательных путей. Установлено, что уровень экспрессии DNM3OS положительно коррелирует с уровнями других днРНК (H19, MEG3 и TP53TG1) и отрицательно – с уровнем MALAT1. Согласно данным биоинформатического анализа, через мРНК-мишени и микроРНК DNM3OS взаимодействует с генами MALAT1, H19, MEG3 и TP53TG1. DNM3OS участвует в регуляции каскада TGF-β/SMAD [20] и в таких ключевых процессах фиброзной трансформации клеток верхних дыхательных путей, как жизнеспособность и миграционный потенциал, что обусловлено его способностью ингибировать действие miR-204-5p посредством взаимодействия с высокоаффинным сайтом связывания из 11 нуклеотидов и дополнительными последовательностями [94] с последующей активацией HIP1 (huntingtin interacting protein 1) [95]. DNM3OS фрагментируется на три микроРНК, каждая из которых вовлечена в регуляцию ключевых сигнальных каскадов, связанных с апоптозом, ЭМП и пролиферацией [20]. Показано, что miR-199a участвует в регуляции экспрессии SIRT1 в альвеолярных макрофагах, тем самым модулируя легочное воспаление при остром респираторном дистресс-синдроме [96]. Дисрегуляция DNM3OS и происходящих из нее микроРНК связана с различными хроническими заболеваниями [19]. Уровень экспрессии DNM3OS повышен при легочном фиброзе [20]. Повышение уровня экспрессии только miR-199a-5p в легочной ткани при ХОБЛ наблюдали и ранее [97], тогда как экспрессия DNM3OS при ХОБЛ изучена впервые.
Таким образом, нами впервые показано изменение экспрессии днРНК DNM3OS в МНК больных ХОБЛ и корреляция таких изменений с показателями внешнего дыхания, что может быть связано с участием данной днРНК и происходящих из нее микроРНК в регуляции сигнальных каскадов TGF-β/SMAD и воспаления, что требует проведения исследований на образцах легочной ткани.
Нами не выявлены различия в уровне экспрессии днРНК H19, MEG3 и мРНК PTEN, FOXO3 и KEAP1 в МНК больных ХОБЛ и здоровых индивидов. Необходимо отметить, что корреляционный анализ позволил показать вовлеченность генов FOXO3 и KEAP1 в прогрессирование обструкции дыхательных путей. Так, показана корреляция между уровнями экспрессии данных генов и показателями функции легочного дыхания, что указывает на их потенциальное участие в процессах старения легочной ткани, выражающееся в постепенном снижении проводимости воздухоносных путей, ремоделировании бронхов и бронхиол, развитии фиброзных и эмфизематозных изменений.
В заключение следует отметить, что в нашем исследовании показана дифференциальная экспрессия днРНК TP53TG1, LINC00342, DNM3OS, MALAT1 и мРНК TGFB2 в МНК больных ХОБЛ и здоровых доноров, при этом днРНК TP53TG1, LINC00342 и DNM3OS анализировали впервые. Полученные результаты требуют дальнейшего подтверждения на образцах легочной ткани больных ХОБЛ. Получена высокоинформативная прогностическая модель развития ХОБЛ, которая включает одновременную оценку уровня экспрессии днРНК TP53TG1 и мРНК TGFB2. Дифференциально экспрессирующиеся днРНК (TP53TG1, LINC00342, DNM3OS, MALAT1) и белоккодирующий ген TGFB2 функционально действуют как регуляторы апоптоза, воспаления, фиброгенеза и ЭМП, что указывает на активную роль процессов клеточного старения в молекулярном патогенезе ХОБЛ. Полученные результаты могут служить основой для усовершенствования диагностических критериев и разработки принципиально новых лекарственных препаратов.
Исследование получило финансовую поддержку Российского научного фонда (грант № 23-25-00019, https://rscf.ru/project/23-25-00019/).
Все процедуры, выполненные в исследовании, соответствуют этическим стандартам Национального комитета по исследовательской этике и Хельсинкской декларации 1964 года и ее последующим изменениям или сопоставимым нормам этики. Все участники исследования до включения в исследование добровольно подписали форму информированного согласия, утвержденную в составе протокола исследования этическим комитетом ИБГ УФИЦ РАН (протокол № 19, от 01.11.2022 г.).
Авторы декларируют отсутствие явных и потенциальных конфликтов интересов, связанных с публикацией настоящей статьи.
Дополнительные материалы размещены в электронном виде по DOI статьи и на сайте http://www.molecbio.ru/downloads/ 2024/5/upp_Markelov_rus.zip.
作者简介
V. Markelov
Ufa Federal Research Centre of the Russian Academy of Sciences (IBG UFRC RAS); Bashkir State Medical University
Email: guly_kory@mail.ru
Institute of Biochemistry and Genetics
俄罗斯联邦, Ufa, 450054; Ufa, 450008G. Korytina
Ufa Federal Research Centre of the Russian Academy of Sciences (IBG UFRC RAS); Bashkir State Medical University
编辑信件的主要联系方式.
Email: guly_kory@mail.ru
Institute of Biochemistry and Genetics
俄罗斯联邦, Ufa, 450054; Ufa, 450008Y. Aznabaeva
Bashkir State Medical University
Email: guly_kory@mail.ru
俄罗斯联邦, Ufa, 450008
I. Gibadullin
Bashkir State Medical University
Email: guly_kory@mail.ru
俄罗斯联邦, Ufa, 450008
L. Akhmadishina
Ufa Federal Research Centre of the Russian Academy of Sciences (IBG UFRC RAS); Ufa State Petroleum Technological University
Email: guly_kory@mail.ru
Institute of Biochemistry and Genetics
俄罗斯联邦, Ufa, 450054; Ufa, 450064T. Nasibullin
Ufa Federal Research Centre of the Russian Academy of Sciences (IBG UFRC RAS)
Email: guly_kory@mail.ru
Institute of Biochemistry and Genetics
俄罗斯联邦, Ufa, 450054O. Kochetova
Ufa Federal Research Centre of the Russian Academy of Sciences (IBG UFRC RAS)
Email: guly_kory@mail.ru
Institute of Biochemistry and Genetics
俄罗斯联邦, Ufa, 450054A. Avzaletdinov
Bashkir State Medical University
Email: guly_kory@mail.ru
俄罗斯联邦, Ufa, 450008
N. Zagidullin
Bashkir State Medical University
Email: guly_kory@mail.ru
俄罗斯联邦, Ufa, 450008
参考
- Чучалин А.Г., Авдеев С.Н., Айсанов З.Р., Белевский А.С., Лещенко И.В., Овчаренко С.И., Шмелев Е.И. (2022) Хроническая обструктивная болезнь легких: федеральные клинические рекомендации по диагностике и лечению. Пульмонология. 32(3), 356–392.
- Agustí A., Celli B.R., Criner G.J., Halpin D., Anzueto A., Barnes P., Bourbeau J., Han M.K., Martinez F.J., Montes de Oca M., Mortimer K., Papi A., Pavord I., Roche N., Salvi S., Sin D.D., Singh D., Stockley R., López Varela M.V., Wedzicha J.A., Vogelmeier C.F. (2023) Global initiative for chronic obstructive lung disease 2023 report: GOLD executive summary. Eur. Respir. J. 61(4), 2300239.
- Ragland M.F., Benway C.J., Lutz S.M., Bowler R.P., Hecker J., Hokanson J.E., Crapo J.D., Castaldi P.J., DeMeo D.L., Hersh C.P., Hobbs B.D., Lange C., Beaty T.H., Cho M.H., Silverman E.K. (2019) Genetic advances in chronic obstructive pulmonary disease. insights from COPDGene. Am. J. Respir. Crit. Care Med. 200(6), 677–690.
- Choudhury G., MacNee W. (2017) Role of inflammation and oxidative stress in the pathology of ageing in COPD: potential therapeutic interventions. COPD. 14(1), 122–135.
- Aghali A., Koloko Ngassie M.L., Pabelick C.M., Prakash Y.S. (2022) Cellular senescence in aging lungs and diseases. Cells. 11(11), 1781.
- Birch J., Anderson R.K., Correia-Melo C., Jurk D., Hewitt G., Marques F.M., Green N.J., Moisey E., Birrell M.A., Belvisi M.G., Black F., Taylor J.J., Fisher A.J, De Soyza A., Passos J.F. (2015) DNA damage response at telomeres contributes to lung aging and chronic obstructive pulmonary disease. Am. J. Physiol. Lung Cell. Mol. Physiol. 309(10), L1124–1137.
- Barnes P.J., Baker J., Donnelly L.E. (2019) Cellular senescence as a mechanism and target in chronic lung diseases. Am. J. Respir. Crit. Care Med. 200(5), 556–564.
- Brandsma C.A., de Vries M., Costa R., Woldhuis R.R., Königshoff M., Timens W. (2017) Lung ageing and COPD: is there a role for ageing in abnormal tissue repair? Eur. Respir. Rev. 26(146), 170073.
- Puvvula P.K. (2019) LncRNAs regulatory networks in cellular senescence. Int. J. Mol. Sci. 20(11), 2615.
- Long Y., Wang X., Youmans D.T., Cech T.R. (2017) How do lncRNAs regulate transcription? Sci. Adv. 3(9), eaao2110.
- Ferrè F., Colantoni A., Helmer-Citterich M. (2016) Revealing protein-lncRNA interaction. Brief Bioinform. 17(1), 106–116.
- Маркелов В.А., Корытина Г.Ф., Азнабаева Ю.Г., Зулкарнеев Ш.Р., Ахмадишина Л.З., Загидуллин Н.Ш. (2023) Роль сигнальных путей, вовлеченных в механизмы клеточного старения, и регуляторных некодирующих РНК в развитии хронической обструктивной болезни легких. Гены и клетки. 18(2), 93–108.
- Lu Q., Guo Q., Xin M., Lim C., Gamero A.M., Gerhard G.S., Yang L. (2021) LncRNA TP53TG1 promotes the growth and migration of hepatocellular carcinoma cells via activation of ERK signaling. Noncoding RNA. 7(3), 52.
- Chen B., Lan J., Xiao Y., Liu P., Guo D., Gu Y., Song Y., Zhong Q., Ma D., Lei P., Liu Q. (2021) Long noncoding RNA TP53TG1 suppresses the growth and metastasis of hepatocellular carcinoma by regulating the PRDX4/β-catenin pathway. Cancer Lett. 513, 75–89.
- Ersahin T., Tuncbag N., Cetin-Atalay R. (2015) The PI3K/AKT/mTOR interactive pathway. Mol. Biosyst. 11(7), 1946–1954. doi: 10.1039/c5mb00101c. PMID: 25924008.
- Wang L., Chen Z., An L., Wang Y., Zhang Z., Guo Y., Liu C. (2016) Analysis of long non-coding RNA expression profiles in non-small cell lung cancer. Cell. Physiol. Biochem. 38(6), 2389–400.
- Chen Q.F., Kong J.L., Zou S.C., Gao H., Wang F., Qin S.M., Wang W. (2019) LncRNA LINC00342 regulated cell growth and metastasis in non-small cell lung cancer via targeting miR-203a-3p. Eur. Rev. Med. Pharmacol. Sci. 23(17), 7408–7418.
- Tang H., Zhao L., Li M., Li T., Hao Y. (2019) Investigation of LINC00342 as a poor prognostic biomarker for human patients with non-small cell lung cancer. J. Cell. Biochem. 120(4), 5055–5061.
- Fellah S., Larrue R. Truchi M., Vassaux G., Mari B., Cauffiez C., Pottier N. (2023) Pervasive role of the long noncoding RNA DNM3OS in development and diseases. Wiley Interdiscip. Rev. RNA. 14(2), e1736.
- Savary G., Dewaeles E., Diazzi S., Buscot M., Nottet N., Fassy J., Courcot E., Henaoui I.S., Lemaire J., Martis N., Van der Hauwaert C., Pons N., Magnone V., Leroy S., Hofman V., Plantier L., Lebrigand K., Paquet A., Lino Cardenas C.L., Vassaux G., Hofman P., Günther A., Crestani B., Wallaert B., Rezzonico R., Brousseau T., Glowacki F., Bellusci S., Perrais M., Broly F., Barbry P., Marquette C.H., Cauffiez C., Mari B., Pottier N. (2019) The long noncoding RNA DNM3OS Is a reservoir of fibromiRs with major functions in lung fibroblast response to TGF-β and pulmonary fibrosis. Am. J. Respir. Crit. Care Med. 200(2), 184–198.
- Zeng R., Zhang R., Song X., Ni L, Lai Z., Liu C., Ye W. (2018) The long non-coding RNA MALAT1 activates Nrf2 signaling to protect human umbilical vein endothelial cells from hydrogen peroxide. Biochem. Biophys. Res. Commun. 495(4), 2532–2538.
- Ghafouri-Fard S., Esmaeili M., Taheri M. (2020) H19 lncRNA: roles in tumorigenesis. Biomed. Pharmacother. 123, 109774.
- Lu Q., Guo Z., Xie W., Jin W., Zhu D., Chen S., Ren T. (2018) The lncRNA H19 mediates pulmonary fibrosis by regulating the miR-196a/COL1A1 axis. Inflammation. 41(3), 896–903.
- Xu J.L., Hua T., Ding J., Fan Y., Liu Z.J., Lian J.W. (2019) FOXF2 aggravates the progression of non-small cell lung cancer through targeting lncRNA H19 to down regulate PTEN. Eur. Rev. Med. Pharmacol. Sci. 23(24), 10796–10802.
- Al-Rugeebah A., Alanazi M., Parine N.R. (2019) MEG3: an oncogenic long non-coding RNA in different cancers. Pathol. Oncol. Res. 25(3), 859–874.
- Zhan H., Sun X., Wang X., Gao Q., Yang M., Liu H., Zheng J., Gong X., Feng S., Chang X., Sun Y. (2021) LncRNA MEG3 involved in NiO NPs-induced pulmonary fibrosis via regulating TGF-β1-mediated PI3K/AKT pathway. Toxicol. Sci. 182(1), 120–131.
- Cai B., Yang L., Do Jung Y., Zhang Y., Liu X., Zhao P., Li J. (2022) PTEN: аn еmerging potential target for therapeutic intervention in respiratory diseases. (2022) Oxid. Med. Cell. Longev. 4512503.
- Chen C.Y., Chen J., He L., Stiles B.L. (2018) PTEN: tumor suppressor and metabolic regulator. Front. Endocrinol. 9, 338.
- Ishtiaq Ahmed A.S., Bose G.C., Huang L., Azhar M. (2014) Generation of mice carrying a knockout-first and conditional-ready allele of transforming growth factor beta2 gene. Genesis. 52(9), 817–826.
- Schepers D., Tortora G., Morisaki H., MacCarrick G., Lindsay M., Liang D., Mehta S.G., Hague J., Verhagen J., van de Laar I., Wessels M., Detisch Y., van Haelst M., Baas A., Lichtenbelt K., Braun K., van der Linde D., Roos-Hesselink J., McGillivray G., Meester J., Maystadt I., Coucke P., El-Khoury E., Parkash S., Diness B., Risom L., Scurr I., Hilhorst-Hofstee Y., Morisaki T., Richer J., Désir J., Kempers M., Rideout A.L., Horne G., Bennett C., Rahikkala E., Vandeweyer G., Alaerts M., Verstraeten A., Dietz H., Van Laer L., Loeys B. (2018) A mutation update on the LDS-associated genes TGFB2/3 and SMAD2/3. Hum. Mutat. 39(5), 621–634.
- Stefanetti R.J., Voisin S., Russell A., Lamon S. (2018) Recent advances in understanding the role of FOXO3. F1000Res. 7, F1000 Fac. Rev–1372.
- Bellezza I., Giambanco I., Minelli A., Donato R. (2018) Nrf2-Keap1 signaling in oxidative and reductive stress. Biochim. Biophys. Acta Mol. Cell. Res. 1865(5), 721–733.
- Cheng L., Wang P., Tian R., Wang S., Guo Q., Luo M., Zhou W., Liu G., Jiang H., Jiang Q. (2019) LncRNA2Target v2.0: a comprehensive database for target genes of lncRNAs in human and mouse. Nucl. Acids Res. 47(D1), D140–D144.
- Livak K.J., Schmittgen T.D. (2001) Analysis of relative gene expression data using real-time quantitative PCR and the 2(-Delta Delta C(T)) method. Methods. 25(4), 402–408.
- Lin W., Liu H., Tang Y., Wei Y., Wei W., Zhang L., Chen J. (2021) The development and controversy of competitive endogenous RNA hypothesis in non-coding genes. Mol. Cell. Biochem. 476(1), 109–123.
- Bosson A.D., Zamudio J.R., Sharp P.A. (2014) Endogenous miRNA and target concentrations determine susceptibility to potential ceRNA competition. Mol. Сell. 56(3), 347–359.
- Jens M., Rajewsky N. (2015) Competition between target sites of regulators shapes post-transcriptional gene regulation. Nat. Rev. Genetics. 16(2), 113–126.
- Yuan Y., Liu B., Xie P., Zhang M. Q., Li Y., Xie Z., Wang X. (2015) Model-guided quantitative analysis of microRNA-mediated regulation on competing endogenous RNAs using a synthetic gene circuit. Proc. Natl. Acad. Sci. USA. 112(10), 3158–3163.
- Ebert M.S., Neilson J.R., Sharp P.A. (2007) MicroRNA sponges: competitive inhibitors of small RNAs in mammalian cells. Nat. Мethods. 4(9), 721–726.
- Xiao H., Liu Y., Liang P., Wang B., Tan H., Zhang Y., Gao X., Gao J. (2018) TP53TG1 enhances cisplatin sensitivity of non-small cell lung cancer cells through regulating miR-18a/PTEN axis. Cell Biosci. 8, 23.
- Sun J., Guo Y., Chen T., Jin T., Ma L., Ai L., Guo J., Niu Z., Yang R., Wang Q., Yu X., Gao H., Zhang Y., Su W., Song X., Ji W., Zhang Q., Huang M., Fan X., Du Z., Liang H. (2022) Systematic analyses identify the anti-fibrotic role of lncRNA TP53TG1 in IPF. Cell Death Dis. 13(6), 525.
- Su H., Yu S., Sun F., Lin D., Liu P,. Zhao L. (2022) LINC00342 induces metastasis of lung adenocarcinoma by targeting miR-15b/TPBG. Acta Biochim. Pol. 69(2), 291–297.
- Fan Q., Jian Y. (2020) MiR-203a-3p regulates TGF-β1-induced epithelial-mesenchymal transition (EMT) in asthma by regulating Smad3 pathway through SIX1. Biosci. Rep. 40(2), BSR20192645.
- van Nijnatten J., Brandsma C.A., Steiling K., Hiemstra P.S., Timens W., van den Berge M., Faiz A. (2022) High miR203a-3p and miR-375 expression in the airways of smokers with and without COPD. Sci. Rep. 12(1), 5610.
- Yu H., Qi N., Zhou Q. (2021) LncRNA H19 inhibits proliferation and migration of airway smooth muscle cells induced by PDGF-BB through miR-21/PTEN/Akt Axis. J. Asthma Allergy. 14, 71–80.
- Gutschner T., Hämmerle M., Eissmann M., Hsu J., Kim Y., Hung G., Revenko A., Arun G., Stentrup M., Gross M., Zörnig M., MacLeod A.R., Spector D.L., Diederichs S. (2013) The noncoding RNA MALAT1 is a critical regulator of the metastasis phenotype of lung cancer cells. Cancer Res. 73(3), 1180–1189.
- Lu L., Luo F., Liu Y., Liu X., Shi L., Lu X., Liu Q. (2015) Posttranscriptional silencing of the lncRNA MALAT1 by miR-217 inhibits the epithelial-mesenchymal transition via enhancer of zeste homolog 2 in the malignant transformation of HBE cells induced by cigarette smoke extract. Toxicol. Appl. Pharmacol. 289(2), 276–285.
- Chen W., Zhao W., Zhang L., Wang L., Wang J., Wan Z., Hong Y., Yu L. (2017) MALAT1-miR-101-SOX9 feedback loop modulates the chemo-resistance of lung cancer cell to DDP via Wnt signaling pathway. Oncotarget. 8(55), 94317–94329.
- Tang Y., Xiao G., Chen Y., Deng Y. (2018) LncRNA MALAT1 promotes migration and invasion of non-small-cell lung cancer by targeting miR-206 and activating Akt/mTOR signaling. Anticancer Drugs. 29(8), 725–735.
- Green C.E., Clarke J., Bicknell R., Turner A.M. (2021) Pulmonary microRNA сhanges alter angiogenesis in chronic obstructive pulmonary disease and lung сancer. Biomedicines. 9(7), 830.
- Shen Y., Yang Y., Li Y. (2020) MiR-133a acts as a tumor suppressor in lung cancer progression by regulating the LASP1 and TGF-β/Smad3 signaling pathway. Thorac. Cancer. 11(12), 3473–3481.
- Gokey J.J., Snowball J., Sridharan A., Speth J.P., Black K.E., Hariri L.P., Perl A.T., Xu Y., Whitsett J.A. (2018) MEG3 is increased in idiopathic pulmonary fibrosis and regulates epithelial cell differentiation. JCI Insight. 3(17), e122490.
- Li W., Qiu X., Jiang H., Han Y., Wei D., Liu J. (2016) Downregulation of miR-181a protects mice from LPS-induced acute lung injury by targeting Bcl-2. Biomed. Pharmacother. 84, 1375–1382.
- Su Y., Silva J.D., Doherty D., Simpson D.A., Weiss D.J., Rolandsson-Enes S., McAuley D.F., O´Kane C.M., Brazil D.P., Krasnodembskaya A.D. (2023) Mesenchymal stromal cells-derived extracellular vesicles reprogramme macrophages in ARDS models through the miR-181a-5p-PTEN-pSTAT5-SOCS1 axis. Thorax. 78(6), 617–630.
- Ma J., Chen S., Liu Y., Han H., Gong M. Song Y. (2022) The role of exosomal miR-181b in the crosstalk between NSCLC cells and tumor-associated macrophages. Genes Genomics. 44(10), 1243–1258.
- Wu H., Ma H., Wang L., Zhang H., Lu L., Xiao T., Cheng C., Wang P., Yang Y., Wu M., Wang S., Zhang J., Liu Q. (2022) Regulation of lung epithelial cell senescence in smoking-induced COPD/emphysema by microR-125a-5p via Sp1 mediation of SIRT1/HIF-1a. Int. J. Biol. Sci. 18(2), 661–674.
- Zhao Y., Li A. (2021) miR-19b-3p relieves intervertebral disc degeneration through modulating PTEN/PI3K/Akt/mTOR signaling pathway. Aging. 13(18), 22459–22473.
- Li H., Zhang P., Sun X., Sun Y., Shi C., Liu H., Liu X. (2015) MicroRNA-181a regulates epithelial-mesenchymal transition by targeting PTEN in drug-resistant lung adenocarcinoma cells. Int. J. Oncol. 47(4), 1379–1392.
- Horita H., Wysoczynski C.L., Walker L.A., Moulton K.S., Li M., Ostriker A., Tucker R., McKinsey T.A., Churchill M.E., Nemenoff R.A., Weiser-Evans M.C. (2016) Nuclear PTEN functions as an essential regulator of SRF-dependent transcription to control smooth muscle differentiation. Nat. Commun. 7, 10830.
- Chen G., Yu L., Dong H., Liu Z., Sun Y. (2019) MiR-182 enhances radioresistance in non-small cell lung cancer cells by regulating FOXO3. Clin. Exp. Pharmacol. Physiol. 46(2), 137–143.
- Wang S., Sun Y., Yao L., Xing Y., Yang H. Ma Q. (2024) The role of microRNA-23a-3p in the progression of human aging process by targeting FOXO3a. Mol. Biotechnol. 66(2), 277–287.
- Wang Y.Q., Cao Q., Wang F., Huang L.Y., Sang T.T., Liu F., Chen S.Y. (2015) SIRT1 protects against oxidative stress-induced endothelial progenitor cells apoptosis by inhibiting FOXO3a via FOXO3a ubiquitination and degradation. J. Cell. Physiol. 230(9), 2098–2107.
- Zhang C., Kong X., Ma D. (2020) miR-141-3p inhibits vascular smooth muscle cell proliferation and migration via regulating Keap1/Nrf2/HO-1 pathway. IUBMB Life. 72(10), 2167–2179.
- Thu K.L., Pikor L.A., Chari R., Wilson I.M., Macaulay C.E., English J.C., Tsao M.S., Gazdar A.F., Lam S., Lam W.L., Lockwood W.W. (2011) Genetic disruption of KEAP1/CUL3 E3 ubiquitin ligase complex components is a key mechanism of NF-kappaB pathway activation in lung cancer. J. Thorac. Oncol. 6(9), 1521–1529.
- Liao H., Liang Y., Kang L., Xiao Y., Yu T., Wan R. (2021) miR4543p inhibits nonsmall cell lung cancer cell proliferation and metastasis by targeting TGFB2. Oncol. Rep. 45(5), 67.
- Zhong L., Yang H., Zhu B., Zhao X., Xie M., Cao M., Liu C., Zhao D., Lyu Y., Shang W., Wang B., Wu Y., Sun X., Qiu G., Fu W., Jiang H. (2022) The TBX1/miR-193a-3p/TGF-β2 axis mediates CHD by promoting ferroptosis. Oxid. Med. Cell. Longev. 2022, 5130546.
- Paliwal S., Shi J., Dhru U., Zhou Y., Schuger L. (2004) P311 binds to the latency associated protein and downregulates the expression of TGF-beta1 and TGF-beta2. Biochem. Biophys. Res. Commun. 315(4), 1104–1109.
- Khankan R., Oliver N., He S., Ryan S.J., Hinton D.R. (2011) Regulation of fibronectin-EDA through CTGF domain-specific interactions with TGFβ2 and its receptor TGFβRII. Invest. Ophthalmol. Vis. Sci. 52(8), 5068–5078.
- Yang B., Bai J., Shi R., Shao X., Yang Y., Jin Y., Che X., Zhang Y., Qu X., Liu Y., Li Z. (2020) TGFB2 serves as a link between epithelial-mesenchymal transition and tumor mutation burden in gastric cancer. Int. Immunopharmacol. 84, 106532.
- Li Q., Zhang C., Chen R., Xiong H., Qiu F., Liu S., Zhang M., Wang F., Wang Y., Zhou X., Xiao G., Wang X., Jiang Q. (2016) Disrupting MALAT1/miR-200c sponge decreases invasion and migration in endometrioid endometrial carcinoma. Cancer Lett. 383(1), 28–40.
- Yang S., Banerjee S., de Freitas A., Sanders Y.Y., Ding Q., Matalon S., Thannickal V.J., Abraham E., Liu G. (2011) Participation of miR-200 in pulmonary fibrosis. Am. J. Pathol. 180(2), 484–493.
- Lin W., Liu H., Tang Y., Wei Y., Wei W., Zhang L., Chen J. (2021) The development and controversy of competitive endogenous RNA hypothesis in non-coding genes. Mol. Сell. Biochem. 476(1), 109–123.
- Zhang X., Xu J., Wang J., Gortner L., Zhang S., Wei X., Song J., Zhang Y., Li Q., Feng Z. (2013) Reduction of microRNA-206 contributes to the development of bronchopulmonary dysplasia through up-regulation of fibronectin 1. PLoS One. 8(9), e74750.
- Song J., Su Z.Z., Shen Q.M. (2020) Long non-coding RNA MALAT1 regulates proliferation, apoptosis, migration and invasion via miR-374b-5p/SRSF7 axis in non-small cell lung cancer. Eur. Rev. Med. Pharmacol. Sci. 24(4), 1853–1862.
- Andreas A., Maloy A., Nyunoya T., Zhang Y., Chandra D. (2022) The FoxP1 gene regulates lung function, production of matrix metalloproteinases and inflammatory mediators, and viability of lung epithelia. Respir. Res. 23(1), 281.
- Wei S., Wang K., Huang X., Tang W., Zhao Z., Zhao Z. (2019) Knockdown of the lncRNA MALAT1 alleviates lipopolysaccharideinduced A549 cell injury by targeting the miR175p/FOXA1 axis. Mol. Med. Rep. 20(2), 2021–2029.
- Liu H., Shi C., Deng Y. (2020) MALAT1 affects hypoxia-induced vascular endothelial cell injury and autophagy by regulating miR-19b-3p/HIF-1α axis. Mol. Cell. Biochem. 466(1–2), 25–34.
- Baumgartner U., Berger F., Hashemi Gheinani A., Burgener S.S., Monastyrskaya K., Vassella E. (2018) МiR-19b enhances proliferation and apoptosis resistance via the EGFR signaling pathway by targeting PP2A and BIM in non-small cell lung cancer. Mol. Cancer. 17(1), 44.
- Zhang Z., Li M., Zhang Z. (2020) lncRNA MALAT1 modulates oxaliplatin resistance of gastric cancer via sponging miR-22-3p. OncoTargets. Therapy. 13, 1343–1354.
- Yang K., Li W., Duan W., Jiang Y., Huang N., Li Y., Ren B., Sun J. (2019) Resveratrol attenuates pulmonary embolism associated cardiac injury by suppressing activation of the inflammasome via the MALAT1miR223p signaling pathway. Int. J. Mol. Med. 44(6), 2311–2320.
- Zhou Q., Run Q., Li C.Y., Xiong X.Y., Wu X.L. (2020) LncRNA MALAT1 рromotes STAT3-mediated endothelial inflammation by counteracting the function of miR-590. Cytogenet. Genome Res. 160(10), 565–578.
- Shen F., Zheng H., Zhou L., Li W., Xu X. (2019) Overexpression of MALAT1 contributes to cervical cancer progression by acting as a sponge of miR-429. J. Сell. Рhysiol. 234(7), 11219–11226.
- Liu C., Zhuo H., Ye M.Y., Huang G.X., Fan M., Huang X.Z. (2020) LncRNA MALAT1 promoted high glucose-induced pyroptosis of renal tubular epithelial cell by sponging miR-30c targeting for NLRP3. Kaohsiung J. Med. Sci. 36(9), 682–691.
- Lai X., Zhong J., Zhang A., Zhang B., Zhu T., Liao R. (2022) Focus on long non-coding RNA MALAT1: insights into acute and chronic lung diseases. Front. Genet. 13, 1003964.
- Hu T.J., Huang H.B., Shen H.B., Chen W., Yang Z.H. (2020) Role of long non-coding RNA MALAT1 in chronic obstructive pulmonary disease. Exp. Ther. Med. 20(3), 2691–2697.
- Liu S., Liu M., Dong L. (2020) The clinical value of lncRNA MALAT1 and its targets miR-125b, miR-133, miR-146a, and miR-203 for predicting disease progression in chronic obstructive pulmonary disease patients. J. Clin. Lab. Anal. 34(9), e23410.
- Barnes P.J. (2016) Inflammatory mechanisms in patients with chronic obstructive pulmonary disease. J. Allergy Clin. Immunol. 138(1), 16–27.
- Shen P., Qu L., Wang J., Ding Q., Zhou C., Xie R., Wang H., Ji G. (2021) LncRNA LINC00342 contributes to the growth and metastasis of colorectal cancer via targeting miR-19a-3p/NPEPL1 axis. Cancer Cell Int. 21(1), 105.
- Chen Q.F., Kong J.L., Zou S.C., Gao H., Wang F., Qin S.M., Wang W. (2019) LncRNA LINC00342 regulated cell growth and metastasis in non-small cell lung cancer via targeting miR-203a-3p. Eur. Rev. Med. Pharmacol. Sci. 23(17), 7408–7418.
- Shao M., Ma H., Wan X., Liu Y. (2020) Survival analysis for long noncoding RNAs identifies TP53TG1 as an antioncogenic target for the breast cancer. J. Cell. Physiol. 235(10), 6574–6581.
- Deng H., Schwartz M.A. (2022) High fluid shear stress inhibits cytokine-driven Smad2/3 activation in vascular endothelial cells. J. Am. Heart Assoc. 11(14), e025337.
- Zhu Y., Chen X., Mi L., Wang Q., Zhu H., Ju H., Lu H. (2020) Sumoylation of CCAAT-enhancer-binding protein α inhibits lung differentiation in bronchopulmonary dysplasia model rats. J. Cell. Mol. Med. 24(12), 7067–7071.
- Ghosh A.J., Hobbs B.D., Yun J.H., Saferali A., Moll M., Xu Z., Chase R.P., Morrow J., Ziniti J., Sciurba F., Barwick L., Limper A.H., Flaherty K., Criner G., Brown K.K., Wise R., Martinez F.J., McGoldrick D., Cho M.H., DeMeo D.L., Silverman E.K., Castaldi P.J, NHLBI Trans-Omics for Precision Medicine (TOPMed) Consortium, Hersh C.P. (2022) Lung tissue shows divergent gene expression between chronic obstructive pulmonary disease and idiopathic pulmonary fibrosis. Respir. Res. 23(1), 97.
- He L., He G. (2021) DNM3OS facilitates ovarian cancer progression by regulating miR-193a-3p/MAP3K3 axis. Yonsei Med. J. 62(6), 535–544.
- Fang X., Tang Z., Zhang H., Quan H. (2020) Long non-coding RNA DNM3OS/miR-204-5p/HIP1 axis modulates oral cancer cell viability and migration. J. Oral. Pathol. Med. 49(9), 865–875.
- Liu Y., Guan H., Zhang J.L., Zheng Z., Wang H.T., Tao K., Han S.C., Su L.L., Hu D. (2018) Acute downregulation of miR-199a attenuates sepsis-induced acute lung injury by targeting SIRT1. Am. J. Physiol. Cell. Physiol. 314(4), С449–C455.
- Mizuno S., Bogaard H.J., Gomez-Arroyo J., Alhussaini A., Kraskauskas D., Cool C.D., Voelkel N.F. (2012) MicroRNA-199a-5p is associated with hypoxia-inducible factor-1α expression in lungs from patients with COPD. Chest. 142(3), 663–672.
补充文件




