Phylogenetic structure of bacterioplankton in water bodies of the Kuibyshev Reservoir basin during the period of mass development of cyanobacteria
- Authors: Umanskaya M.V.1, Gorbunov M.Y.1
-
Affiliations:
- Samara Federal Research Center of the Russian Academy of Sciences
- Issue: Vol 93, No 6 (2024)
- Pages: 832-848
- Section: EXPERIMENTAL ARTICLES
- URL: https://journals.rcsi.science/0026-3656/article/view/276166
- DOI: https://doi.org/10.31857/S0026365624060139
- ID: 276166
Cite item
Full Text
Abstract
The phylogenetic structure of the bacterioplankton of the Usa Bay and the adjacent aquatory of the Kuibyshev Reservoir, as well as three hydrologically connected urban lakes of the Kaban system (Kazan), was analyzed using the results of high-throughput sequencing of the V3‒V4 hypervariable region of the 16S ribosomal RNA gene. In the studied water objects, mass cyanobacterial development was observed, dominated by members of the Aphanizomenon / Dolichospermum and Cyanobium phylogenetic lines and the genus Planktothrix. Alpha- and betaproteobacteria dominated in the heterotrophic bacterioplankton of all stations. A significant proportion of its composition was made up of mixotrophic bacteria with the rhodopsin type of photosynthesis (for example, Ca. Fonsibacter, Ca. Nanopelagicus, Ca. Planctophila). A characteristic feature of the studied samples is a high proportion of bacteria of PVC superphylum, especially Planctomycetota. An assessment was made of the dependence of the composition and structure of bacterioplankton on the composition of the dominant cyanobacterial complexes, and groups of heterotrophic bacteria associated with various cyanobacteria were identified. The most numerous group is formed around Aphanizomenon ‒ Dolichospermum ‒ Microcystis and mainly consists of bacteria that are part of the phycosphere of colonial cyanobacteria, as well as representatives of the PVC superphylum. Two small groups are formed around Limnothrix redekei and Cyanobium rubescens and consist of typical planktonic bacteria, belonging mainly to the order Flavobacteriales and the family Nanopelagicaceae.
Full Text
Бактерии являются одними из древнейших обитателей Земли, распространены повсеместно, участвуют в круговороте вещества и энергии в качестве первичных продуцентов, деструкторов органического вещества и ксенобиотиков. Большая их часть из природных местообитаний практически не поддается культивированию в лабораторных условиях и не имеет выраженных морфологических признаков, по которым можно определить их таксономическую принадлежность. Однако применение молекулярных методов, таких как ПЦР-амплификация гена 16S рРНК и секвенирование природной ДНК, позволило получить первую информацию о таксономическом составе “некультивируемого большинства” природных бактериальных сообществ (Amann et al., 1995; Zwart et al., 2002; Rappé, Giovannoni, 2003) и обнаружить не только несколько доминирующих, но и огромное число минорных и малочисленных видов, включая “темную микробную материю” (Galperin, 2007), что произвело своего рода революцию в микробной экологии.
Одной из групп “типичных пресноводных бактерий” являются цианобактерии, единственная группа царства бактерий, способная к оксигенному фотосинтезу. Во многих внутренних водоемах, особенно в подверженных интенсивному антропогенному воздействию, их развитие в летний период часто достигает масштабов цветений, видимых невооруженным взглядом (Huisman et al., 2018). В периоды цветения в результате физиологической активности цианобактерий, их лизиса и отмирания в водную среду выделяются значительные количества органических соединений, в т.ч. специфических вторичных метаболитов. Это формирует широкие экологические ниши для потребляющих эти соединения видов гетеротрофного бактериопланктона и других гетеротрофных планктонных организмов. Поскольку многие органические соединения, выделяемые в период цветений, таксон-специфичны, гипотеза о влиянии цветений разных видов цианобактерий на состав и структуру бактериопланктона высказывается многими авторами (например, Eiler, Bertilsson, 2004).
Цианобактериальные цветения широко распространены на территории всей Европы, в том числе на территории бассейна ее крупнейшей реки, Волги. Они обычны как в водохранилищах Волжского каскада, так и во многих озерах ее бассейна. Долговременные исследования цветения цианобактерий на территории Волжского бассейна, проведенные классическими “альгологическими” методами, позволили охарактеризовать их состав, типичные доминирующие виды и закономерности сезонной сукцессии, как в Куйбышевском водохранилище, так и в ряде водоемов на территории его водосборного бассейна (Паутова, Номоконова, 1994; Биоразнообразие и типология…, 2009; Горохова, 2012; Корнева, 2015).
Исследования бактериопланктона также проводились исключительно “классическим и” методами. Имеющиеся в базе данных NCBI результаты высокопроизводительного секвенирования бактериопланктона водоемов бассейна Волги были ограничены единственной пробой с неизвестным временем и местом отбора (SRR11126548), а также исследованиями трех озер системы Кабан (г. Казань) (Фролова и соавт., 2019), гидрологически связанных с рекой Казанкой, впадающей в Куйбышевское водохранилище.
В июне 2021 года мы провели исследование филогенетического состава бактериопланктона методом метабаркодирования гипервариабильного участка V3‒V4 гена 16S рРНК на шести станциях Усинского залива Куйбышевского водохранилища и прилегающей части его основной акватории, впервые получив данные о составе и разнообразии бактериопланктона акватории Куйбышевского водохранилища.
Цель данной работы – провести анализ структуры бактериопланктона исследованного участка Куйбышевского водохранилища и сравнить ее с имеющимися данными об озерах системы Кабан (г. Казань) для оценки ее вариабельности в зависимости от состава доминирующих комплексов цианобактерий.
МАТЕРИАЛЫ И МЕТОДЫ ИССЛЕДОВАНИЯ
Район исследований. Куйбышевское водохранилище – крупнейшее в каскаде водохранилищ Волги. Водохранилище делится на несколько плесов, нижним из которых является Приплотинный плес площадью 398 км2 (Куйбышевское водохранилище…, 2008). Справа к нему прилегает глубоко врезанный Усинский залив общей длиной около 50 км и шириной 0.5 ‒ 3.5 км, образованный затопленным участком долины реки Уса. Куйбышевское водохранилище является мезотрофно-эвтрофным, имеет умеренно минерализованную воду кальций-гидрокарбонатного типа, слабо выраженную стратификацию и относительно небольшой придонный кислородный дефицит (Куйбышевское водохранилище, 2008). Для него характерны регулярные и продолжительные цианобактериальные цветения (Паутова, Номоконова, 1994).
Верхний, Средний и Нижниий Кабан – три озера на территории г. Казани, образующие единую систему и гидрологически связанные с р. Казанка у ее впадения в р. Волгу. Площади озер – 0.23, 1.38 и 0.43 км2, максимальные глубины 13, 17 и 16 м. Озера системы Кабан имеют воду с повышенной минерализацией кальций-сульфатного типа, стратифицированы в летний период с гипоксическим придонным слоем (Биоразнообразие и типология…, 2009). Озера сильно антропогенно загрязнены и эвтрофированы, на них ежегодно наблюдаются интенсивные цианобактериальные цветения (Бариева и соавт., 2005, Горохова, 2014).
Отбор проб и высокопроизводительное секвенирование. Интегральные пробы воды на акватории Усинского залива и прилегающем участке Приплотинного плеса Куйбышевского водохранилища на шести станциях были отобраны в период 30.06.–05.07.2021 г. в стерильные пластиковые бутыли объемом 0.5 л. Дальнейшую обработку проб, выделение ДНК, подготовку ампликонных библиотек и парноконцевое секвенирование проводили, как описано в статье (Уманская и соавт., 2023а), но для амплификации вариабельного участка V3 ‒ V4 гена 16S рРНК использовали праймеры 341F (5ꞌ-CCTACGGGNGGCWGCAG-3ꞌ) и 805R (5ꞌ-GACTACHVGGGTATCTAATCC-3ꞌ) (Herlemann et al., 2011) со стандартными адаптерами Illumina. Полученные последовательности депонировали в NCBI Sequence Read Archive (биопроект PRJNA825541, номера SRX14816844-45 и SRX14816848-51).
Для сравнения с полученными данными были дополнительно использованы результаты секвенирования проб планктона, отобранных в июле 2016 и сентябре 2017 г. из озер системы Кабан, депонированные в NCBI под номерами SRR7510928; SRR7510929; SRR7510984; SRR7516240; SRR7516245 и SRR7516469. Эти исследования были выполнены коллективом исследователей Казанского государственного университета; методы отбора проб, их подготовки и высокопроизводительного секвенирования приведены в монографии Фроловой и соавт. (2019). Как и в нашей работе, для подготовки библиотек авторы использовали праймеры 341F и 805R (Herlemann et al., 2011). Даты и места отбора всех 12 проб представлены в табл. 1.
Таблица 1. Показатели разнообразия в проанализированных пробах
Проба | Число ридов | Число ОТЕ | Индекс | ||||
Код | Место отбора | Дата | Шеннона H2 (двоичный) | Выровненности Пиелу (E) | Обратный Симпсона (1/D) | ||
ST3 | Река Уса, у с. Шигоны | 05.07. 2021 | 56631 | 1849 | 8.10 | 0.746 | 58.2 |
ST4 | Усинский залив, пос. Миронов | 30.06. 2021 | 89324 | 1144 | 6.15 | 0.606 | 20.5 |
ST5 | Усинский залив, Междуреченск | 30.06. 2021 | 84009 | 1032 | 6.36 | 0.635 | 24.5 |
ST6 | Устье Усинского залива | 30.06. 2021 | 95390 | 888 | 6.57 | 0.670 | 36.1 |
ST7 | Куйбышевское вдхр., ниже устья залива | 05.07. 2021 | 82838 | 872 | 6.53 | 0.669 | 30.7 |
ST8 | Куйбышевское вдхр., у с. Березовка | 05.07. 2021 | 63020 | 713 | 6.69 | 0.706 | 44.6 |
UK1 | Оз. Верхний Кабан | 20.09.2016 | 167977 | 1071 | 5.73 | 0.569 | 17.7 |
UK3 | Оз. Верхний Кабан | 10.07.2017 | 97997 | 740 | 6.69 | 0.702 | 41.8 |
MK1 | Оз. Средний Кабан | 20.09.2016 | 37049 | 645 | 4.57 | 0.490 | 5.84 |
MK3 | Оз. Средний Кабан | 10.07.2017 | 67465 | 639 | 4.45 | 0.477 | 4.30 |
LK1 | Оз. Нижний Кабан | 20.09.2016 | 28295 | 370 | 2.42 | 0.284 | 1.84 |
LK2 | Оз. Нижний Кабан | 10.07.2017 | 104163 | 554 | 3.37 | 0.370 | 2.63 |
Вся библиотека | 974158 | 3031 | 7.06 | 0.611 | 30.9 | ||
Биоинформатическая обработка. Для получения материалов, пригодных для проведения сравнительного анализа, все 12 ампликонных библиотек были обработаны единообразно с помощью пакета USEARCH (Edgar, 2010) со стандартными параметрами, если не указано другое. Поскольку качество обратных чтений проб из озер системы Кабан оказалось низким, их последовательности были обрезаны справа до длины 220 нк, а прямые – до длины 280 нк с помощью опции-fastx_truncate. Сырые риды из Куйбышевского водохранилища и Усинского залива были использованы без предварительной обрезки. Парные чтения были объединены; полученные объединенные последовательности ориентированы с использованием RPB training set v.18 в качестве образца, и последовательности с неопознанной ориентацией (<0.2%) отброшены. Из оставшихся последовательностей были удалены участки, соответствующие прямому (17 нк) и обратному (21 нк) праймерам. Затем были удалены последовательности с ожидаемой общей ошибкой >1, а также имеющие длину менее 350 нуклеотидов. Полученная библиотека была дереплицирована с помощью команды usearch-fastx_uniques и кластеризована в отдельные оперативные таксономические единицы (ОТЕ) с порогом сходства 97% с помощью команды usearch-cluster_otus со стандартными параметрами. В результате было получено 4500 ОТЕ. Обратный поиск позволил отождествить с полученными ОТЕ 88.2% всех неотфильтрованных объединенных последовательностей.
Из общего списка ОТЕ были исключены синглтоны и дaблтоны, а оставшиеся ОТЕ дополнительно сканированы на химерные последовательности с помощью online сервиса Decifer; потенциально химерные последовательности были отбракованы. Оставшиеся последовательности были классифицированы с помощью online сервисов arb-silva (ACT, база данных Silva v. 138.1) и NBC RDP (база данных RDP v. 18). Были удалены все последовательности, отнесенные к археям, хлоропластам и митохондриям. Кроме того, мы исключили из библиотеки ОТЕ с последовательностью, полностью идентичной V3 ‒ V4-участку E. coli, которая в значительных количествах присутствовала в библиотеках из озер системы Кабан в 2017 г. Поскольку других признаков фекального загрязнения воды в полученных библиотеках не было обнаружено, присутствие этой ОТЕ, было, вероятно, связано с лабораторным загрязнением.
Статистическая обработка и визуализация данных проведены с помощью программ Excel 2013, PAST v4.16 и пакетов Vegan и Phyloseq в программной среде R.
РЕЗУЛЬТАТЫ
Общая характеристика филогенетической структуры бактериопланктона. В результате анализа в 12 исследованных пробах было выделено 3031 ОТЕ, объединяющих 974158 последовательностей. Согласно классификации Silva, в объединенной библиотеке присутствовали представители 34 филумов и филумов-кандидатов. Три из них, Proteobacteria s.str., Bacteroidota s.l. и Verrucomicrobiota s.l., составляли в сумме более 50% всех ОТЕ. Таксономическая структура отдельных проб (доли числа обнаруженных ОТЕ, принадлежащих к разным филумам) была относительно близкой (рис. 1a).
Рис. 1. Таксономическая структура отдельных проб: а – доли числа обнаруженных ОТЕ, принадлежащих к разным филумам; б – доля последовательностей, принадлежащих к разным филумам.
В то же время доля последовательностей, принадлежащих к тем или иным филумам (рис. 1б), существенно различалась от пробы к пробе. Доля шести филумов превышала 10% хотя бы в одной пробе: Cyanobacteriota и Proteobacteria – в 11 из 12 проб каждый, Actinomycetota, Verrucomicrobiota и Bacteroidota – в пяти пробах, и Planctomycetota – в единственной пробе, ST8.
Величины индекса разнообразия Шеннона в пробах из Куйбышевского водохранилища и Усинского залива колебались в пределах 6.15‒6.7; в пробах из озер Средний и особенно Нижний Кабан он был существенно ниже (~4.5 и 2.4‒3.4 соответственно; табл. 1).
На речной станции ST3 разнообразие было наибольшим, а в оз. В. Кабан – промежуточным между водохранилищем и двумя остальными озерами. Наблюдается высокая корреляция (R2 = 0.9515) между индексом Шеннона и интенсивностью развития цианобактерий (Cya/Bac, см. табл. 2), и несколько меньшая степенная корреляция между 1/D и Cya/Bac (R2 = 0.877).
Таблица 2. Индикаторы разнообразия и интенсивности развития фототрофных цианобактерий. Cya/(Cya + Chl) ‒ доля Oxyphotobacteria в суммарном количестве последовательностей Oxyphotobacteria и хлоропластов; Cya/Bac – доля цианобактерий в суммарном количестве последовательностей бактерий
Код пробы | ST3 | ST4 | ST5 | ST6 | ST7 | ST8 | U K 1 | U K 3 | M K 1 | M K 3 | L K 1 | L K 2 |
Число ОТЕ | 16 | 21 | 23 | 23 | 22 | 20 | 25 | 25 | 13 | 18 | 12 | 14 |
Cya/(Cya + Chl) | 13.5 | 82.4 | 87.8 | 92.4 | 88.7 | 64.1 | 99.7 | 96.8 | 98.1 | 98.2 | 91.3 | 84.3 |
Cya/Bac | 1.4 | 31.5 | 26.9 | 20.0 | 21.7 | 12.7 | 22.6 | 16.8 | 39.2 | 48.4 | 73.8 | 68.8 |
Индекс Бергера‒Паркера | 0.79 | 0.52 | 0.57 | 0.53 | 0.57 | 0.47 | 0.41 | 0.17 | 0.99 | 0.97 | 0.99 | 0.90 |
Индекс Шеннона (двоичн.) | 1.43 | 1.68 | 1.83 | 1.76 | 1.69 | 2.55 | 2.82 | 3.65 | 0.06 | 0.23 | 0.04 | 0.59 |
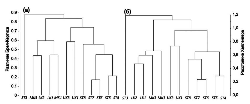
Кластерный анализ сообществ разных проб, проведенный с использованием количественной меры различия Брея‒Куртиса и расстояния Хеллингера, позволил выделить четыре кластера: 1 ‒ речной (проба ST3), 2 ‒ зону залива и водохранилище (пробы ST4‒ST8) (с заметным отличием ST8 от остальных), 3 ‒ оз. С. и Н. Кабан (пробы MK1, MK3, LK1 и LK2) и 4 – оз. В. Кабан (пробы UK1 и UK3), хотя порядок объединения этих кластеров зависел от использованной меры различия и метода кластеризации (рис. 2).
Рис. 2. Кластерный анализ различий в структуре сообществ бактерий исследуемых проб с помощью метода UPGA; а ‒ меры различия Брея‒Кертиса между векторами долей численностей ОТЕ; б ‒ расстояния Хеллингера.
Цианобактерии. Фототрофные цианобактерии, составлявшие лишь очень небольшую долю обнаруженных ОТЕ (39 ОТЕ в объединенной библиотеке и 11‒21 OTE в отдельных пробах), составляли, за исключением речной ST3, существенную, а в оз. Н. Кабан даже преобладающую часть всех последовательностей бактерий (табл. 2).
Поскольку по мере усиления развития цианобактерий численность гетеротрофного планктона также возрастает или как минимум не снижается, эти данные, вероятно, могут служить оценкой интенсивности развития цианобактерий. Судя по величинам соотношения численностей ридов Oxyphotobacteria и хлоропластов эукариотических водорослей (табл. 2), цианобактерии доминировали в фитопланктоне всех станций, за исключением ST3. Таким образом, цветение цианобактерий наблюдалось в 11 пробах из 12.
Развитие цианобактерий в исследованных пробах было очень контрастным. В озерах С. и Н. Кабан доля цианобактерий составляла более 39% всех бактериальных последовательностей; в оз. В. Кабан, Куйбышевском водохранилище и Усинском заливе она составляла от 12 до 30%, а в реке Уса ‒ менее 1.4% (табл. 2). При наибольшем количестве цианобактерий, озера С. и Н. Кабан отличались их наименьшим разнообразием и наибольшим доминированием (табл. 2). В них присутствовали 11‒13 ОТЕ, причем очень сильно (от 87.5 до >99.5% всех цианобактерий) доминировала единственная ОТЕ, KRB-1, с последовательностью, идентичной Planktothrix agardhii (Phormidiaceae: Oscillatoriales) (рис. 3).
Рис. 3. Структура основных ОТЕ цианобактерий в исследованных пробах. “Прочие” ‒ ОТЕ, ни в одной из проб не достигавшие 1% общей численности цианобактерий.
Напротив, в оз. В. Кабан доминирование было низким, а число обнаруженных ОТЕ наибольшим – 21 и 19, в пробах 2016 и 2017 г. соответственно. Состав цианобактерий в эти два года заметно различался (рис. 3). В 2016 г. здесь доминировал KRB-9, входящий в комплекс Limnothrix planctonica (Limnothrichaceae: Limnothrichales согласно классификации Silva; порядок, семейство и род CACIAM-69d в GTDB). В 2017 г. L. planctonica практически выпал из состава планктона, но в близких количествах развивались три ОТЕ: KRB-44 (Cyanobium rubescens (Prochlorococcaceae: Synechococcales)), KRB-12 (Limnothrix redekei/Pseudanabaena- кластер (Pseudanabaenaceae: Pseudanabaenales)) и KRB-40 (сем. Nodosilineaceae Strunecký and Mareš, 2023), составлявшие каждая 19‒22% всех цианобактериальных последовательностей (рис. 3). В оба года в этом озере в заметных количествах (10‒13%) присутствовал Aphanizomenon flos-aquae, а в 2017 г. и другие представители Nostocales: Cuspidothrix, Anabaenopsis, Raphidiopsis и Chrysosporum.
В пробах из Усинского залива и Куйбышевского водохранилища наблюдалась промежуточная ситуация: 13‒15 ОТЕ и доминирование на уровне 47‒57%. Доминирующая ОТЕ (KRB-3) имеет последовательность, идентичную Aphanizomenon flos-aquae. И, наконец, на речной станции, единственной, где последовательности эукариотических хлоропластов преобладали над цианобактериями, последние были представлены почти исключительно филотипом Cyanobium из подгруппы Cyanobium gracile PCC6307 (рис. 3).
В целом, в полученном списке ОТЕ цианобактерий преобладали представители сем. Aphani zomenonaceae (9 ОТЕ), представленные, в порядке убывания числа последовательностей, родами Aphanizomenon, Dolichospermum, Cuspidothrix, Anabaenopsis, Raphidiopsis и Chrysosporum, причем три последних были отмечены только в оз. В. Кабан. Пять ОТЕ принадлежали к Cyanobium-кластеру, четыре – к роду Chaemesip hon, и три – к сем. Nodosilineaceae. Интересно также обнаружение в оз. Н. Кабан ОТЕ, идентичной по последовательности Prochlorothrix hollandica PCC 9006T (вероятно, это первое обнаружение этого рода в Волжском бассейне), а в р. Уса – недавно описанной из Ладожского озера Altericista lacusladoga Averina et al., 2021.
Разнообразие цианобактерий, оцениваемое по индексу Шеннона, было очень низким. В пробах из оз. С. и Н. Кабан оно не превышало 0.4; в пробах из р. Уса, Усинского залива и большей части Куйбышевского водохранилища колебалось в пределах 1‒1.25 и лишь в пробах ST8 и из оз. В. Кабан составляло 1.65‒2.18. При этом за исключением речной станции, величина индекса Шеннона для цианобактерий в лотических пробах обратно коррелировала с их процентным вкладом в число последовательностей и поэтому оказывала очень высокое влияние на общее разнообразие сообщества.
Гетеротрофные бактерии. Из дальнейшего анализа исключены 39 ОТЕ, принадлежащих к Cyanobacteri a s.str., т.е. к классу Cyanobacteriia [= Oxyphotobacteria ], но не представители двух известных сегодня нефототрофных классов филума C yanobacteria, Sericytochromatia и Vampirivibrionia (= Melainabacteria), часто рассматриваемые как самостоятельные филумы. Все эти ОТЕ можно определить как гетеротрофные, учитывая, однако, что в их составе присутствуют многочисленные миксотрофные формы.
В составе гетеротрофного бактериопланктона всех проб преобладают α- и β-протеобактерии; доля γ-протеобактерий мала, и, за исключением проб ST3 и MK3, не превышает 5% от общей численности (рис. 4).
Рис. 4. Таксономическая структура гетеротрофного бактериопланктона в отдельных пробах на уровне классов: доля последовательностей, принадлежащих к разным таксонам.
Намного более существенный вклад вносят актинобактерии, в основном класс Actinobacteriia, однако на станциях озер системы Кабан, особенно летом 2016 г., заметную часть составляют и Acidimicrobiia. Велик также вклад V errucomicrobiota, особенно на ST6‒ST8 акватории Куйбышевского водохранилища. Среди других филумов можно отметить также Planctomycetota, особенно класс Planctomycetia, доля которых на станциях Усинского залива и Куйбышевского водохранилища приближается к 10%. Значительно и суммарное обилие Bacteroidetes s.str., но оно в большей или меньшей степени распределено по пяти классам этого филума, каждый из которых достигает заметных количеств, >5%, только в одной‒двух пробах, и только Flavobacteriia – в четырех (рис. 4). Остальные классы имеют еще меньшее значение: так, доля Blastocatellula (Acidobacteriota) и Poliangia (Mixococcota) превышает 1% на станциях водохранилища и залива, но они почти отсутствуют в р. Уса и озерах системы Кабан; распределение Anaerolineae (Chloroflexota) почти противоположно. Oligoflexia (Bdellovibrionota), составляющие около 3% последовательностей в пробе LK3, минорны во всех остальных пробах. В вариации долей Phici sphaerae (Planctomycetota) и Vampirovibrionota (= Melainabacteriia, Cyanobacteria) не наблюдается очевидной закономерности (рис. 4).
Доминирующие ОТЕ гетеротрофных бактерий. В качестве доминирующих мы рассматриваем ОТЕ, доля которых в общем количестве нецианобактериальных последовательностей по крайней мере в одной из проб превышает 1%. Общее число таких ОТЕ составило 84, причем лишь 27 из них присутствуют во всех пробах, и ни в одной из проб не обнаружены все доминирующие ОТЕ. В сумме доминирующие ОТЕ составляют не менее 60% всех последовательностей, за исключением пробы ST3, где их сумма составила менее 41%. Только у одной ОТЕ, KRB-4, относительная численность превышает 1% во всех пробах, но 15 из них имеют среднюю относительную численность более 1%. Таксономическая принадлежность этих ОТЕ по классификатору Silva и наиболее близкие последовательности, определенные до вида, в базе данных NT NCBI показаны в табл. 3.
Таблица 3. Таксономическая принадлежность доминирующих ОТЕ гетеротрофных бактерий
ОТЕ | Таксономическая принадлежность (по классификатору ARB- Silva) | Ближайший культивируемый вид или вид-кандидат | Сходство | Код Genbank |
KRB-2 | Proteobacteria: Alphaproteobacteria: Ca. Pelagibacterales: Clade III | Ca. Fonsibacter ubiquis LSUCC0530 | 100 | CP024034 |
KRB-4 | Actinobacteriota: Actinobacteria: Frankiales: Sporichthyaceae | Ca. Planktophila vernalis MMS-IIA-15 | 98.03 | CP016776 |
KRB-5 | Actinobacteriota: Actinobacteria: Frankiales: Sporichthyaceae: hgcI clade | Ca. Nanopelagicus limnes MMS-21-122, Ca. Nanopelagicus abundans MMS-IIB-91 | 100 | CP016768 CP016779 |
KRB-7 | Verrucomicrobiota: Verrucomicrobiae: Chthoniobacterales: Terrimicrobiaceae: Terrimicrobium | Terrimicrobium sacchariphilum NM-5 | 93.6 | NR_133878 |
KRB-11 | Actinobacteriota: Acidimicrobiia: Microtrichales: Ilumatobacteraceae: CL500-29 | Ilumatobacter fluminis WaFiHa-786 | 94.31 | MT825235 |
KRB-18 | Proteobacteria: Alphaproteobacteria: Acetobacterales: Acetobacteraceae: Roseomonas | Roseomonas vinacea M2-9 | 96.27 | MN968958 |
KRB-26 | Verrucomicrobiota: Verrucomicrobiae: Chthoniobacterales: Chthoniobacteraceae: LD29 | Prosthecobacter dejongeii CG69 | 85.65 | OK513264 |
KRB-30 | Proteobacteria: Gammaproteobacteria: Burkholderiales: Comamonadaceae: Limnohabitans | Limnohabitans planktonicus Rim42, Limnohabitans parvus II-B4 | 98.83 | HE600685 NR_125542 |
KRB-8 | Proteobacteria: Alphaproteobacteria: Sphingomonadales: Sphingomonadaceae: Sphingorhabdus | Sphingorhabdus planktonica 21YS05S-0R27 Sphingorhabdus rigui HME8676 | 100 | MZ976831 KC157048 |
KRB-22 | Actinobacteriota: Actinobacteria: Frankiales: Sporichthyaceae: hgcI clade | Ca. Planktophila sulfonica MMS-IA-56 | 100 | CP016773 |
KRB-10 | Proteobacteria: Gammaproteobacteria: Nitrosomonadales: Nitrosomonadaceae: Ellin6067 | Usitatibacter palustris Swamp67 | 93.68 | NR_181165 |
KRB-13 | Verrucomicrobiota: Verrucomicrobiae: Verrucomicrobiales: Rubritaleaceae: Luteolibacter | Luteolibacter gellanilyticus CB-286403 | 96.49 | NR_158117 |
KRB-14 | Verrucomicrobiota: Verrucomicrobiae: Verrucomicrobiales: Verrucomicrobiaceae: Prosthecobacter | Prosthecobacter vanneervenii DSM 12252 | 97.89 | AJ966883 |
KRB-51 | Proteobacteria: Gammaproteobacteria: Burkholderiales: Burkholderiaceae: Polynucleobacter | Polynucleobacter acidiphobus HIN8 | 99.77 | AB599871 |
KRB-17 | Actinobacteriota: Actinobacteria: Frankiales: Sporichthyaceae: hgcI clade | Acidothermus cellulolyticus 11B | 91.65 | NR_074501 |
В ряде случаев сходство выделенных нами ОТЕ с ближайшим по последовательности валидным видом или видом-кандидатом составляет <99%. Однако в этих случаях в базе данных NCBI и базе геномов (GTDB) присутствуют последовательности 16S рРНК некультивируемых клонов, выделенных из природной среды с почти полным сходством (табл. 4).
Таблица 4. Ближайшие последовательности 16S рРНК в базе полных геномов (GTDB) и некультивируемых клонов в базе Genbank (NCBI)
ОТЕ | Ближайшая последовательность в базе GTDB | Сходство | Шифр Genbank | Место выделения | Ближайший (один из) некультивируемый клон | Сходство | Шифр Genbank | Место выделения |
KRB-4 | Nanopelagicaceae: Planktophila sp015660815 | 98. 51 | GCA_015660815 | США, East River | Ca. Planktophila sp. IMCC27705 | 100 | MT656636 | Корея, пресные воды |
KRB-7 | Terrimicrobiaceae: UBA967 sp018402345 | 98.24 | GCA_018402345 | Россия, оз. Шунет | L ake bacterium P38.12 | 100 | AY752089 | Франция, оз. Павен |
KRB-11 | Ilumatobacteraceae: BACL27 sp003569125 | 94.53 | GCA_003569125 | Япония, оз. Бива | Actinobacterium T016 | 100 | JN634169 | США, пресноводное водохранилище |
KRB-18 | Acetobacteraceae: Roseomonas B sp020250005 | 100 | GCA_020250005 | США, оз. Шамплейн, колония Microcystis | B acterium clone AB_03_142 | 100 | KC666988 | Франция, оз. Вильре (Villerest) |
KRB-26 | Chthoniobacterales: JACTMZ01: JACTMZ01 sp018883245 | 98.80 | GCA_018883245 | Бразилия, озерная вода | B acterium clone NN83 | 99.77 | JN869104 | Китай, оз. Тайху |
KRB-10 | Usitatibacteraceae: UKL13-2 sp001602455 | 100 | GCA_001602455 | США, оз. Upper Klamath, колония Aphanizomenon | Beta proteobacterium clone LiUU-9-233 | 100 | AY509483 | Швеция, оз. Лиммарен |
KRB-13 | Akkermansiaceae: Luteolibacter sp018969605 | 100 | GCA_018969605 | Китай, речная вода, загрязненная шахтными стоками | Bacterium clone Nan153 | 100 | JN941870 | Китай, оз. Наньху |
KRB-14 | Verrucomicrobiaceae: Prosthecobacter sp016713245 | 99.77 | GCA_016713245 | Дания, активный ил | Bacterium clone M0509_89 | 99.77 | EU104166 | Новая Зеландия, активный ил |
KRB-17 | Nanopelagicales: UBA5976: _ATZT02 sp.014190035 | 100 | GCA_014190035 | Япония, оз. Бива | B acterium clone C-104 | 100 | KC836023 | Китай, оз. Тайху |
Таксономически в составе доминантов преобладают протеобактерии (25 ОТЕ, в т.ч. 11 α- и 12 β-протеобактерий (Burkholderiales). За ними следуют Verrucomicrobiota (16 ОТЕ), Bacteroidetes (15 ОТЕ), Actinobacteria (11) и Planctomycetota (8). Vampirivibrionot a представлены 3 ОТЕ, Patescibacteria – 2, Acidobacterota, Kapabacteria, Oligofle xia и Chloroflexota – по единственной ОТЕ. Большинство доминирующих актинобактерий входят в отр. Ca. Nanopelagicales (6 ОТЕ) и сем. Ilumatobacteraceae (отр. Acidimicrobiales, 4 ОТЕ), еще одна ОТЕ принадлежит к Luna-кластеру в сем. M icrobacteriaceae. Семь из 15 ОТЕ Bacteroidetes принадлежат к отр. Flavobacteriales, причем пять из них – к р. Flavobacterium; еще четыре к отр. Chitinophagales и по две – к Cytophagales и Sphingobacteriales.
Половина доминирующих ОТЕ в типе Planctomycetota принадлежит к типовому сем. Planctomycetaceae. ОТЕ KRB-38, очень отдаленно сходная с Fuerstiella marisgermanici NH11 (Planktomycetota: Rubinisphaeraceae = Planctomycetaceae s.str.), оказалась идентичной по последовательности участку 16S рРНК из метагенома Planctomyces bekefii phe10_nw2017 (GCA_007922685.1); еще одна ОТЕ, KRB-34, была сходна с ним на 96,9%, и, вероятно, принадлежит другому виду Planctomyces s.str.; две остальных ОТЕ наиболее близки к gtdb-роду JACQFH01, геномы которого выделены из активного ила и подземных вод. Наиболее близкими к ним из культивируемых видов являются (пресноводные) представители рр. Planctopirus и Schlesneria. Еще две ОТЕ принадлежат к Pirellulaceae, и по одной – к Isosphaerales и Phycisphaerales SM1A 02 (=CL500-3, “Ca. Nemodlikiaceae”).
В составе Verrucomicrobiota присутствуют ОТЕ отрядов Chthoniobacterales (= Terrimicrobiales García-Ló pez et al. 2020), Methylacidiphilales, Opitutales, Pedosphaerales (= Limisphaerales Podosokorskaya et al. 2023) и Verrucomicrobiales.
Анализ распределения доминирующих ОТЕ гетеротрофных бактерий в отдельных пробах с помощью кластерного анализа с использованием в качестве меры сходства хордового расстояния (Legendre, Gallagher, 2001) позволил разделить доминирующие ОТЕ на кластеры, преимущественно развивающиеся в разных группах проб (рис. 5).
Рис. 5. Результаты двустороннего (two-way) кластерного анализа доминирующих ОТЕ гетеротрофных бактерий по доле численности с использованием хордового расстояния в качестве меры сходства. Справа – консенсусная таксономическая принадлежность ОТЕ по базам данных ARB-Silva и GTDB. Трехбуквенные обозначения филумов/классов: ACI – ацидобактерии; ACT – актинобактерии; BAC – Bacteroidota;BDE – Bdellovibrionota = Oligoflexota;CFL – Chloroflexota;KAP – Kapabacterota;PAT – Patescibacteria;PLA – Planctomycetota;a-, b-, и g-PRO – протеобактерии; VAM – Vampirovibryonota;VER – Verrucomicrobiota.
Кластер А (рис. 5) объединяет пробы залива и водохранилища, в которых в составе цианобактерий доминировал A. flos-aquae (рис. 3). 18 из 33 ОТЕ этого кластера принадлежат к PVC-су перфилуму: 12 – к Verrucomicrobiota и 6 – к Planctomycetota. Этот кластер делится на три подкластера, различающихся по географическому положению проб. Подкластер А1 состоит из 10 ОТЕ, восемь из которых относятся к различным отрядам и семействам Verrucomicrobiota, а две оставшихся – к Planctomycetota, сем. Planctomycetaceae и отр. Isosphaerales.
Среди ОТЕ подкластера А2 по одной ОТЕ принадлежали к Acidomicrobiota (KRB-21) и Planctomycetaceae: Planctomycetota (KRB-38) с последовательностью, идентичной P. bekefii. Еще три ОТЕ принадлежали к Verrucomicrobiota, и одна – к классу Alphaproteobacteria (группа Roseomonas). Зоной их преимущественного развития было устье Усинск ого залива и основная акватория водохранилища (пробы ST6 и ST7).
ОТЕ подкластера А3 характерны для центральной части залива (пробы ST4 и ST5), где в период наших наблюдений происходило наиболее интенсивное развитие A. flos-aquae. В этих пробах относительно высокое развитие получают такие ОТЕ, как KRB-10 (Betaproteobacteria) и KRB-23 (Bacteroidetes: Sphingobacteriales: NS 11-12). В эту же группу входит OTE-34, принадлежащий к р. Planctomyces s.str. (сходство с P. bekefii – 96.9%).
Кластер Б (рис. 5) образуют ОТЕ, преимущественно развивающиеся в озерной системе Кабан. Объединение проб в этом кластере имеет “лестничный” характер с значительными различиями между всеми пробами. ОТЕ кластера Б делятся на пять подкластеров, четыре из которых (подкластеры Б1‒Б4) приурочены каждый к 1‒2 пробам. Так, подкластер Б1 образован ОТЕ, преимущественно развивающимися в пробе LK2 (оз. Н. Кабан, 2017 г.) или в пробе MK3 (оз. С. Кабан, 2017 г.). Пять ОТЕ этого кластера принадлежат к некультивируемым формам, ближайшие аналоги которых выделяются именно из различных водных объектов. Однако протеобактерии KRB-52, 69, 102 и 113 (соответственно, комплекс Acinetobacter baumannii / pittii / calcoaceticum, Comamonas testosteroni / thiooxidans, Delftia sp. и Ralstonia pickettii), хотя и спорадически отмечаются в планктоне озер, более характерны для почв и клинического материала.
ОТЕ подкластеров Б-2 и Б-3 приурочены, преимущественно, к пробам из оз. В. Кабан (рис. 5). В пробе UK1 (2016 г.), с доминированием KRB-9 (Limnothrix planctonica), преимущественное развитие получили ОТЕ подкластера Б3, в частности, KRB-42 (Methylacidiphilaceae: Verrucomicrobiales) и KRB-25 (Ilumatibacteraceae CL500-29: Acidimicrobiia: Actinomycetota). В этой пробе, кроме того, наблюдалась наибольшая (23.3%) доля главного доминанта среди гетеротрофных бактерий, KRB-2 (Fonsibacter: Pelagibacteraceae: Alfaproteobacteria). В 2017 г. структура бактериопланктона в этом озере значительно изменилась; сходство Брея‒Куртиса между пробами UK1 и UK3 составляет только 0.4. Среди цианобактерий доминирование от KRB-9 перешло к KRB-12, KRB-40 и KRB-44 (рис. 3). Состав гетеротрофного планктона также значительно изменился; в нем получили наибольшее развитие ОТЕ кластера Б2 (рис. 5). Две из них принадлежат к роду Sediminibacterium (Chitinophagales: Bacteroidetes), KRB-46 и KR B-27, еще две – к некультивируемым таксонам Verrucomicrobiota и одна – к сем. Pirellulaceae: Planctomycetota. Здесь же в число доминантов вошел единственный представитель Patescibacteria, KRB-132. ОТЕ подкластера Б4 в той или иной степени приурочены к единственной пробе LK1 (Н. Кабан, 2016 г.). К нему, однако, принадлежит и главный гетеротрофный доминант в озерах системы Кабан, KRB-2 (Fonsibacter).
Подкластер Б5 объединяет ОТЕ, развивающиеся во всех пробах системы Кабан и в части проб водохранилища. Более половины ОТЕ, входящих в этот подкластер – пресноводные актинобактерии отр. Nanopelagicales (5 ОТЕ) и Ilumatobacterales СК500-13 (Acidomicrobiia, 2 ОТЕ). Еще одна ОТЕ принадлежит к отр. Caldilineales (Anaerolineae: Chloroflexota), и четыре – к протеобактериям, в частности, KRB-16 (Ca. Methylopumilus: Betaproteobacteria) и KRB-51 (Polynucleobacter: Betaproteobacteria).
По составу гетеротрофных бактерий резко выделяется речной участок (ст. ST3, кластер В, рис. 5). В этой пробе очень невелика доля цианобактерий (рис. 1, табл. 2), представленных в основном Cyanobium gracile (KRB-66) (рис. 4). Кластер B объединяет десять ОТЕ-доминантов, отсутствующих или слабо представленных практически во всех остальных пробах (рис. 5). Наиболее многочисленная ОТЕ из этого кластера – KRB-30 (Limnohabitans planktonicus), причем в реке ее доля более чем вдвое больше, чем в остальных пробах.
Связи между доминирующими видами цианобактерий и ОТЕ гетеротрофных бактерий. По данным неметрического шкалирования (рис. 6) доминирующие ОТЕ прокариот разбиваются на пять группировок.
Рис. 6. Неметрическое шкалирование доминирующих ОТЕ по величинам несходства Брея‒Кертиса. Темно-серыми овалами показаны визуально выделяемые группировки ОТЕ.
В четыре из них входит хотя бы одна ОТЕ цианобактерий. Цианобактерии KRB-3 (A. flos-aqua), KRB-15 (Dolichospermum) и KRB-33 (M. aeruginosa) образуют тесную группировку, окруженную многочисленными ОТЕ гетеротрофных бактерий, в том числе входящими в фикосферу Aphanizomenon и Microcystis (KRB-10, KRB-23 и KRB-18) и обогащенную представителями PVC-надфилума. Еще одна группировка формируются вокруг ОТЕ KRB-44 (C. rubescens) и KRB-40 (Nodosilineaceae) и включает в себя три ОТЕ актинобактерий сем. Nanopelagicaceae и три представителя Bacteroidetes. KRB-12 (L. redekei / Pseudanabaena) и связанная с ней нефототрофная цианобактерия KRB-37 (Vampirovibrionales) также формируют достаточно плотную группировку, включающую 3 ОТЕ актинобактерий, 2 – Bacteroidetes и KRB-2 (Fonsibacter), основного доминанта озер системы Кабан. В отличие от них, небольшая очень “рыхлая” визуально группа, сформированная вокруг KRB-1 (P. agardhii) лишена облигатно планктонных представителей, зато включает ОТЕ KRB-52 (Acinetobacter), KRB-69 (Comamonas testosteroni) и KRB-181 (Legionella), имеющих определенное клиническое значение.
ОБСУЖДЕНИЕ
Филогенетическая структура бактериопланктона исследованных водоемов бассейна Средней Волги является, в целом, типичной для пресных континентальных водоемов (Zwart et al., 2002; Newton et al., 2011; Chiriac et al., 2023). Основной вклад в нее по числу последовательностей вносили цианобактерии, протеобактерии, актинобактерии и бактерии PVC-суперфилума, причем протеобактерии, Bacteroidota и Verrucomicrobiota преобладали и по числу ОТЕ (рис. 1). Высокая доля бактерий PVC-суперфилума, Verrucomicribiota и особенно Planctomycetota, является характерной особенностью исследованных проб.
Среди цианобактерий в исследованных водоемах преобладали представители рода Planktothrix (Microcoleaceae: Oscillatoriales), а также филогенетических линий A phanizomenon / Dolichospermum (Aphanizomenonaceae) и Cyanobium (Prochlorococcaceae). К числу субдоминантов принадлежали мелкие безгетероцистные нитчатые цианобактерии: Pseudanabaena, Limnothrix, Geitlerinema, Leptolyngbia и др. Эти филогенетически далекие формы довольно близки по экологическим потребностям и в функциональной классификации фитопланктона (Reynolds et al., 2002) объединяются вместе с Planktothrix в функциональную группу (кодон) S1.
Заметную долю гетеротрофных бактерий во всех пробах составляли миксотрофные бактерии с родопсиновым типом фотосинтеза (Pitt et al., 2019; Mondav et al., 2020; Chiriac et al., 2023), как, например, Ca. Fonsibacter, Ca. Methylopumilus, Ca. Nanopelagicus, Ca. Planctophila и виды Luna-кластера, а также аэробные аноксигенные хлорофототрофные бактерии, как, например, Limnohabitans (Kasalický et al., 2018) и некоторые другие протеобактерии.
Представленные данные указывают на значительные вариации состава сообществ планктонных бактерий и позволяют разделить весь массив данных на 4 группы (рис. 3): речной участок, представленный пробой S3, акваторию Приплотинного плеса и Усинского залива Куйбышевского водохранилища (пробы S4‒S8, с заметным отличием ST8 от остальных), озеро Верхний Кабан (пробы UK1 и UK3) и озера Средний и Нижний Кабаны (остальные пробы).
Лотическая станция (ST3) наиболее сильно отклоняется по составу бактериопланктона от всех остальных станций (рис. 3‒5). В ней очень невелика доля цианобактерий (рис. 1а), которые представлены в основном ОТЕ кластера Cyanobium gracile (рис. 4). Она отличается очень большим числом уникальных ОТЕ, отсутствующих во всех остальных пробах (549), которое более чем в 4 раза превышает число уникальных ОТЕ в остальных пробах, изменяющееся от 3 на ст. LK-1 до 126 на ст. MK-3. Cреди ОТЕ, доминирующих на этой станции, присутствуют не только близкие к выделенным из потамопланктона (KRB-29, Aquirufa antheringensis и KRB-314, Rhodoferax bucti) или из почвы/водоносных горизонтов (KRB-36, Novosphingobium subterraneum), но и такие считающиеся лимнопланктонными виды, как Limnohabitans planktonicus, L. australis и Rhodoluna limnophila (KRB-30, KRB-4207 и KRB-128). Последовательности, включенные в KRB-128 (Luna-кластер), присутствовали также в озерах системы Кабан, но детальный анализ показал, что в них они были представлены последовательностями, близкими или идентичными Ca. Aquiluna (не показано).
На всех лентических станциях в момент отбора проб происходило цветение цианобактерий. Это ярко иллюстрируется как долей последовательностей цианобактерий в пробах, так и отношением числа последовательностей Oxyphotobacteria к числу хлоропластных последовательностей (табл. 2). Последний показатель может служить грубым индикатором доли цианобактерий в фитопланктоне, несмотря на то, что число копий рибосомного оперона в хромосоме (Schirrmeister et al., 2012), плоидность (Griese et al., 2011), а также число хлоропластов в клетках эукариотических водорослей (Karlusich et al., 2023) варьирует в широких пределах как от вида к виду, так и в течение жизненного цикла. В пробах из Усинского залива и Приплотинного плеса цветение цианобактерий подтверждается микроскопически (Уманская и соавт., 2023б). К сожалению, в озерах системы Кабан синхронные микроскопические данные, насколько нам известно, отсутствуют.
При этом пробы трех лентических групп существенно различаются по составу цианобактерий. В озерах С. и Н. Кабан доля последовательностей цианобактерий была наибольшей, однако из-за экстремально сильного доминирования единственной ОТЕ, KRB-1 (P. agardhii) наблюдалось наименьшее разнообразие. В оз. В. Кабан доминирование было низким, а число обнаруженных ОТЕ цианобактерий – наибольшим. При этом доминирующая в 2016 г. ОТЕ, KRB-9 (L. planctonica), в 2017 г. практически выпала из состава планктона, а в состав доминантов вошли три ОТЕ: KRB-44 (Cyanobium rubescens), KRB-12 (Limnothrix redekei / Pseudanabaena- кластер) и KRB-40 (сем. Nodosilineaceae Strunecký and Mareš, 2023. Доминирование KRB-44, принадлежащего к преимущественно металимническому и фикоэритрин-синтезирующему субальпийскому-1 комплексу (Callieri et al., 2012),позволяет высказать осторожное предположение, что незадолго до отбора произошла заметная эрозия металимниона озера. В целом, во всех озерах Кабан доминировали различные представители функционального комплекса S1. Необходимо отметить, что в конце XX века в озерах Кабан наблюдались цветения A. flos-aqua и Microcystis aeruginosa (Бариева и соавт., 2 005), но уже в 2011 г. в них приобрели доминирующее положение цианобактерии функционального комплекса S1, преимущественно P. agardhii (Горохова, 2012). ОТЕ, доминирующая в пробах из Усинского залива и Куйбышевского водохранилища (KRB-3), имеет последовательность, идентичную Aphanizomenon flos-aquae. По данным многолетних микроскопических наблюдений, этот вид преобладает в начальной фазе, а часто и в течение всего периода летнего цианобактериального цветения в Куйбышевском водохранилище (Паутова, Номоконова, 1994; Корнева, 2015). Значительная часть гетеротрофных видов-доминантов, выделенных в нашем исследовании, имеют некультивируемые аналоги, выделенные из воды озер с “цветением” цианобактерий. Это, например, клоны из озер КНР, оз. Бива (Япония), а также GCA_020250005 из колонии Microcystis и UKL13-2 из колонии Aphanizomenon flos-aqua (Driscoll et al., 2017) (табл. 4).
Характерной чертой всех станций залива и водохранилища, в которых в составе цианобактерий доминировал A. flos-aquae, является высокая доля представителей PVC-суперфилума в составе гетеротрофного бактериопланктона. Это, видимо, отражает весьма благоприятные условия для развития этой группы либо в водохранилище вообще, либо в исследованный период времени, что подтверждается и повышенной долей этой группы на всех станциях водохранилища и залива (рис. 1б). Они были наиболее сильно представлены в пробе ST8, расположенной выше устья Усинского залива. Причина настолько сильной таксономической селективности этой станции непонятна; возможно, она связана с гидротехническими работами при строительстве моста через водохранилище выше по течению. В устье Усинского залива и основной акватории водохранилища (пробы ST6 и ST7, подкластер А2) преимущественное развитие получила ОТЕ KRB-38 с последовательностью, идентичной P. bekefii. Этот вид тесно ассоциирован с цветением цианобактерий (Fuerst, 1995), хотя не входит в фикосферу какого-либо вида. На станциях центральной части Усинского залива (пробы ST4 и ST5) в период наших наблюдений происходило наиболее интенсивное развитие A. flos-aquae. В этих пробах относительно высокое развитие получили такие ОТЕ, как KRB-10 и KRB-23, которые идентичны последовательностям UKL13-2 и UKL13-3, ассоциированным с колониями A. flos-aquae (Driscoll et al., 2017); несколько других ОТЕ оказались близки к последователь ностям, так или иначе ассоциированным с цветением Microcystis.
Состав гетеротрофного бактериопланктона в пробах из озер Кабан с цветением цианобактерий комплекса S1 значительно отличался от водохранилища, однако различия между отдельными пробами из озер были высокими и не зависели от доминирующего вида цианобактерий (рис. 5). Во всех пробах системы Кабан и в части проб водохранилища в больших количествах присутствовал KRB-2, Ca. Fonsibacter ubiquis (Ca. Pelagibacterales: Alphaproteobacteria), а также несколько эупланктонных актинобактерий отр. Nanopelagicales и Ilumatobacterales и бетапротеобактерий, входящих в подкластер Б5 на рис. 5. Одной из характерных ОТЕ является, например, метилотроф KRB-16, Ca. Methylopumilus planctonicus (Betaproteobacteria), наиболее интенсивно развивавшийся в пробе S8 водохранилища и пробе MK3 (оз. С. Кабан). Этот вид характерен для многих стратифицированных озер, однако интересно отметить, что его развитие в Цюрихском озере было ассоциировано с металимническим цветением Planktothrix rubescens (Salcher et al., 2015).
Отличие состава и структуры бактериопланктона озер Кабан от водохранилища может быть связано с различными гидрологическими и гидрохимическими условиями, однако, поскольку в пробах озер Кабан не обнаружено повышенного обилия известных видов-индикаторов повышенной минерализации, микроаэробных и анаэробных видов, то этот фактор, вероятно, не имеет большого значения. Более существенным фактором может быть интенсивное антропогенное загрязнение озер Кабан (и особенно оз. С. Кабан) с окружающей городской территории, именно с которым может быть связано присутствие в составе доминантов проб LK2 и MK3 протеобактерий, близких к опортунистическим патогенам и обитателям почв, и лишь спорадически отмечающихся в планктоне озер.
Определенное воздействие на результаты могло оказать также некоторое различие в методах отбора проб. Использование в озерах системы Кабан при отборе проб сети Апштейна (Фролова и соавт., 2019), которая, хотя и не задерживает подавляющую часть бактериопланктона, безусловно, концентрировала метазоопланктон, крупные протисты и массивные колонии фитопланктона (в том числе, цианобактерии Microcystis и Aphanizomenon) вместе с ассоциированными с ними бактериями. О возможном влиянии концентрирования зоопланктона может свидетельствовать некоторое обогащение проб из озер Кабан ОТЕ, принадлежащими к отр. Ricketsiales (0.789% против 0.278% в реке и водохранилище).
Однако все полученные нами данные явно указывают на существование различных комплексов гетеротрофных бактерий, ассоциированных с теми или иными ОТЕ цианобактерий. Характерно, что в состав крупной ассоциации с цианобактериями KRB-3 (A. flos-aqua), KRB-15 (Dolichospermum) и KRB-33 (M. aeruginosa) вошли не только ОТЕ, входящие в фикосферу Aphanizomenon и Microcystis, но и значительное число свободноживущих представителей PVC-надфилума. Компактные ассоциации, формирующиеся вокруг ОТЕ KRB-44 (C. rubescens) + KRB-40 (Nodosilineaceae) и KRB-12 (L. redekei/Pseudanabaena), состоят из типичных планктонных бактерий, выделенных преимущественно из аэробного слоя пресных озер. Однако группа гетеротрофных бактерий, связанная с P. agardhii, лишена облигатно планктонных представителей. Складывается ощущение, что массовое развитие P. agardhii оказывает ингибирующее действие на большинство типичных организмов пресноводного бактериопланктона.
Таким образом, различия в составе “цветущего” комплекса цианобактерий сопровождаются столь же заметными различиями в составе гетеротрофного бактериопланктона. Часть из ОТЕ, тесно ассоциированных с определенными видами цианобактерий, весьма вероятно, входят в состав их фикосферы (как, например, KRB-10 и KRB-23), но большинство других, вероятно, являются свободноживущими, как, например, ОТЕ, принадлежащие к сем. Nanopelagicaceae, Comanonadaceae или р. Planctomyces s.str. Поэтому, несмотря на то что полученные данные не являются однозначным доказательством причинно-следственной связи между составом цианобактерий и гетеротрофного планктона, авторы считают, что развитие тех или иных видов цианобактерий является одним из существенных факторов, влияющим на состав бактериопланктона изученного района.
БЛАГОДАРНОСТИ
Авторы благодарят неизвестного рецензента за его конструктивные комментарии и предложения, которые позволили значительно улучшить текст рукописи.
ФИНАНСИРОВАНИЕ РАБОТЫ
Исследование выполнено за счет гранта Российского научного фонда № 23-14-20005, https://rscf.ru/project/23-14-20005.
СОБЛЮДЕНИЕ ЭТИЧЕСКИХ СТАНДАРТОВ
Настоящая статья не содержит результатов исследований с использованием животных в качестве объектов.
КОНФЛИКТ ИНТЕРЕСОВ
Авторы заявляют, что у них нет конфликта интересов.
About the authors
M. V. Umanskaya
Samara Federal Research Center of the Russian Academy of Sciences
Author for correspondence.
Email: mvumansk67@gmail.com
Institute of Ecology of the Volga Basin of the Russian Academy of Sciences
Russian Federation, Togliatti, 445003M. Yu. Gorbunov
Samara Federal Research Center of the Russian Academy of Sciences
Email: mvumansk67@gmail.com
Institute of Ecology of the Volga Basin of the Russian Academy of Sciences
Russian Federation, Togliatti, 445003References
- Бариева Ф. Ф., Халиулина Л. Ю., Мингазова Н. М., Фитопланктон городских водоемов и водотоков // Экология города Казани / Казань: Изд-во “Фэн” АН РТ, 2005. С. 236‒247.
- Биоразнообразие и типология карстовых озер Среднего Поволжья. Под ред. Мингазовой Н. М. Казань: Казанский гос. ун-т, 2009. 225 с.
- Горохова О. Г. Фитопланктон озерной системы Кабан в 2011 году // Георесурсы. 2012. Т. 7. № 49. С. 24‒28.
- Корнева Л. Г. Фитопланктон водохранилищ Волги. Кострома: Костромской печатный дом, 2015. 284 с.
- Паутова В. Н., Номоконова В. И. Продуктивность фитопланктона Куйбышевского водохранилища. Тольятти: ИЭВБ РАН, 1994. 188 с.
- Куйбышевское водохранилище (научно-информационный справочник). Под ред. Розенберга Г. С., Выхристюк Л. А. Тольятти: ИЭВБ РАН, 2008. 124 с.
- Уманская М. В., Горбунов М. Ю., Быкова С. В., Тарасова Н. Г. Разнообразие и трансформация сообщества планктонных пресноводных протистов в эстуарной зоне притока крупного равнинного водохранилища: метабаркодинг гена 18s-рибосомной РНК // Известия РАН. Сер. биол. 2023а. № 4. С. 426‒443.
- Umanskaya M. V., Gorbunov M. Y., Bykova S. V., Tarasova N. G. Diversity and transformation of the community of planktonic freshwater protists in the estuarine tributary zone of a large plainland reservoir: metabarcoding of the 18S ribosomal RNA gene // Biol. Bull. 2023a. V. 50. P. 707‒723.
- Уманская М. В., Горбунов М. Ю., Краснова Е. С., Тарасо ва Н. Г. Сравнительный анализ структуры сообщества цианобактерий участка равнинного водохранилища по результатам микроскопического учета и 16S-метабаркодирования // Биосфера. 2023б. Т. 15. С. 246‒260.
- Фролова Л. Л., Свердруп А. Э., Маланин С. Ю., Деревенская О. Ю., Хусаинов А. М., Харченко А. М. Метагеном гидробионтов озер Кабан города Казани: анализ видового разнообразия гидробионтов по маркерным генам. Казань: Казанский (Приволжский) федеральный университет, 2019. 218 с.
- Amann R. I., Ludwig W., Schleifer K. H. Phylogenetic identification and in situ detection of individual microbial cells without cultivation // Microbiol. Rev . 1995. V. 59. P. 143‒169.
- Callieri C., Cronberg G., Stockner J. G. Freshwater Picocyanobacteria : single cells, microcolonies and colonial forms // Ecology of Cyanobacteria II: Their diversity in space and time / Ed. Whitton B. A. Dordrecht: Springer Netherlands, 2012. P. 229‒269.
- Chiriac M. C., Haber M., Salcher M. M. Adaptive genetic traits in pelagic freshwater microbes // Environ. Microbiol . 2023. V. 25. P. 606‒641.
- Driscoll C. B., Otten T. G., Brown N. M., Dreher T. W. Towards long-read metagenomics: complete assembly of three novel genomes from bacteria dependent on a diazotrophic cyanobacterium in a freshwater lake co-culture // Stand. Genomic Sci. 2017. V. 12. https://doi.org/10.1186%2Fs40793-017-0224-8
- Edgar R. C. Search and clustering orders of magnitude faster than BLAST // Bioinform. 2010. V. 26. P. 2460‒2461.
- Eiler A., Bertilsson S. Composition of freshwater bacterial communities associated with cyanobacterial blooms in four Swedish lakes // Environ. Mircobiol . 2004. V. 6. P. 1228–1243.
- Fuerst J. A. The planctomycetes: emerging models for microbial ecology, evolution and cell biology // Microbiology (Reading). 1995. V. 141. P. 1493‒1506.
- Galperin M. Y. Dark matter in a deep-sea vent and in human mouth // Environ. Mircobiol. 2007. V. 9. P. 2385‒2391.
- Griese M., Lange C., Soppa J. Ploidy in cyanobacteria // FEMS Microbiol. Lett. 2011. V. 323. P. 124‒131.
- Herlemann D. P., Labrenz M., Jürgens K., Bertilsson S., Waniek J. J., Andersson A. F. Transitions in bacterial communities along the 2000 km salinity gradient of the Baltic Sea // ISME J. 2011. V. 5. P. 1571‒1579.
- Huisman J., Codd G. A., Paerl H. W., Ibelings B. W., Verspagen J. M., Visser P. M. Cyanobacterial blooms // Nat. Rev. Microbiol. 2018. V. 16. P. 471‒483.
- Karlusich J. J.P., Pelletier E., Zinge L., Lombard F., Zingone A., Colin S., Gasol J. M., Dorrell R. G., Henry N., Scalco E., Acinas S. G., Wincker P., de Vargas C., Bowler C. A robust approach to estimate relative phytoplankton cell abundances from metagenomes // Mol. Ecol. Resour. 2023. V. 23. P. 16‒40.
- Kasalický V., Zeng Y., Piwosz K., Šimek K., Kratochvilová H., Koblížek M . Aerobic anoxygenic photosynthesis is commonly present within the genus Limnohabitans // Appl. Environ. Microbiol. 2018. V. 84. Art. e02116-17.
- Legendre P., Gallagher E. D. Ecologically meaningful transformations for ordination of species data // Oecologia. 2001. V. 129. P. 271‒280.
- Mondav R., Bertilsson S., Buck M., Langenheder S., Lindström E. S., Garcia S. L. Streamlined and abundant bacterioplankton thrive in functional cohorts // mSystems. 2020. V. 5. Art. e00316-20.
- Newton R. J., Jones S. E., Eiler A., McMahon K.D., Bertilsson S . A guide to the natural history of freshwater lake bacteria // MMBR. 2011. V. 75. P. 14‒49.
- Pitt A., Schmidt J., Koll U., Hahn M. W. Rhodoluna limnophila sp. nov., a bacterium with 1.4 Mbp genome size isolated from freshwater habitats located in Salzburg, Austria // Int. J. Syst. Evol. Microbiol. 2019. V. 69. P. 3946‒3954.
- Rappé M. S., Giovannoni S. J. The uncultured microbial majority // Annu. Rev. Microbiol. 2003. V. 57. P. 369‒394.
- Reynolds C. S., Huszar V., Kruk C., Naselli-Flores L., Melo S. Towards a functional classification of the freshwater phytoplankton // J. Plankt. Res. 2002. V. 24. P. 417‒428.
- Salcher M. M., Neuenschwander S. M., Posch T., Pernthaler J . The ecology of pelagic freshwater methylotrophs assessed by a high-resolution monitoring and isolation campaign // ISME J. 2015. V. 9. P. 2442–2453.
- Schirrmeister B. E., Dalquen D. A., Anisimova M. Bagheri H. C., Gene copy number variation and its significance in cyanobacterial phylogeny // BMC Microbiol. 2012. V. 12. Art. 177.
- Zwart G., Crump B. C., Kamst-van Agterveld M. P., Hagen F., Han S. K. Typical freshwater bacteria: an analysis of available 16S rRNA gene sequences from plankton of lakes and rivers // Aquat. Microb. Ecol. 2002. V. 28. P. 141‒155.
Supplementary files








