Quorum Sensing in Chromobacterium subtsugae (Previously – C. violaceum) Is Inhibited by Gamma-Lactones, the Minor Components of Eucalyptus Leaf Extract
- Authors: Inchagova K.S.1, Duskaev G.K.1, Deryabin D.G.1
-
Affiliations:
- Federal Scientific Center for Biological Systems and Agrotechnologies, Russian Academy of Sciences
- Issue: Vol 92, No 1 (2023)
- Pages: 47-56
- Section: EXPERIMENTAL ARTICLES
- URL: https://journals.rcsi.science/0026-3656/article/view/138168
- DOI: https://doi.org/10.31857/S0026365622600626
- EDN: https://elibrary.ru/NMRUHT
- ID: 138168
Cite item
Full Text
Abstract
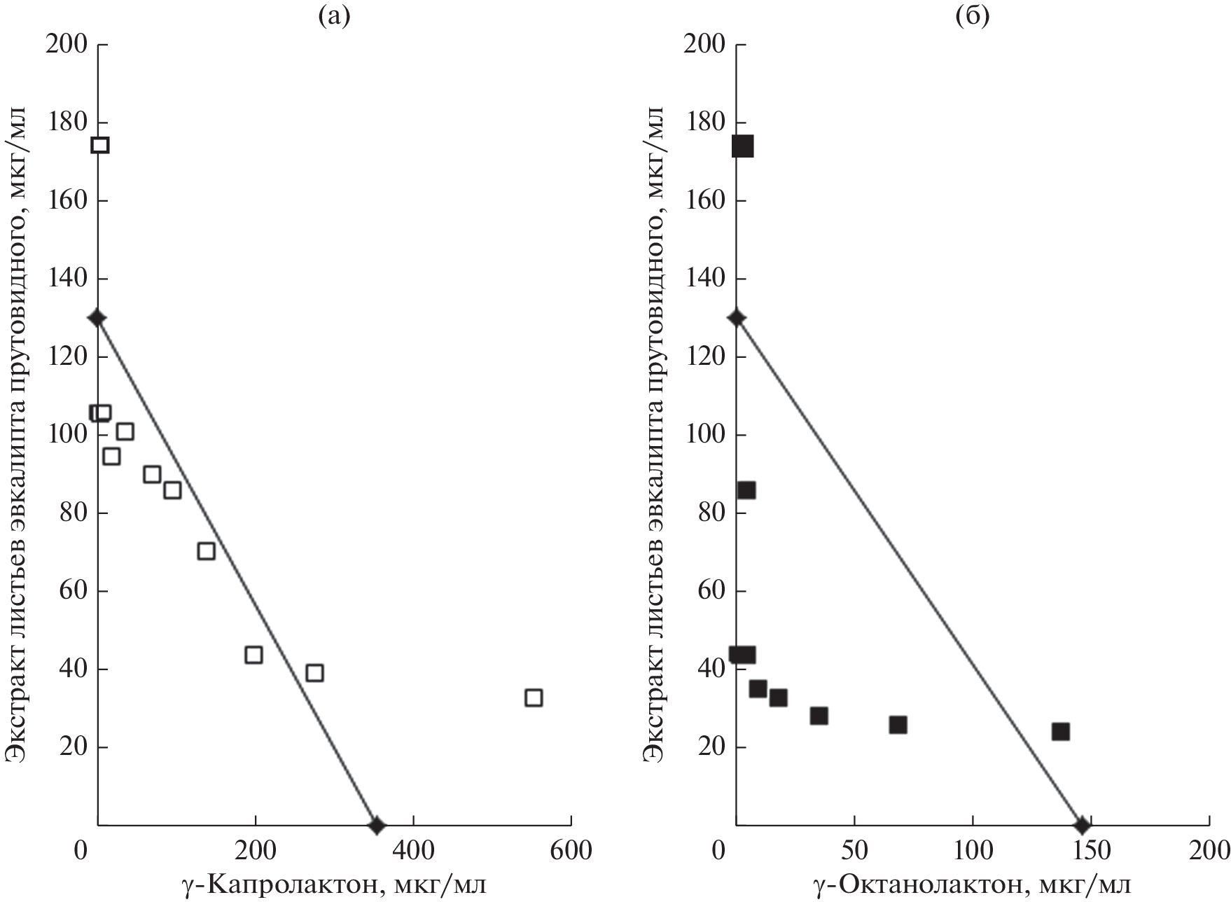
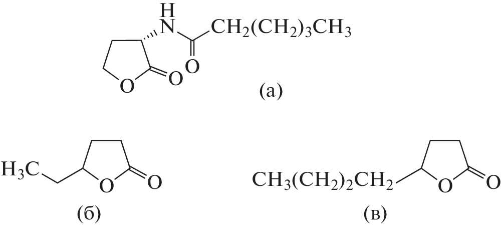
Abstract—The goal of the study was to investigate the mechanism of quorum sensing (QS) inhibition in the model bacterium Chromobacterium subtsugae 026 (previously – C. violaceum 026) by Eucalyptus viminalis Labill leaf extract, and to identify the plant-derived components that provide this biological activity. The raw extract showed pronounced anti-QS activity within a broad concentrations range which were an order of magnitude lower than required for bacterial growth suppression (the MIC50/EC50 ratio of 43.6). Chemical analysis of the extract revealed six small plant-derived molecules: pyrogallol, 2,3-dihydro-3,5-dihydroxy-6-methyl-4H-pyran-4-1, p-cymene, 4-((1E)-3-hydroxy-1-propenyl)-2-methoxyphenol, gallic and palmitic acids, whose inhibitory effect on QS in Chromobacterium spp. has previously been shown by in vitro experiments or predicted by in silico models. In addition, minor components γ-caprolactone and γ-octanolactone, structurally similar to acylated homoserine lactones, QS autoinducers in Chromobacterium spp., were found in the extract. Chemically synthesized analogs of these molecules showed anti-QS activity in the C. subtsugae 026 bioassay (ЕС50 = 354.2 and 145.6 µg/mL, respectively). Enrichment of the E. viminalis leaf extract with γ-caprolactone or γ-octanolactone significantly increased the anti-QS activity of these compositions, which was determined by isobolographic analysis as additive or superadditive effects.
About the authors
K. S. Inchagova
Federal Scientific Center for Biological Systems and Agrotechnologies, Russian Academy of Sciences
Email: dgderyabin@yandex.ru
Russia, 460000, Orenburg
G. K. Duskaev
Federal Scientific Center for Biological Systems and Agrotechnologies, Russian Academy of Sciences
Email: dgderyabin@yandex.ru
Russia, 460000, Orenburg
D. G. Deryabin
Federal Scientific Center for Biological Systems and Agrotechnologies, Russian Academy of Sciences
Author for correspondence.
Email: dgderyabin@yandex.ru
Russia, 460000, Orenburg
References
- Дерябин Д.Г., Галаджиева А.А., Косян Д.Б., Дускаев Г.К. Растительные ингибиторы плотностно-зависимой коммуникации у бактерий: разнообразие структур, механизмов действия и источников происхождения // Микробиология. 2021. Т. 90. С. 660–680.
- Deryabin D.G., Galadzhieva A.A., Kosyan D.B., Duskaev G.K. Plant-derived inhibitors of density-dependent communication in bacteria: diversity of structures, bioactivity mechanisms, and sources of origin // Microbiology (Moscow). 2021. V. 90. P. 702–720.
- Инчагова К.С., Дускаев Г.К., Дерябин Д.Г. Подавление “кворум сенсинга” Chromobacterium violaceum при воздействии комбинаций амикацина с активированным углем или малыми молекулами растительного происхождения (пирогаллолом и кумарином) // Микробиология. 2019. Т. 88. С. 72–82.
- Inchagova K.S., Duskaev G.K., Deryabin D.G. Quorum sensing inhibition in Chromobacterium violaceum by amikacin combination with activated charcoal or small plant-derived molecules (pyrogallol and coumarin) // Microbiology (Moscow). 2019. V. 88. P. 63–71.
- Ahmad A., Viljoen A.M., Chenia H.Y. The impact of plant volatiles on bacterial quorum sensing // Lett. Appl. Microbiol. 2015. V. 60. P. 8–19.
- Bali E.B., Turkmen K.E., Erdonmez D., Saglam N. Comparative study of inhibitory potential of dietary phytochemicals against quorum sensing activity of and biofilm formation by Chromobacterium violaceum 12472, and swimming and swarming behaviour of Pseudomonas aeruginosa PAO1 // Food Technol. Biotechnol. 2019. V. 57. P. 212–221.
- Borges A., Serra S., Cristina Abreu A., Saavedra M.J., Salgado A., Simoes M. Evaluation of the effects of selected phytochemicals on quorum sensing inhibition and in vitro cytotoxicity // Biofouling. 2014. V. 30. P. 183–195.
- Defoirdt T., Pande G.S., Baruah K., Bossier P. The apparent quorum-sensing inhibitory activity of pyrogallol is a side effect of peroxide production // Antimicrob. Agents Chemother. 2013. V. 57. P. 2870–2873.
- Dereli F.T.G., Onem E., Arin E., Ozaydin A.G., Muhammed M.T. Persea americana Mill.: as a potent quorum sensing inhibitor of Pseudomonas aeruginosa PAO1 virulence // Int. J. Second. Metabol. 2022. V. 9. P. 14–26.
- Deryabin D.G., Tolmacheva A.A. Antibacterial and anti-quorum sensing molecular composition derived from Quercus cortex (Oak bark) extract // Molecules. 2015. V. 20. P. 17093–17108.
- Harrison A.M., Soby S.D. Reclassification of Chromobacterium violaceum ATCC 31532 and its quorum biosensor mutant CV026 to Chromobacterium subtsugae // AMB Express. 2020. V. 10. P. 202.
- Kothari V., Sharma S., Padia D. Recent research advances on Chromobacterium violaceum // Asian Pac. J. Trop. Med. 2017. V. 10. P. 744–752.
- Labuda I. Flavor compounds // Encyclopedia of Microbiology. 3rd ed. / Editor-in-Chief: Schaechter M. Oxford: Academic Press, 2009. P. 305–320.
- Mashamba T.G., Adeosun I.J., Baloyi I.T., Tshikalange E.T., Cosa S. Quorum sensing modulation and inhibition in biofilm forming foot ulcer pathogens by selected medicinal plants // Heliyon. 2022. V. 8. P. e09303.
- McClean K.H., Winson M.K., Fish L., Taylor A., Chhabra S.R., Camara M., Daykin M., Lamb J.H., Swift S., Bycroft B.W., Stewart G.S.A.B., Williams P. Quorum sensing and Chromobacterium violaceum: exploitation of violacein production and inhibition for the detection of N-acylhomoserine lactones // Microbiology (Reading). 1997. V. 143. P. 3703–3711.
- Moradi F., Hadi N., Bazargani A. Evaluation of quorum-sensing inhibitory effects of extracts of three traditional medicine plants with known antibacterial properties // New Microbes New Infect. 2020. V. 38. P. 100769.
- Mukherjee S., Bassler B.L. Bacterial quorum sensing in complex and dynamically changing environments // Nat. Rev. Microbiol. 2019. V. 17. P. 371–382.
- Ni N., Choudhary G., Li M., Wang B. Pyrogallol and its analogs can antagonize bacterial quorum sensing in Vibrio harveyi // Bioorg. Med. Chem. Lett. 2008. V. 18. P. 1567–1572.
- Remy B., Mion S., Plener L., Elias M., Chabriere E., Daude D. Interference in bacterial quorum sensing: a biopharmaceutical perspective // Front. Pharmacol. 2018. V. 9. P. 203.
- Sagar P.K., Sharma P., Singh R. Inhibition of quorum sensing regulated virulence factors and biofilm formation by E-ucalyptus globulus against multidrug-resistant Pseudomonas aeruginosa // J. Pharmacopuncture. 2022. V. 25. P. 37–45.
- Santos C.A, Lima E.M.F., Franco B.D.G.M., Pinto U.M. Exploring phenolic compounds as quorum sensing inhibitors in foodborne bacteria // Front. Microbiol. 2021. V. 12. P. 735931.
- Stauff D.L, Bassler B.L. Quorum sensing in Chromobacterium violaceum: DNA recognition and gene regulation by the CviR receptor // J. Bacteriol. 2011. V. 193. P. 3871–3878.
- Swem L.R., Swem D.L., O’loughlin C.T., Gatmaitan R., Zhao B., Ulrich S.M., Bassler B.L. A quorum-sensing antagonist targets both membrane-bound and cytoplasmic receptors and controls bacterial pathogenicity // Mol. Cell. 2009. V. 35. P. 143–153.
- Tallarida R.J. An overview of drug combination analysis with isobolograms: perspectives in pharmacology // Pharmacol. Exp. Ther. 2006. V. 319. P. 1–7.
- Tolmacheva A.A., Rogozhin E.A., Deryabin D.G. Antibacterial and quorum sensing regulatory activities of some traditional Eastern-European medicinal plants // Acta. Pharm. 2014. V. 64. P. 173–186.
- Tor E.R., Francis T.M., Holstege D.M., Galey F.D. GC/MS determination of pyrogallol and gallic acid in biological matrices as diagnostic indicators of oak exposure // J. Agric. Food Chem. 1996. V. 44. P. 1275–1279.
- Vargas E.L.G., de Almeida F.A., de Freitas L.L., Pinto U.M., Vanetti M.C.D. Plant compounds and nonsteroidal anti-inflammatory drugs interfere with quorum sensing in Chromobacterium violaceum // Arch. Microbiol. 2021. V. 203. P. 5491–5507.
- Whiteley M., Diggle S.P., Greenberg E.P. Progress in and promise of bacterial quorum sensing research // Nature. 2017. V. 551. P. 313–320.
- Zhou L., Zhang Y., Ge Y., Zhu X., Pan J. Regulatory mechanisms and promising applications of quorum sensing-inhibiting agents in control of bacterial biofilm formation // Front. Microbiol. 2020. V. 11. P. 589640.
Supplementary files











