Investigation of photonic curing mechanisms of sol-gel zinc oxide films for flexible electronics
- Authors: Pronin I.А.1, Komolov A.S.2, Lazneva Е.F.2, Moshnikov V.А.3, Karmanov A.A.1, Yakushova N.D.1
-
Affiliations:
- Penza State University
- Saint Petersburg State University
- Saint Petersburg Electrotechnical University
- Issue: Vol 70, No 1 (2025)
- Pages: 126-132
- Section: НАНОМАТЕРИАЛЫ, КЕРАМИКА
- URL: https://journals.rcsi.science/0023-4761/article/view/286309
- DOI: https://doi.org/10.7868/S3034551025010178
- EDN: https://elibrary.ru/IRZPGJ
- ID: 286309
Cite item
Abstract
Photoannealing is a technological method that allows replacing the final high-temperature treatment of metal oxide sol-gel films with a combination of soft heating and ultraviolet irradiation. It has been established that an increase in temperature during heat treatment of the sol deposited on the substrate leads to the conversion of zinc acetate into layered basic zinc acetate (LBZA), which is transformed into hydroxide Zn(OH)2, which passes into amorphous oxide ZnO. It is shown that when heated to 130°C, parallel irradiation of films with UV radiation promotes the direct transition of LBZA into oxide due to the effective removal of hydroxyl and acetate groups. When the temperature is increased to 140°C, UV irradiation of films loses its expediency, since both photoannealing and heat treatment lead to identical properties of the studied materials.
Full Text
Введение
Полупроводниковые оксиды металлов (ПОМ) – группа материалов, находящих широкое применение в электронике. Например, оксид олова – основной материал для изготовления чувствительных элементов хеморезистивных газовых сенсоров [1]; твердый раствор оксидов олова и индия – прозрачный проводящий материал, применяемый как электрод жидкокристаллических и сенсорных экранов [2]; тонкие пленки и наноструктуры оксида цинка используют для изготовления варисторов [3], тонкопленочных прозрачных транзисторов [4], биосенсоров [5]. Существует большое количество способов формирования пленочных структур ПОМ, включающих в себя как физические (метод магнетронного распыления, термовакуумное напыление), так и химические (например, золь-гель, спрей-пиролиз) методы. Важной особенностью обеих групп методов является высокотемпературное (как правило, при 400°С и более) воздействие на подложку. В группе вакуумных методов поток материала осаждается на предварительно разогретую подложку; в химических методах для формирования полупроводникового слоя применяют финишную термическую обработку, при которой соли и гидроксиды металлов превращаются в оксиды. Это существенно ограничивает использование ПОМ в гибкой и эпидермальной электронике, где применяют термопластичные подложки с низкими температурами плавления (например, полиэтилентерефталат, Тпл ~ 260°С [6]; полиэтиленнафталат, Тпл ~ 280°С [7]). В связи с этим подход, впервые предложенный в 2012 г. [8], заключающийся в трансформации золь-гель-пленок в полупроводниковые оксиды под воздействием УФ-излучения при относительно невысоком дополнительном нагреве (сегодня в литературе используют термины “фотоотжиг” и “фотонное отверждение”), представляет большой интерес для гибкой электроники. Эта технология в разнообразных ее модификациях используется для изготовления гибких тонкопленочных транзисторов [9, 10], газовых сенсоров [11, 12], солнечных элементов [13, 14], гибких светодиодов на квантовых точках [15]. Тем не менее сегодня отсутствуют фундаментальные физико-химические представления о формировании оксидных слоев в процессе фотонного отверждения [16]. Доказано только, что фотоотжиг позволяет сформировать более плотную металлооксидную сетку, эффективно удалить органические примеси и улучшить электропроводность [17]. Известно, что энергии ультрафиолетовых фотонов достаточно для разрыва химических связей в золь-гель-системах, и численное моделирование показывает снижение температур отверждения при комбинированной УФ- и термической обработке пленок [18]. Однако вклад термо- и фотохимических процессов в итоговый результат сложно дифференцировать, поскольку процессы фотоотжига протекают одновременно и неотделимо друг от друга. Имеющиеся в литературе данные позволяют только сказать о практически полной идентичности пленок, полученных классическим высокотемпературным отжигом и фотоотжигом. Например, в [8] показаны практически одинаковые фазовый и химический составы пленок твердого раствора оксидов цинка, галлия и индия, полученных классическим золь-гель-методом при температуре отжига 350°С и фотоотжигом с дополнительным нагревом до 150°С. Данные исследований физико-химических процессов в промежуточном диапазоне температур не приведены.
В настоящей работе впервые решается задача дифференциации термо- и фотохимических вкладов в процессы отверждения и формирования полупроводника золь-гель-пленок на основе оксида цинка. Для этого на основе массива экспериментальных данных подобрана удельная энергия УФ-излучения обработки, позволяющая обеспечить полупроводниковый тип поглощения оптического излучения полученными пленками в узком диапазоне температур при отдельно взятых комбинированной (УФ + термической) и термической обработках.
Методика эксперимента
Для приготовления золя использовали следующую методику. На первом этапе происходило растворение двуводного ацетата цинка в смеси 2-метоксиэтанола и 2-аминоэтанола (все реактивы Sigma-Aldrich®, Saint Louis, MO, USA) в течение 15 мин при комнатной температуре. В дальнейшем золь перемешивался в течение 1 ч при температуре 60°С и созревал в течение 24 ч при комнатной (~25°С) температуре. Золь наносили на кремниевые (КЭФ15) и кварцевые (КУ-1) подложки методом центрифугирования со скоростью 3000 об./мин в течение 60 с с последующей сушкой при 90°С в течение 1 ч в воздушной атмосфере. Финишная обработка образцов была двух типов: термическая и комбинированная (ультрафиолетовая + термическая). Термическая обработка происходила при температурах 120, 130 и 140°С (образцы 120(Т), 130(Т) и 140(Т) соответственно) на лабораторной плите ПЛ-01 (ООО “НПП “ТОМЬАНАЛИТ”, Россия) в течение 90 мин. Комбинированную обработку проводили при тех же температурах, дополнительно пленку облучали линейной УФ-лампой мощностью 8 Вт с максимумами излучения при 185 и 254 нм (WL 2001, тип лампы T5 G5, Camelion, Китай) (образцы 120(Т+UV), 130(Т+UV) и 140(Т+UV)); расстояние от лампы до поверхности пленки составляло 20 мм.
Фазовый состав образцов был исследован на рентгеновском дифрактометре D8 Discover (Bruker) с источником излучения CuKα (λ = 0.15406 нм) в диапазоне 2θ 4°–64°.
Химический состав поверхности полученных образцов анализировали с помощью рентгеновской фотоэлектронной спектроскопии (РФЭС). РФЭ-спектры измеряли в условиях сверхвысокого вакуума (10−7 Па) с использованием спектрометра Escalab 250Xi (Thermo Fisher Scientific Inc., Уолтем, Массачусетс, США) с энергией фотонов AlKα = = 1486 эВ. Деконволюцию пиков РФЭС проводили с помощью вычитания фона Ширли с последующей подгонкой пиков функцией Войта. Для удаления поверхностного загрязнения, связанного с атмосферными адсорбатами, поверхность пленок мягко протравливали ионами Ar+ с током 1 мкА в течение 30 с. Энергетическая шкала спектрометра была откалибрована с использованием очищенной распылением поверхности Au в качестве эталона, так что энергия связи пика Au4f7/2 была установлена на уровне 84.0 эВ.
Спектры поглощения всех образцов на кварцевой подложке были сняты в диапазоне 190–1100 нм на спектрофотометре СФ-56 (АО “ЛОМО”, Россия) и перестроены в координатах Тауца [19].
Результаты и их обсуждение
На рис. 1 представлены дифрактограммы всех серий образцов. На дифрактограмме образца 120(Т) можно четко идентифицировать три рефлекса 001, 002 и 003 при 2θ = 6.0°, 12.2° и 18.2° соответственно. Эти рефлексы соответствуют слоистому основныму ацетату цинка (Layered Basic Zinc Acetate – LBZA, Zn5(CH3COO)8(OH)2 · 2H2O) [20]. LBZA – промежуточный продукт перехода ацетата цинка в оксид в растворах. В процессе созревания золя происходит замещение ацетатных групп группами OH, а всю схему превращений в ZnO обычно представляют в упрощенном виде [21]:
Рис. 1. Дифрактограммы образцов золь-гель-пленок оксида цинка. На вставке – кристаллическая структура LBZA.
Кристаллическая структура LBZA представлена на вставке рис. 1. В ней три из пяти катионов цинка окружены шестью гидроксильными группами в конфигурации октаэдра. Два оставшихся катиона цинка располагаются выше и ниже пустого октаэдра в центре тетраэдра, вершинами которого выступают две гидроксильные группы и одна молекула воды. Ацетат-ионы интеркалированы между слоями. Преобразование LBZA в ZnO происходит путем последовательного удаления молекул воды (~70°С), гидроксильных групп (~120°С) и ацетат-ионов (~130–350°C) [22].
Межслоевое расстояние в LBZA для образца 120(Т), рассчитанное по уравнению Вульфа–Брэгга, составляет 1.47 нм. Расчет средних размеров областей когерентного рассеяния (ОКР) образца по уравнению Шерера [23] дал значение DLBZA = 8.5 нм (табл. 1), что позволяет говорить о среднем числе пять–шесть слоев в одной наночастице.
Таблица 1. Параметры образцов
Образец | DLBZA, нм | ΔEg, эВ | |||
120(Т) | 8.5 | 0.18 | 0.30 | 0.29 | |
120(Т+UV) | 5.8 | 0.10 | 0.50 | 0.39 | |
130(Т) | 3.9 | 0.07 | 0.50 | 0.41 | |
130(Т+UV) | 3.32 | 0.05 | 0.65 | 0.44 | |
140(Т) | 3.27 | 0.05 | 0.63 | 0.45 | |
140(Т+UV) | 3.27 | 0.05 | 0.65 | 0.45 |
Комбинированная обработка при 120°С (образец 120(T+UV)) не приводит к появлению новых рефлексов, но к их существенному уширению по сравнению с образцом 120(T): происходит аморфизация фазы LBZA, а размер ОКР уменьшается до 5.8 нм, что соответствует в среднем четырем слоям в одной наночастице. Дифрактограмма образца 130(T) содержит лишь сильно уширенный (ширина на половине высоты 2.04°) рефлекс 001 LZBA. Рассчитанный средний размер ОКР составил 3.9 нм (соответствует двум–трем слоям). Все остальные образцы (130(Т+UV), 140(Т), 140(Т+UV)) оказались рентгеноаморфными, и дифрактограммы не содержали рефлексов каких-либо фаз, что говорит о трансформации LZBA в другие химические соединения.
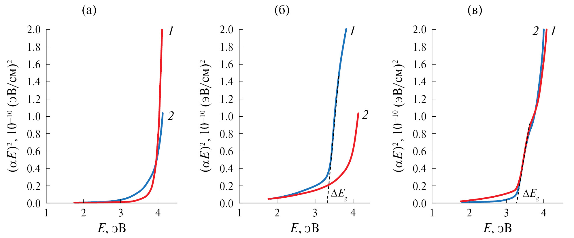
На рис. 2 представлены спектры поглощения всех исследованных образцов в УФ- и видимом диапазонах спектра, перестроенные в координатах Тауца ((αE)2 = f(E), где α – коэффициент поглощения [1/см], E – энергия фотона [эВ]). Пленки 120(T), 120(T+UV) и 130(T) не демонстрируют межзонного поглощения, характерного для полупроводников при энергии фотона, равной и превышающей ширину запрещенной зоны, и практически прозрачны для фотонов с энергией меньше 4 эВ. Образец 130(T+UV) демонстрирует оптическую щель, соответствующую прямозонному полупроводниковому материалу, поскольку в выбранных координатах появляется прямолинейный участок. Его экстраполяция до пересечения с осью абсцисс дает ширину оптической щели, которая для данного образца составляет ΔEg = 3.32 эВ, что соответствует формированию оксида цинка [24]. Наконец, образцы 140(T) и 140(T+UV) демонстрируют практически идентичные спектры, отвечающие полупроводниковому материалу с ΔEg = 3.27 эВ.
Рис. 2. Спектры поглощения образцов в координатах Тауца после термической (1) и комбинированной (2) обработки при температуре 120 (а), 130 (б) и 140°С (в).
Важно отметить, что формирование рентгеноаморфных полупроводниковых пленок происходит лишь в том случае, когда на дифрактограммах исчезают рефлексы фазы LBZA. Одна только температурная обработка при 130°С не позволяет инициировать данный процесс, но ее комбинация с УФ-облучением, напротив, формирует ZnO. Для понимания физико-химических процессов, происходящих в пленках, рассмотрим РФЭ-спектры. РФЭС показывает, что в состав образцов входят цинк, кислород и углерод.
На рис. 3 представлены спектры Zn2p и O1s. Спектр Zn2p представлен дублетом Zn2p1/2 и Zn2p3/2. Для дальнейшего анализа достаточно ограничиться компонентой Zn2p3/2. Ее энергия связи находится в диапазоне 1021.15–1022.1 эВ. Эти значения могут отвечать как катиону цинка Zn2+ в решетке ZnO [25, 26], так и цинку в составе гидроксида Zn(OH)2 [27] и LBZA [28]. В связи с этим данный спектр затруднительно использовать для дифференциации форм цинка в материале. Деконволюция спектра O1s позволяет выделить две компоненты с энергией связи около 530.3 и 532.0 эВ. Первая – O(lat) – отвечает связи Zn–O в оксиде цинка, вторая – O(ads) – связям Zn–OH в гидроксиде и LBZA [29]. Деконволюция спектра C1s (рис. 4) показывает существование в пленках трех форм углерода: С–С–С–, CC–H и CC=O с энергией связи порядка 285.0, 286.5 и 290.0 эВ соответственно. Первая форма отвечает существованию на поверхности углерода в форме графита. Вторая относится к фрагментам функциональных групп органических соединений –CH3, –CH2, –CH. Третья соответствует карбонильной группе C=O. Форма CC=O из всех прекурсоров и промежуточных соединений содержится только в ацетатных группах, которые интеркалированы между слоями LBZA.
Рис. 3. РФЭ-спектры Zn2p (а) и O1s (б) образцов.
Анализ спектров рис. 4 показывает, что образцы 120(T) и 120(T+UV) содержат значительную долю атомов углерода, входящих в карбонильную группу (34 и 27% от общего углерода в пленках соответственно). Однако уже в образце 130(T) наблюдается значительное ее сокращение и накопление углерода на поверхности в форме С–С–С–. Вероятно, это связано с удалением ацетат-ионов из пленки и их трансформацией в аморфный углерод (сажу). В табл. 1 также представлен параметр . Для образцов 130(T+UV), 140(T) и 140(T+UV) его значение составляет всего 5%, что говорит о практически полном удалении ацетатных групп из пленки. Этот факт коррелирует с исчезновением на дифрактограммах тех же образцов рефлексов фазы LBZA и появлением межзонного оптического поглощения, характерного для прямозонного полупроводника. Таким образом, можно заключить, что пленки 130(T+UV), 140(T) и 140(T+UV) представляют собой систему аморфных оксида и гидроксида цинка с разным соотношением фаз.
Рис. 4. РФЭ-спектр C1s образцов.
Таким образом, для удаления практически всех ацетатных групп, интеркалированных между слоями LBZA, достаточно нагрева системы до 130°С, а добавка УФ-излучения усиливает этот процесс (при 120°С соотношение уменьшается от 0.18 до 0.10 при переходе от термического к комбинированному отжигу).
Для оценки соотношения аморфных фаз оксида и гидроксида цинка рассмотрим изменение соотношения форм O(lat) и O(ads) при различных режимах обработок. В табл. 1 приведен параметр , характеризующий долю кислорода в образце, занимающего позицию в решетке ZnO. С ростом температуры отжига от 120 до 140°С она возрастает от 0.3 до 0.63. Комбинированная обработка при тех же условиях демонстрирует вклад, зависящий от температуры: при 120°С она увеличивает долю от 30 до 50%, при 130°С – от 50 до 65%, при 140°С не показывает практически никакого отличия от простой термической обработки. Исходя из соотношения в чистом ZnO, зная величину O(lat), можно рассчитать долю катионов цинка, входящих в состав нанокристаллов оксида: в табл. 1 приведено соотношение . Видно, что при температуре отжига 120°С 29% катионов цинка входит в состав связей Zn–O–Zn в частицах. Тем не менее размер этих частиц мал, в связи с чем на дифрактограмме отсутствуют рефлексы фазы ZnO, а пленки не демонстрируют полупроводниковых оптических свойств. Комбинированная обработка при той же температуре позволяет увеличить долю до 39%. При температуре 130°С комбинированная обработка повышает долю от 41 до 44% по сравнению с термической обработкой, у образца появляются полупроводниковые свойства и оптическая щель шириной 3.32 эВ. Наконец, при температуре 140°С комбинированная обработка не оказывает никакого влияния на соотношение: = 0.45 в обоих случаях, а спектры поглощения носят полупроводниковый характер и практически идентичны.
Совместный анализ данных РФЭС, фазового состава и спектров оптического поглощения позволяет выявить следующие закономерности. Комбинированная обработка фотоотжигом пленок с фазовым составом LBZA позволяет более интенсивно удалять интеркалированные ацетат-ионы и гидроксильные группы из образца по сравнению с термическим воздействием при той же температуре. Однако после разложения LBZA как термическая, так и комбинированная обработка при той же температуре приводят к одинаковому соотношению аморфных фаз ZnO и Zn(OH)2, т.е. дополнительное УФ-воздействие в процессе отжига становится неэффективным. В связи с этим финишная операция фотоотжига золь-гель-пленок ZnO наиболее эффективна при удалении гидроксильных групп из LBZA, расположенных в вершинах тетраэдра и октаэдра, центром которых являются катионы цинка в слоистой структуре этого материала. Тогда различия термического отжига и фотоотжига можно представить следующей схемой:
.
Комбинированная обработка позволяет непосредственно трансформировать LBZA в ZnO (как это наблюдается в образце 130(T+UV)), но малоэффективна при переходе Zn(OH)2 → ZnO.
Заключение
Исследованы механизмы фотонного отверждения золь-гель-пленок оксида цинка при фотоотжиге. Экспериментально были подобраны условия, позволяющие как с помощью мягкого термического воздействия, так и комбинированного в узком диапазоне температур получить аморфные полупроводниковые пленки ZnO, демонстрирующие оптическую щель в спектре поглощения. Для выбранных условий диапазон составил 120–140°С. При 120°С ни комбинированная, ни термическая обработки не приводили к полупроводниковому типу поглощения излучения. При 130°С только фотоотжиг позволил получить пленку с шириной запрещенной зоны 3.32 эВ. Обработка при 140°С (как комбинированная, так и термическая) дала возможность сформировать полупроводниковые пленки с ΔEg = 3.27 эВ, спектрофотометрически не отличимые друг от друга. Классический золь-гель-процесс с финишным термическим отжигом предполагает превращение ацетата цинка в слоистый основный ацетат цинка, который трансформируется в гидроксид и, наконец, при высоких температурах в ZnO. Облучение пленок в процессе температурной обработки при невысоких температурах УФ-излучением позволяет эффективно удалять ацетатные и гидроксильные группы и формировать аморфные пленки оксида цинка. Показано, что данные процессы протекают только в слоистом основным ацетате цинка. После его термического преобразования в Zn(OH)2 при более высокой температуре эффективность комбинированного отжига для дальнейшего перехода в ZnO пропадает.
Исследование выполнено за счет гранта Российского научного фонда № 23-29-00844, https://rscf.ru/project/23-29-00844/. В экспериментах использовано оборудование Научного парка Санкт-Петербургского государственного университета “Физические методы исследования поверхности”, “Рентгенодифракционные методы исследования”.
About the authors
I. А. Pronin
Penza State University
Email: starosta07km1@mail.ru
Russian Federation, Penza
A. S. Komolov
Saint Petersburg State University
Email: starosta07km1@mail.ru
Russian Federation, St. Petersburg
Е. F. Lazneva
Saint Petersburg State University
Email: starosta07km1@mail.ru
Russian Federation, St. Petersburg
V. А. Moshnikov
Saint Petersburg Electrotechnical University
Email: starosta07km1@mail.ru
Russian Federation, St. Petersburg
A. A. Karmanov
Penza State University
Author for correspondence.
Email: starosta07km1@mail.ru
Russian Federation, Penza
N. D. Yakushova
Penza State University
Email: starosta07km1@mail.ru
Russian Federation, Penza
References
- Korotcenkov G., Brinzari V., Schwank J. et al. // Sens. Actuators. B. 2001. V. 77. № 1–2. P. 244. https://doi.org/10.1016/S0925-4005(01)00741-9
- Waldman L.J., Haunert D.P., Carson J.D. et al. // ACS Omega. 2024. V. 9. № 27. P. 29732. https://doi.org/10.1021/acsomega.4c03288
- Ren X., Yang L., Cheng Q. et al. // J. Mater. Sci.: Mater. Electron. 2024. V. 35. № 3. P. 217. https://doi.org/10.1007/s10854-024-11949-2
- Kumar B.B., Tiwari P.K., Dubey S. et al. // Micro Nanostructures. 2022. V. 164. P. 107122. https://doi.org/10.1016/j.spmi.2021.107122
- Krishna M.S., Singh S., Batool M. et al. // Mater. Adv. 2023. V. 4. № 2. P. 320. https://doi.org/10.1039/D2MA00878E
- Yakimets I., MacKerron D., Giesen P. et al. // Adv. Mater. Res. 2010. V. 93. P. 5. https://doi.org/10.4028/www.scientific.net/AMR.93-94.5
- Lamanna L., Rizzi F., Guido F. et al. // Adv. Electron. Mater. 2019. V. 5. № 6. P. 1900095. https://doi.org/10.1002/aelm.201900095
- Kim Y.-H., Heo J.-S., Kim T.-H. et al. // Nature. 2012. V. 489. P. 128. https://doi.org/10.1038/nature11434
- Park J.W., Kang B.H., Kim H.J. // Adv. Funct. Mater. 2020. V. 30. № 20. P. 1904632. https://doi.org/10.1002/adfm.201904632
- Leppaniemi J., Eiroma K., Majumdar H. et al. // ACS Appl. Mater. Interfaces. 2017. V. 9. № 10. P. 8774. https://doi.org/10.1021/acsami.6b14654
- Pronin I.A., Plugin I.A., Kolosov D.A. et al. // Sens. Actuators. A. 2024. V. 377. P. 115707. https://doi.org/10.1016/j.sna.2024.115707
- Jaisutti R., Kim J., Park S.K. et al. // ACS Appl. Mater. Interfaces. 2016. V. 8. № 31. P. 20192. https://doi.org/10.1021/acsami.6b05724
- Dong Z., Wang J., Men J. et al. // Inorg. Chem. 2024. V. 63. № 12. P. 5709. https://doi.org/10.1021/acs.inorgchem.4c00178
- Subbiah A.S., Mathews N., Mhaisalkar S. et al. // ACS Energy. Lett. 2018. V. 3. № 7. P. 1482. https://doi.org/10.1021/acsenergylett.8b00692
- Lima A.H., Raeyani D., Sudmand S.A. et al. // Opt. Mater. 2024. V. 149. P. 115041. https://doi.org/10.1016/j.optmat.2024.115041
- Hsu J.W., Piper R.T. // J. Phys. D. 2024. V. 57. № 25. P. 252001. https://doi.org/10.1088/1361-6463/ad3560
- John R.A., Chien N.A., Shukla S.et al. // Chem. Mater. 2016. V. 28. № 22. P. 8305. https://doi.org/10.1021/acs.chemmater.6b03499
- Piper R.T., Xu W., Hsu J.W. // IEEE J. Photovolt. 2022. V. 12. № 3. P. 722. https://doi.org/10.1109/JPHOTOV.2022.3159395
- Tauc J. Amorphous and Liquid Semiconductors. Springer Science and Business Media, 2012. 441 p. https://doi.org/10.1007/978-1-4615-8705-7
- Song R.Q., Xu A.W., Deng B. et al. // Adv. Funct. Mater. 2007. V. 17. № 2. P. 296. https://doi.org/10.1002/adfm.200600024
- Wang Y., Li Y., Zhou Z. et al. // J. Nanoparticle Res. 2011. V. 13. P. 5193. https://doi.org/10.1007/s11051-011-0504-y
- Hosono E., Fujihara S., Kimura T. et al. // J. Colloid Interface Sci. 2004. V. 272. № 2. P. 391. https://doi.org/10.1016/j.jcis.2003.10.005
- Holzwarth U., Gibson N. // Nature Nanotechnol. 2011. V. 6. № 9. P. 534. https://doi.org/10.1038/nnano.2011.145
- Coleman V.A., Jagadish C. // Zinc Oxide Bulk, Thin Films and Nanostructures. Elsevier Science Ltd, 2006. Р. 1. https://doi.org/10.1016/B978-008044722-3/50001-4
- Pronin I.A., Averin I.A., Karmanov A.A et al. // Nanomaterials. 2022. V. 12. № 11. P. 1924. https://doi.org/10.3390/nano12111924
- Filippov I.A., Karmanov A.A., Yakushova N.D. et al. // Crystallography Reports. 2024. V. 69. № 7. Р. 1162. https://doi.org/10.1134/S106377452460162X
- Duchoslav J., Steinberger R., Arndt M. et al. // Corrosion Sci. 2014. V. 82. P. 356. https://doi.org/10.1016/j.corsci.2014.01.037
- Liang M.K., Limo M.J., Sola-Rabada A. et al. // Chem. Mater. 2014. V. 26. № 14. P. 4119. https://doi.org/10.1021/cm501096p
- Frankcombe T.J., Liu Y. // Chem. Mater. 2023. V. 35. № 14. P. 5468. https://doi.org/10.1021/acs.chemmater.3c00801
Supplementary files
Note
In the print version, the article was published under the DOI: 10.31857/S0023476125010178






