How Histone Deacetylase 3 Controls Hepcidin Expression and Hepatitis C Virus Replication
- Authors: Shcherbakova А.S.1, Kochetkov S.N.1, Kozlov M.V.1
-
Affiliations:
- Engelhardt Institute of Molecular Biology, Russian Academy of Sciences
- Issue: Vol 57, No 3 (2023)
- Pages: 427-439
- Section: ОБЗОРЫ
- URL: https://journals.rcsi.science/0026-8984/article/view/138603
- DOI: https://doi.org/10.31857/S0026898423030096
- EDN: https://elibrary.ru/CHJNUP
- ID: 138603
Cite item
Full Text
Abstract
The key role of histone deacetylases (HDACs) in the regulation of the cellular response to infection with the hepatitis C virus (HCV) was first demonstrated in 2008. Studying the metabolism of iron in the liver tissues of patients with chronic hepatitis C, the authors found that the expression of the hepcidin gene (HAMP), a hormone regulator of iron export, is markedly reduced in hepatocytes under conditions of oxidative stress caused by viral infection. HDACs were involved in the regulation of hepcidin expression through the control of acetylation level of histones and transcription factors, primarily STAT3, associated with the HAMP promoter. The purpose of this review is to summarize current data on the functioning of the HCV-HDAC3-STAT3-HAMP regulatory circuit as an example of a well-characterized interaction between the virus and the epigenetic apparatus of the host cell.
About the authors
А. S. Shcherbakova
Engelhardt Institute of Molecular Biology, Russian Academy of Sciences
Email: kozlovmavi@gmail.com
Russia, 119991, Moscow
S. N. Kochetkov
Engelhardt Institute of Molecular Biology, Russian Academy of Sciences
Email: kozlovmavi@gmail.com
Russia, 119991, Moscow
M. V. Kozlov
Engelhardt Institute of Molecular Biology, Russian Academy of Sciences
Author for correspondence.
Email: kozlovmavi@gmail.com
Russia, 119991, Moscow
References
- Malaguarnera M., Di Fazio I., Romeo M.A., Restuccia S., Laurino A., Trovato B.A. (1997) Elevation of interleukin 6 levels in patients with chronic hepatitis due to hepatitis C virus. J. Gastroenterol. 32, 211–215.
- Zhu H., Shang X., Terada N., Liu C. (2004) STAT3 induces anti-hepatitis C viral activity in liver cells. Biochem. Biophys. Res. Commun. 324, 518–528.
- Hentze M.W., Muckenthaler M.U., Galy B., Camaschella C. (2010) Two to tango: regulation of mammalian iron metabolism. Cell. 142, 24–38.
- Roth M.P., Meynard D., Coppin H. (2019) Regulators of hepcidin expression. Vitam. Horm. 110, 101–129.
- Wrighting D.M., Andrews N.C. (2006) Interleukin-6 induces hepcidin expression through STAT3. Blood. 108, 3204–3209.
- Falzacappa V.M.V., Spasic V.M., Kessler R., Stolte J., Hentze M.W., Muckenthaler M.U. (2007) STAT3 mediates hepatic hepcidin expression and its inflammatory stimulation. Blood. 109, 353–358.
- Choi S.O., Cho Y.S., Kim H.L., Park J.W. (2007) ROS mediate the hypoxic repression of the hepcidin gene by inhibiting C/EBPα and STAT-3. Biochem. Biophys. Res. Commun. 356, 312–317.
- Shi D., Xie F., Zhai C., Stern J.S., Liu Y., Liu S. (2009) The role of cellular oxidative stress in regulating glycolysis energy metabolism in hepatoma cells. Mol. Cancer. 8(1), 32.
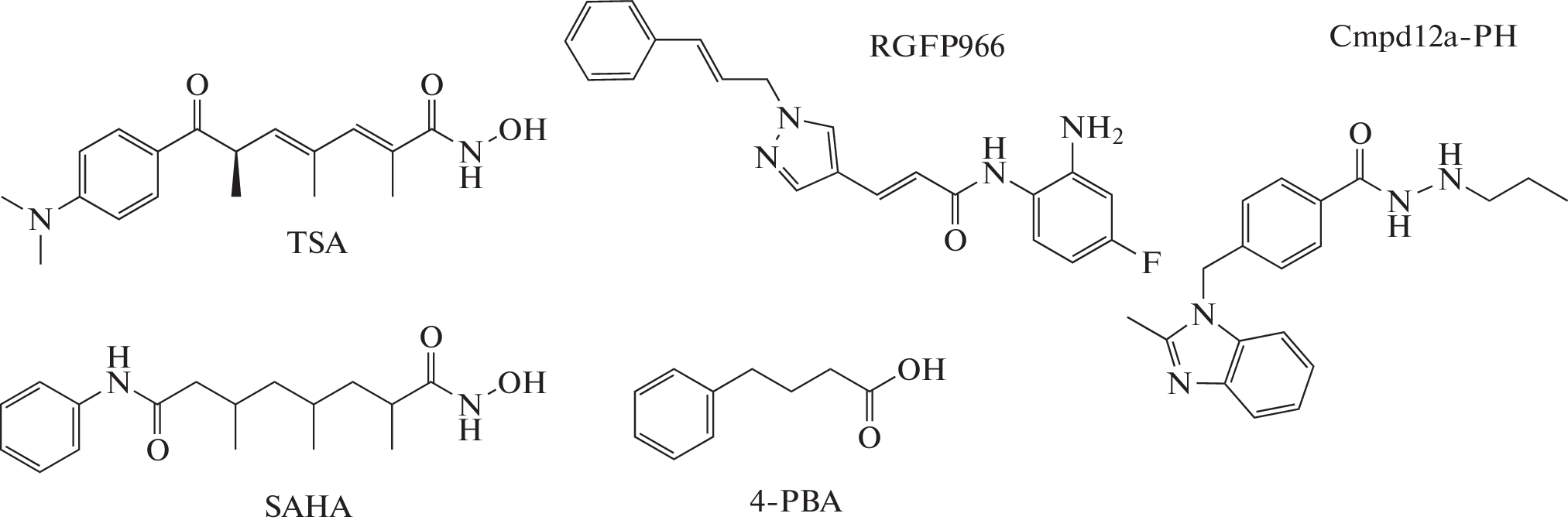
- Miura K., Taura K., Kodama Y., Schnabl B., Brenner D.A. (2008) Hepatitis C virus-induced oxidative stress suppresses hepcidin expression through increased histone deacetylase activity. Hepatology. 48, 1420−1429.
- Sato A., Saito Y., Sugiyama K., Sakasegawa N., Muramatsu T., Fukuda S., Yoneya M., Kimura M., Ebinuma H., Hibi T., Saito H. (2013) Suppressive effect of the histone deacetylase inhibitor suberoylanilide hydroxamic acid (SAHA) on hepatitis C virus replication. J. Cell. Biochem. 114, 1987–1996.
- Lee J.Y., Cortese M., Haselmann U., Tabata K., Romero-Brey I., Funaya C., Schieber N.L., Qiang Y., Bartenschlager M., Kallis S., Ritter C., Rohr K., Schwab Y., Ruggieri A., Bartenschlager R. (2019) Spatiotemporal coupling of the hepatitis C virus replication cycle by creating a lipid droplet-proximal membranous replication compartment. Cell Rep. 27, 3602–3617.
- Kamimura D., Ishihara K., Hirano T. (2003) IL-6 signal transduction and its physiological roles: the signal orchestration model. Rev. Physiol. Biochem. Pharmacol. 149, 1–38.
- Littlewood T.D., Hancock D.C., Danielian P.S., Parker M.G., Evan G.I. (1995) A modified estrogen receptor ligand-binding domain as an improved switch for the regulation of heterologous proteins. Nucl. Acids Res. 23, 1686–1690.
- Matsuda T., Nakamura T., Nakao K., Arai T., Katsuki M., Heike T., Yokota T. (1999) STAT3 activation is sufficient to maintain an undifferentiated state of mouse embryonic stem cells. EMBO J. 18, 4261–4269.
- Zhu H., Liu C. (2003) Interleukin-1 inhibits hepatitis C virus subgenomic RNA replication by activation of extracellular regulated kinase pathway. J. Virol. 77, 5493–5498.
- Yao L., Dong H., Zhu H., Nelson D., Liu C., Lambiase L., Li X. (2011) Identification of the IFITM3 gene as an inhibitor of hepatitis C viral translation in a stable STAT1 cell line. J. Viral Hepat. 18(10), e523–e529.
- Amini-Bavil-Olyaee S., Choi Y.J., Lee J.H., Shi M., Huang I.C., Farzan M., Jung J.U. (2013) The antiviral effector IFITM3 disrupts intracellular cholesterol homeostasis to block viral entry. Cell Host Microbe. 13, 452–464.
- Narayana S.K., Helbig K.J., McCartney E.M., Eyre N.S., Bull R.A., Eltahla A., Lloyd A.R., Beard M.R. (2015) The interferon-induced transmembrane proteins, IFIT-M1, IFITM2, and IFITM3 inhibit hepatitis C virus entry. J. Biol. Chem. 290, 25946–25959.
- Neefjes J., Cabukusta B. (2021) What the VAP: The expanded VAP family of proteins interacting with FFAT and FFAT-related motifs for interorgranellar contact. Contact. 4, 1–11.
- Paul D., Hoppe S., Saher G., Krijnse-Locker J., Bartenschlager R. (2013) Morphological and biochemical characterization of the membranous hepatitis C virus replication compartment. J. Virol. 87, 10612–10627.
- Bailey C.C., Kondur H.R., Huang I.-C., Farzan M. (2013) Interferon-induced transmembrane protein 3 is a type II transmembrane protein. J. Biol. Chem. 288, 32184–32193.
- Helbig K.J., Beard M.R. (2014) The role of viperin in the innate antiviral response. J. Mol. Biol. 426, 1210–1219.
- Hosui A., Ohkawa K., Ishida H., Sato A., Nakanishi F., Ueda K., Takehara T., Kasahara A., Sasaki Y., Hori M., Hayashi N. (2003) Hepatitis C virus core protein differently regulates the JAK-STAT signaling pathway under interleukin-6 and interferon-γ stimuli. J. Biol. Chem. 278, 28562–28571.
- Lee C. (2013) Interaction of hepatitis C virus core protein with Janus kinase is required for efficient production of infectious viruses. Biomol. Ther. 21, 97–106.
- Larrea E., Aldabe R., Molano E., Fernandez-Rodriguez C., Ametzazurra A., Civeira M., Prieto J. (2006) Altered expression and activation of signal transducers and activators of transcription (STATs) in hepatitis C virus infection: in vivo and in vitro studies. Gut. 55, 1188–1196.
- Stevenson N.J., Bourke N.M., Ryan E.J., Binder M., Fanning L., Johnston J.A., John E. Hegarty J.E., Long A., O’Farrelly C. (2013) Hepatitis C virus targets the interferon-α JAK/STAT pathway by promoting proteasomal degradation in immune cells and hepatocytes. FEBS Lett. 587, 1571–1578.
- Nemeth E., Tuttle M.S., Powelson J., Vaughn M.B., Donovan A., Ward D.M. (2004) Hepcidin regulates cellular iron efflux by binding to ferroportin and inducing its internalization. Science. 306, 2090–2093.
- De Domenico I., Lo E., Ward D.M., Kaplan J. (2009) Hepcidin-induced internalization of ferroportin requires binding and cooperative interaction with Jak2. Proc. Natl. Acad. Sci. USA. 106, 3800–3805.
- Ramey G., Deschemin J.C., Durel B., Canonne-Hergaux F., Nicolas G., Vaulont S. (2009) Hepcidin targets ferroportin for degradation in hepatocytes. Haematologica. 95, 501–504.
- Georgopoulou U., Dimitriadis A., Foka P., Karamichali E., Mamalaki A. (2014) Hepcidin and the iron enigma in HCV infection. Virulence. 5, 465–476.
- Zou D.M, Sun W.L. (2017) Relationship between hepatitis C virus infection and iron overload. Chin. Med. J. 130, 866–871.
- Fillebeen C., Rivas-Estilla A.M., Bisaillon M., Ponka P., Muckenthaler M., Hentze M.W., Koromilas A.E., Pantopoulos K. (2005) Iron inactivates the RNA polymerase NS5B and suppresses subgenomic replication of hepatitis C virus. J. Biol. Chem. 280, 9049–9057.
- Fillebeen C., Pantopoulos K. (2010) Iron inhibits replication of infectious hepatitis C virus in permissive Huh7.5.1 cells. J. Hepatol. 53, 995–999.
- Theurl I., Zoller H., Obrist P., Datz C., Bachmann F., Elliott R. M., Weiss G. (2004) Iron regulates hepatitis C virus translation via stimulation of expression of translation initiation factor 3. J. Infect. Dis. 190, 819–825.
- Liu H., Trinh T.L., Dong H., Keith R., Nelson D., Liu C. (2012) Iron regulator hepcidin exhibits antiviral activity against hepatitis C virus. PLoS One. 7(10), e46631.
- Wang R., Zhao S., Du J., Qiao J., Li W., Nan Y. (2021) A correlation analysis of the serum hepcidin concentrations and viral loads in HCV-infected patients. Am. J. Transl. Res. 13, 6297–6304.
- De Domenico I., Zhang T.Y., Koening C.L., Branch R.W., London N., Lo E., Daynes R.A., Kushner J.P., Li D., Ward D.M., Kaplan J. (2010) Hepcidin mediates transcriptional changes that modulate acute cytokine-induced inflammatory responses in mice. J. Clin. Invest. 120, 2395–2405.
- Seto E., Yoshida M. (2014) Erasers of histone acetylation: the histone deacetylase enzymes. Cold Spring Harb. Perspect. Biol. 6, a018713.
- Martin M., Kettmann R., Dequiedt F. (2007) Class IIa histone deacetylases: regulating the regulators. Oncogen. 26, 5450–5467.
- Pasricha S.R., Lim P.J., Duarte T.L., Casu C., Oosterhuis D., Mleczko-Sanecka K., Suciu M., Da Silva A.R., Al-Hourani K., Arezes J., McHugh K., Gooding S., Frost J.N., Wray K., Santos A., Porto G., Repapi E., Gray N., Draper S.J., Ashley N., Soilleux E., Olinga P., Muckenthaler M.U., Hughes J.R., Rivella S., Milne T.A., Armitage A.E., Drakesmith H. (2017) Hepcidin is regulated by promoter-associated histone acetylation and HDAC3. Nat. Commun. 8(1), 403.
- Wilson A.J., Byun D.S., Popova N., Murray L.B., L’Italien K., Sowa Y., Arango D., Velcich A., Leonard H., Augenlicht L.H., Mariadason J.M. (2006) Histone deacetylase 3 (HDAC3) and other class I HDACs regulate colon cell maturation and p21 expression and are deregulated in human colon cancer. J. Biol. Chem. 281, 13548–13558.
- Li J., Wang J., Wang J.X., Nawaz Z., Liu J.M., Qin J. (2000) Both corepressor proteins SMRT and N-CoR exist in large protein complexes containing HDAC3. EMBO J. 19, 4342–4350.
- You S.H., Lim H.W., Sun Z., Broache M., Won K.J., Lazar M.A. (2013) Nuclear receptor co-repressors are required for the histone-deacetylase activity of HDAC3 in vivo. Nat. Struct. Mol. Biol. 20, 182–187.
- Yu J., Li Y., Ishizuka T., Guenther M.G., Lazar M.A. (2003) A SANT motif in the SMRT corepressor interprets the histone code and promotes histone deacetylation. EMBO J. 22, 3403–3410.
- Mottis A., Mouchiroud L., Auwerx J. (2013) Emerging roles of the corepressors NCoR1 and SMRT in homeostasis. Genes Dev. 27, 819–835.
- Watson P.J., Fairall L., Santos G.M., Schwabe J.W.R. (2012) Structure of HDAC3 bound to co-repressor and inositol tetraphosphate. Nature. 481, 335–340.
- Watson P.J., Millard C.J., Riley A.M., Robertson N.S., Wright L.C., Godage H.Y., Cowley S.M., Jamieson A.G., Potter B.V., Schwabe J.W. (2016) Insights into the activation mechanism of class I HDAC complexes by inositol phosphates. Nat. Commun. 7, 11262.
- Fernandez-Marcos P.J., Nóbrega-Pereira S. (2016) NADPH: new oxygen for the ROS theory of aging. Oncotarget. 7, 50814–50815.
- Moreno-Sánchez R., Marín-Hernández Á., Gallardo-Pérez J.C., Vázquez C., Rodríguez-Enríquez S., Saavedra E. (2018) Control of the NADPH supply and GSH recycling for oxidative stress management in hepatoma and liver mitochondria. Biochim. Biophys. Acta – Bioenerg. 1859, 1138–1150.
- Li W., Kou J., Qin J., Li L., Zhang Z., Pan Y., Xue Y., Du W. (2021) NADPH levels affect cellular epigenetic state by inhibiting HDAC3–Ncor complex. Nat. Metab. 3, 75–89.
- Boudreau H.E., Emerson S.U., Korzeniowska A., Jendrysik M.A., Leto T.L. (2009) Hepatitis C virus (HCV) proteins induce NADPH oxidase 4 expression in a transforming growth factor dependent manner: a new contributor to HCV-induced oxidative stress. J. Virol. 83, 12934–12946.
- Smirnova O.A., Ivanova O.N., Bartosch B., Valuev-Elliston V.T., Mukhtarov F., Kochetkov S.N., Ivanov A.V. (2016) Hepatitis C virus NS5A protein triggers oxidative stress by inducing NADPH oxidases 1 and 4 and cytochrome P450 2E1. Oxid. Med. Cell Longev. 2016, 1–10.
- Barbaro G., Lorenzo G.D., Ribersani M., Soldini M., Giancaspro G., Bellomo G., Belloni G., Grisorio B., Barbarini G. (1999) Serum ferritin and hepatic glutathione concentrations in chronic hepatitis C patients related to the hepatitis C virus genotype. J. Hepatol. 30, 774–782.
- Venturini D., Simão A.N.C., Barbosa D.S., Lavado E.L., Narciso V.E.S., Dichi I., Dichi J.B. (2009) Increased oxidative stress, decreased total antioxidant capacity, and iron overload in untreated patients with chronic hepatitis C. Dig. Dis. Sci. 55, 1120–1127.
- Razzaq Z., Malik A. (2014) Viral load is associated with abnormal serum levels of micronutrients and glutathione and glutathione-dependent enzymes in genotype 3 HCV patients. Biochim. Biophys. Acta Clin. 2, 72–78.
- Müller L., Hainberger D., Stolz V., Ellmeier W. (2018) NCOR1-a new player on the field of T cell development. J. Leukoc. Biol. 104, 1061–1068.
- Sun Z., Xu Y. (2020) Nuclear receptor coactivators (NCOAs) and corepressors (NCORs) in the brain. Endocrinology. 161, 1–12.
- Kong Y., Zhou W., Sun Z. (2020) Nuclear receptor corepressors in intellectual disability and autism. Mol. Psychiatry. 25, 2220–2236.
- Emmett M.J., Lazar M.A. (2019) Integrative regulation of physiology by histone deacetylase 3. Nat. Rev. Mol. Cell Biol. 20, 102–115.
- Wingelhofer B., Neubauer H.A., Valent P., Han X., Constantinescu S.N., Gunning P.T., Müller M., Moriggl R. (2018) Implications of STAT3 and STAT5 signaling on gene regulation and chromatin remodeling in hematopoietic cancer. Leukemia. 32, 1713–1726.
- Bottomley M.J., Lo Surdo P., Di Giovine P., Cirillo A., Scarpelli R., Ferrigno F., Jones P., Neddermann P., De Francesco R., Steinkuhler C., Gallinari P., Carfi A. (2008) Structural and functional analysis of the human HDAC4 catalytic domain reveals a regulatory structural zinc-binding domain. J. Biol. Chem. 283, 26694–26704.
- Park S.Y., Kim G.S., Hwang H.J., Nam T.H., Park H.S., Song J., Jang T.H., Lee Y.C., Kim J.S. (2018) Structural basis of the specific interaction of SMRT corepressor with histone deacetylase 4. Nucl. Acids Res. 46, 11776–11788.
- Park S.Y., Kim J.S. (2020) A short guide to histone deacetylases including recent progress on class II enzymes. Exp. Mol. Med. 52, 204–212.
- Zhuang S. (2013) Regulation of STAT signaling by acetylation. Cell. Signal. 25, 1924–1931.
- Yuan Z., Guan Y., Chatterjee D., Chin E. (2005) STAT3 dimerization regulated by reversible acetylation of a single lysine residue. Science. 307, 269–273.
- Yu J., Li Y., Ishizuka T., Guenther M.G., Lazar M.A. (2003) A SANT motif in the SMRT corepressor interprets the histone code and promotes histone deacetylation. EMBO J. 22, 3403–3410.
- Yoon H.G., Chan D.W., Huang Z.Q., Li J., Fondell J.D., Jun Qin J., Wong J. (2003) Purification and functional characterization of the human N-CoR complex: the roles of HDAC3, TBL1 and TBLR1. EMBO J. 22, 1336–1346.
- Yoon H.G., Choi Y., Cole P.A., Wong J. (2005) Reading and function of a histone code involved in targeting corepressor complexes for repression. Mol. Cell. Biol. 25, 324–335.
- Giraud S., Bienvenu F., Avril S., Gascan H., Heery D.M., Coqueret O. (2001) Functional interaction of STAT3 transcription factor with the coactivator NcoA/SRC1a. J. Biol. Chem. 277, 8004–8011.
- Xu J., Wu R.C., O’Malle B.W. (2009) Normal and cancer-related functions of the p160 steroid receptor co-activator (SRC) family. Nat. Rev. Cancer. 9, 615–630.
- Jopling C.L. (2008) Regulation of hepatitis C virus by microRNA-122. Biochem. Soc. Trans. 36, 1220–1223.
- Zhou Y., Wang Q., Yang Q., Tang J., Xu C., Gai D., Chen X., Chen J. (2018) Histone deacetylase 3 inhibitor suppresses hepatitis C virus replication by regulating Apo-A1 and LEAP-1 expression. Virol. Sin. 33, 418–428.
- Kim K., Lee Y., Jeong S., Kim D., Chon S., Pak Y. K., Kim S., Ha J., Kang I., Choe W. (2020) A small molecule, 4-phenylbutyric acid, suppresses HCV replication via epigenetically induced hepatic hepcidin. Int. J. Mol. Sci. 21(15), 5516.
- Kozlov M.V., Konduktorov K.A., Shcherbakova A.S., Kochetkov S.N. (2019) Synthesis of N′-propylhydrazide analogs of hydroxamic inhibitors of histone deacetylases (HDACs) and evaluation of their impact on activities of HDACs and replication of hepatitis C virus (HCV). Bioorg. Med. Chem. Lett. 29, 2369–2374.
- McClure J.J., Zhang C., Inks E.S., Peterson Y.K., Li J., Chou C.J. (2016) Development of allosteric hydrazide-containing class I histone deacetylase inhibitors for use in acute myeloid leukemia. J. Med. Chem. 59, 9942–9959.
- Malikova A.Z., Shcherbakova A.S., Konduktorov K.A., Zemskaya A.S., Dalina A.A., Popenko V.I., Leonova O.G., Morozov A.V., Kurochkin N.N., Smirnova O.A., Kochetkov S.N., Kozlov M.V. (2021) Pre-senescence induction in hepatoma cells favors hepatitis C virus replication and can be used in exploring antiviral potential of histone deacetylase inhibitors. Int. J. Mol. Sci. 22, 4559.
Supplementary files






