Two-dimensional ferroelectric crystals
- Authors: Fridkin V.M.1
-
Affiliations:
- Shubnikov Institute of Crystallography of Kurchatov Complex of Crystallography and Photonics of NRC “Kurchatov Institute”
- Issue: Vol 69, No 3 (2024)
- Pages: 438-444
- Section: ФИЗИЧЕСКИЕ СВОЙСТВА КРИСТАЛЛОВ
- URL: https://journals.rcsi.science/0023-4761/article/view/263045
- DOI: https://doi.org/10.31857/S0023476124030083
- EDN: https://elibrary.ru/XOONSU
- ID: 263045
Cite item
Full Text
Abstract
Within the framework of the Landau–Ginzburg theory, the kinetics of polarization switching of ferroelectric crystals and the transition from domain switching to homogeneous switching in nanoscale monocrystalline films are considered. It is shown that, within the framework of the chosen theory, homogeneous (domain-free) switching can be described only for two-dimensional ferroelectrics. Experimental results for two-dimensional films of ferroelectric polymer and barium titanate are presented. For ultrathin polymer films, these results are also confirmed by calculations based on first principles.
Full Text
ВВЕДЕНИЕ
Сегнетоэлектричеством в русскоязычной научной литературе назвали явление возникновения спонтанной поляризации кристалла (и иного материала), первоначально обнаруженное в сегнетовой соли в 1920 г. Валашеком [1, 2]. В 1945 г. были открыты сегнетоэлектрические свойства в титанате бария BaTiO3 [3, 4]. Стало ясно, что такие сегнетоэлектрические свойства могут существовать у всех кристаллов, принадлежащих к десяти точечным пироэлектрическим группам симметрии. В том же году Гинзбург, а позднее и Девоншир развили на основе теории фазовых переходов второго рода Ландау феноменологическую теорию сегнетоэлектричества (теорию среднего поля) [5–7]. Теория Ландау–Гинзбурга–Девоншира (ЛГД) объяснила все основные свойства сегнетоэлектриков, в том числе переключение поляризации во внешнем электрическом поле и петли гистерезиса. Но оказалось, что эта теория не описывает переключение сегнетоэлектрика, так как предсказывает величину коэрцитивного поля на 2–3 порядка больше экспериментальной. Это противоречие оставалось невыясненным в течение нескольких лет.
Большие коэрцитивные поля, предсказываемые теорией ЛГД, называются собственными, а их экспериментальные значения – несобственными.
Собственное значение коэрцитивного поля получается в рамках теории среднего поля из разложения термодинамического потенциала по поляризации:
(1)
где Ф – термодинамический потенциал, Р – спонтанная поляризация, Е – внешнее поле. Отсюда следует выражение для собственного коэрцитивного поля Ec:
, (2)
(3)
где t – приведенная температура:
(4)
Здесь χ0 – восприимчивость, α, β, γ – известные из теории ЛГД коэффициенты разложения термодинамического потенциала по четным степеням поляризации. Для оценок можно принять, что Ес ~ Р/χ0 ~ ~ Р/εε0, где ε – относительная диэлектрическая проницаемость, ε0 – диэлектрическая постоянная вакуума.
Для сегнетовой соли, титаната бария и других сегнетоэлектрических кристаллов собственное коэрцитивное поле Ес, определяемое по формуле (2), оказалось на несколько порядков выше его экспериментальных (несобственных) значений. При этом существенно, что в теории ЛГД сегнетоэлектрический кристалл рассматривается как однородная бесконечная среда.
Это противоречие было снято открытием доменов сначала в сегнетовой соли [8], а позднее в титанате бария [9] и других сегнетоэлектриках. Было показано, что переключение сегнетоэлектрика во внешнем поле связано с движением доменов, а кинетика переключения в теории Колмогорова–Аврами–Исибаси (КАИ) [10–12] определяется размерностью и формой доменов, их распределением по размеру и вероятностью зародышеобразования. Зависимость времени переключения поляризации от приложенного напряжения τ = τ(V) в теории КАИ близка к экспоненциальной.
В отсутствие внешнего (адсорбция ионов) и внутреннего экранирования разбиение сегнетоэлектрика на домены вызвано минимизацией свободной энергии и термодинамического потенциала кристалла. Теория и эксперимент, связанные с зародышеобразованием и доменным переключением объемных сегнетоэлектриков и пленок, подробно изложены в монографии Кросса, Таганцева и Фоусека [13] и здесь детально не рассматриваются.
ДВУМЕРНЫЕ СЕГНЕТОЭЛЕКТРИКИ
До начала 1990-х гг. для исследований были доступны кристаллы и сегнетоэлектрические пленки толщиной ~1 мкм. Они рассматривались как объемные среды, толщина которых на много порядков превосходит размер критического зародыша домена, по теоретическим оценкам не превышающий 10 нм [13–15]. Между тем еще в 1940-х гг. Онзагер [16] и позднее Вдовиченко и Рязанов теоретически предсказали существование двумерного сегнетоэлектрика, рассмотрев взаимодействие диполей, расположенных в узлах плоской (двумерной) квадратной решетки. Взаимодействие диполей приводит к спонтанной поляризации Р и сегнетоэлектрическому фазовому переходу второго рода в точке Кюри Тс [17]:
(5)
Первое экспериментальное наблюдение двумерных сегнетоэлектриков было осуществлено более чем через 50 лет для пленок сегнетоэлектрического полимера поливинилиденфторида-трифторэтилена (P(VDF-TrFE)) толщиной один–два монослоя (МС) (0.5–1.0 нм) [18–22]. Данные исследования выполнялись автором настоящей работы совместно с сотрудниками лабораторий фазовых переходов и жидких кристаллов Института кристаллографии им. А.В. Шубникова РАН и с лабораторией Дюшарма в Университете Линкольна (США) [23–25].
Для выращивания сегнетоэлектрических пленок полимера P(VDF-TrFE) был применен метод Ленгмюра–Блоджетт (ЛБ) [18–25], основанный на переносе цепей полимера с поверхности воды на подложку, несущую электрод. На рис. 1а, 1б показаны цепи полимера в полярной (сегнетоэлектрической) и неполярной (параэлектрической) фазах, на рис. 1в–1д – схема переноса и цепи, наблюдаемые в туннельном микроскопе. Полученные этим методом в 1995 г. ленгмюровские сегнетоэлектрические пленки оказались рекордно тонкими. Толщина одного МС составила 0.5 нм, т. е. значительно меньше известной из литературы теоретической оценки размера критического зародыша домена [13–15]. Толщина ленгмюровских полимерных пленок (двумерных сегнетоэлектриков) контролировалась методами эллипсометрии и атомно-силовой спектроскопии. В [18, 19] впервые были получены двумерные сегнетоэлектрики толщиной 0.5–1.0 нм, состоящие из одного МС.
Рис. 1. Сегнетоэлектрический полимер поливинилиденфторид (PVDF): а – полярная трансформация с суммарной поляризацией Р > 0; б – неполярная гош-конформация с суммарной поляризацией Р = 0; в – формирование PVDF-пленки Ленгмюра–Блоджетт на поверхности воды; г – перенос нескольких слоев ЛБ-пленки PVDF на подложку электродом; д – изображение ЛБ-пленки P(VDF-TrFE) методом сканирующей туннельной микроскопии [21, 23] (из [21]).
В сегнетоэлектрической фазе пленки P(VDF-TrFE) являлись орторомбическими (точечная группа 2mm), что подтверждалось рентгеновскими и электронографическими методами, а также сканирующей туннельной микроскопией. Двумерные сегнетоэлектрики обнаруживали петли гистерезиса и собственное коэрцитивное поле (2), на несколько порядков превышающее несобственное коэрцитивное поле, известное до этого в кристаллах и пленках. Кинетика их переключения также принципиально отличалась от известной кинетики доменного переключения, описываемой, например, теорией КАИ.
На рис. 2 показаны петли гистерезиса для ленгмюровских пленок P(VDF-TrFE) с разным числом МС, вплоть до двух МС толщиной в 1 нм, демонстрирующие существование сегнетоэлектричества [21, 23].
Рис. 2. Петли гистерезиса при температуре 25°С, измеренные пироэлектрическим методом в ЛБ-пленках P(VDF-TrFE) 70:30 с разным числом МС [21, 23]; Ip – пироэлектрический ток.
Начиная с 1970-х гг. тонкие монокристаллические сегнетоэлектрические пленки (типа пленок титаната бария) готовились методом лазерной эпитаксии [23]. В 1990-е гг. толщина пленок составляла не менее нескольких десятков нанометров. Синтез ленгмюровских пленок в 1995 г. привел к получению рекордно тонких сегнетоэлектрических пленок [18, 21], толщиной меньше возможного размера доменного зародыша [13–15]. Тем самым разработка ленгмюровских сегнетоэлектриков привела к первому экспериментальному наблюдению двумерных сегнетоэлектриков [18–25].
КИНЕТИКА ПЕРЕКЛЮЧЕНИЯ ДВУМЕРНОГО СЕГНЕТОЭЛЕКТРИКА (КИНЕТИКА ЛАНДАУ–ХАЛАТНИКОВА)
В [26, 27] описана кинетика переключения поляризации двумерных сегнетоэлектриков. Теория КАИ не могла быть привлечена к объяснению этого явления, так как толщина пленки была сравнима с размером доменного зародыша или меньше него. Разумеется, переключение может осуществляться в плоскости двумерного сегнетоэлектрика, т. е. благодаря двумерному варианту КАИ [28]. Отметим также, что при рассмотрении кинетики переключения в двумерных сегнетоэлектриках применялся феноменологический подход, который (как, впрочем, и вся теория среднего поля ЛГД) не отвечает на вопрос о механизме переключения.
В [26, 27] уравнение Ландау–Халатникова [29] было решено для фазовых переходов первого рода:
(6)
где ξ – коэффициент демпфирования. В общем случае может быть учтен градиентный член. Исследование решения уравнения (6) показало, что в окрестности коэрцитивного поля Ес время переключения неограниченно возрастает, и его обратная величина может быть записана выражением [26]:
(7)
где τ0 ≈ 6.3γξ/β2. При этом Ес (2) является собственным коэрцитивным полем сегнетоэлектрика, определяемым коэффициентами Ландау–Гинзбурга.
Экспериментальные результаты оказались в хорошем согласии с кинетикой Ландау–Халатникова. В [30, 31] непосредственно показано критическое поведение τ–2 при приближении Е → Ес для ЛБ-пленок P(VDF-TrFE). На рис. 3 приведены данные для пленки в 10 МС (5 нм), штриховая кривая представляет теоретический результат, треугольниками показаны данные эксперимента. Для более толстой пленки в 30 МС (15 нм) кружками показаны экспериментальные значения τ–2, штриховая кривая представляет экспоненциальную зависимость.
Рис. 3. Зависимость τ–2 от напряжения V для ЛБ-пленок P(VDF-TrFE), измеренная импульсно-зондовым методом. Для образца с 30 МС кружки соответствуют экспериментальным данным, штриховая кривая показывает соответствие данных образца экспоненциальной зависимости. Треугольники представляют экспериментальные данные для образцов с 10 МС, штриховые кривые показывают соответствие уравнению (7) данных образца [30, 31].
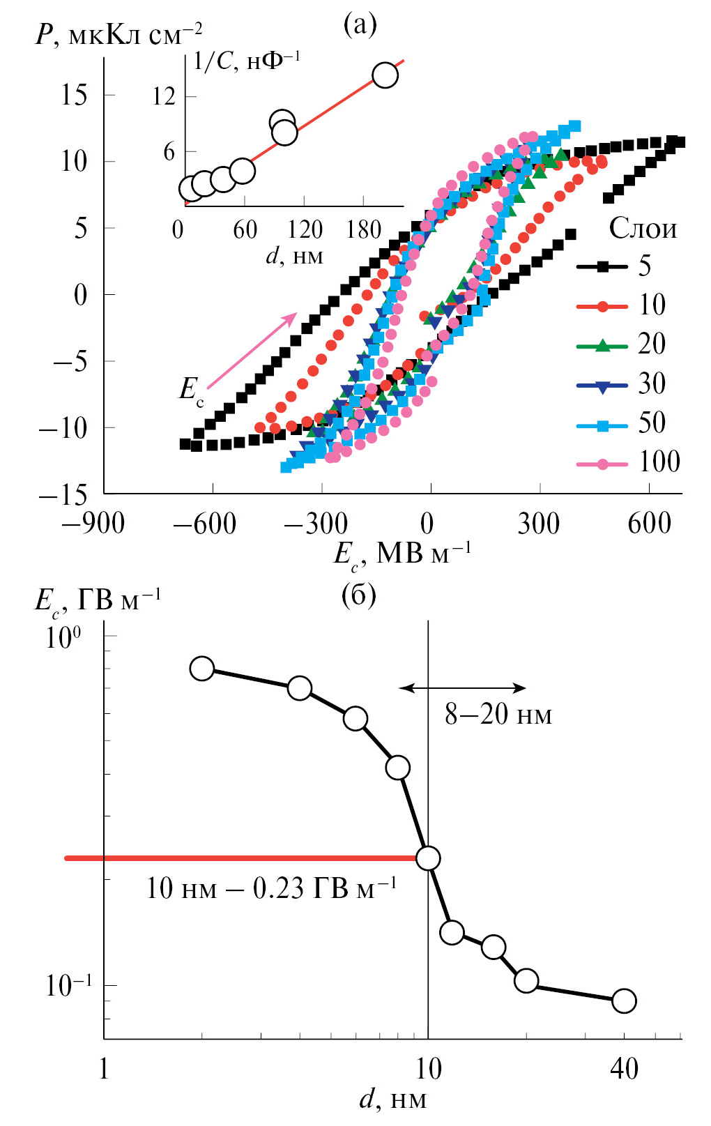
Подобное исследование ЛБ-пленок P(VDF-TrFE) разной толщины проведено в [32] (рис. 4). Показано, что при малых толщинах (2–6 нм) коэрцитивное поле Ес является собственным и практически не изменяется, в области толщин более 8 нм наблюдается переходная зона, а при толщинах более 10–12 нм собственное коэрцитивное поле Ес становится несобственным и определяется доменным механизмом (рис. 4).
Рис. 4. Петли гистерезиса ЛБ-пленки PVDF [32] с разным числом монослоев: 5, 10, 20, 30, 50 и 100 МС (а); вставка показывает линейную зависимость обратного значения емкости С от толщины пленки d. Ес как функция толщины ЛБ-пленки PVDF (при d = 8–20 нм – переходная область) (б).
Таким образом, показано, что кинетика Ландау–Халатникова удовлетворительно описывает кинетику переключения двумерного сегнетоэлектрика, если только исследуемый нанокристалл можно считать однородным.
В связи с этим под двумерным сегнетоэлектриком подразумевается наноразмерный кристалл, который в направлении его переключения можно считать однородным. В принципе он может состоять из нескольких элементарных ячеек (или монослоев). Феноменология теории ЛГД и следующее из нее уравнение Ландау–Халатникова не содержат в себе микроскопического механизма.
ОДНОРОДНОЕ ПЕРЕКЛЮЧЕНИЕ В ДВУМЕРНОМ ТИТАНАТЕ БАРИЯ
С момента открытия однородного переключения в сегнетоэлектрических полимерах стало очевидным, что однородный характер переключения может существовать у всех наноразмерных сегнетоэлектрических пленок, толщина которых меньше размера доменного зародыша или сравнима с ним. Это было доказано на примере сегнетоэлектрических пленок титаната бария [23, 24, 33].
Кинетика переключения в сверхтонких монокристаллических лазерно-эпитаксиальных пленках BaTiO3 толщиной 2–8 и 40 нм, синтезированных на подложке SrRuO3/SrTiO3, исследована в конденсаторе SrRuO3–ITO (indium tin oxide) с помощью атомно-силового микроскопа. Подробное описание методики можно найти в [34]. Различие между собственным и несобственным поведением показано на рис. 5, где приведена зависимость времени переключения τ от приложенного напряжения V для пленки толщиной 8 нм в конденсаторе (рис. 5а) и под зондом в атомно-силовом микроскопе (рис. 5б). Для сравнения представлена такая же зависимость для объемного монокристалла BaTiO3 толщиной 1 мм (рис. 5в). Экспериментальные зависимости τ–2(V) на рис. 5а, 5б для пленки титаната бария не только хорошо согласуются с формулой (7), но и указывают на то, что коэрцитивное поле Ес (2) является собственным. Напротив, кинетика переключения объемного кристалла (рис. 5в) близка к экспоненте, переключение носит доменный характер, соответственно, собственное коэрцитивное поле (2) на 2 порядка больше несобственного.
Рис. 5. Зависимость времени переключения τ от напряжения для пленки BaTiO3 толщиной 8 нм [23, 24, 33]: а – в конденсаторе, б – при зондовом режиме в атомно-силовом микроскопе (кривые τ–2(V) соответствуют расчетам по формуле (7)); в – объемный кристалл BaTiO3, кривая соответствует экспоненте в виде lnτ(V–1) (получено с помощью пьезоотклика на атомно-силовом микроскопе); г – зависимость коэрцитивного поля Ec от толщины пленки.
На рис. 5г представлена зависимость коэрцитивного поля от толщины пленки титаната бария. Видно, что в диапазоне толщин от 3 до 10 нм коэрцитивное поле является собственным (Ес ∼ 0.12 ГВ м–1) и слабо зависит от толщины, что согласуется с теорией ЛГД. При толщинах 40 нм и более коэрцитивное поле резко уменьшается, что соответствует переходу к доменному переключению. Соответственно, пленки толщиной 3 и 8 нм обнаруживают собственное ЛГД-переключение (7), а более толстые пленки – доменную экспоненциальную зависимость. Эти данные хорошо согласуются с результатами для ЛБ-пленок полимеров [32] (рис. 4).
ЗАКЛЮЧЕНИЕ
В 1945–1946 гг. были открыты сегнетоэлектрические свойства BaTiO3. Это стимулировало развитие Гинзбургом теории сегнетоэлектричества (так называемой теории среднего поля Ландау–Гинзбурга–Девоншира). Теория объяснила все свойства сегнетоэлектрических кристаллов и пленок с фазовыми переходами первого и второго рода (в окрестности критической точки). Но эта теория не описывает переключение сегнетоэлектриков, которое было объяснено движением доменов во внешнем электрическом поле, а коэрцитивное поле в соответствии с экспериментальными данными оказалось низким.
В 1970–1980-е гг. были доступны только сегнетоэлектрические монокристаллы, и лишь в начале 1990-х гг. начали получать методом лазерной эпитаксии пленки перовскитов толщиной несколько десятков нанометров. Выращивание пленок ленгмюровских сегнетоэлектриков привело к открытию двумерных сегнетоэлектриков, а исследование наноразмерных пленок титаната бария показало, что и они могут быть двумерными. В этом случае феноменологическая теория ЛГД хорошо описывает кинетику переключения. Поэтому следует различать собственное коэрцитивное поле для наноразмерных однородных сегнетоэлектрических пленок Ес и известное несобственное коэрцитивное поле Ес в толстых пленках и кристаллах, связанное с доменным механизмом, причем собственное поле на несколько порядков больше экспериментального (несобственного).
Для объемных сегнетоэлектриков (l > l*, где l* – размер домена) имеют место зарождение и движение доменов. В двумерных или наноразмерных сегнетоэлектриках (l ≤ l*), видимо, происходит поворот зародышей. На самом деле в наноразмерных сегнетоэлектрических пленках имеет место конкуренция этих двух механизмов. При увеличении толщины пленки доменный механизм должен превалировать.
Работа выполнена в рамках государственного задания НИЦ “Курчатовский институт”.
About the authors
V. M. Fridkin
Shubnikov Institute of Crystallography of Kurchatov Complex of Crystallography and Photonics of NRC “Kurchatov Institute”
Author for correspondence.
Email: fridkinv@gmail.com
Russian Federation, 119333, Moscow
References
- Valasek J. // Phys. Rev. 1920. V. 15. P. 537.
- Valasek J. // Phys. Rev. 1921. V. 17. P. 475. https://doi.org/10.1103/PhysRev.17.475
- Вул Б.M., Гольдман И.M. // Докл. АН СССР. 1945. Т. 46. С. 154.
- Acosta M., Novak N., Rojas V. et al. // Appl. Phys. Rev. 2017. V. 4. P. 041305. https://doi.org/10.1063/1.4990046
- Ландау Л.Д. // ЖЭТФ. 1937. Т. 7. С. 627.
- Гинзбург В.Л. // ЖЭТФ. 1945. Т. 15. С. 739.
- Гинзбург В.Л. // ЖЭТФ. 1949. T. 19. C. 36.
- Классен-Неклюдова М.В., Чернышова М.А., Штенберг А.А. // Докл. АН СССР. 1948. Т. 18. С. 527.
- Merz W.J. // Phys. Rev. 1953. V. 91. P. 513. https://doi.org/10.1103/physrev.91.513
- Ishibashi Y. // Jpn. J. Appl. Phys. 1992. V. 31. P. 2822. https://doi.org/10.1143/jjap.31.2822
- Колмогоров A.H. // Изв. АН СССР. Серия матем. 1937. Т. 1. С. 355.
- Avrami M. // J. Chem. Phys. 1940. V. 8. P. 212.
- Tagantsev A.K., Cross L.E., Fousek J. Domains in Ferroic Crystals and Thin Films. New York: Springer, 2010. 822 p.
- Shin Y-H., Grinberg I., Chen I.-W. et al. // Nature. 2007. V. 449. P. 881. https://doi.org/10.1038/nature06165
- Miller R.C., Weinreich G. // Phys. Rev. 1960. V. 117. P. 1460. https://doi.org/10.1103/PhysRev.117.1460
- Onsager L. // Phys. Rev. 1944. V. 65. P. 117. https://doi.org/10.1103/PhysRev.65.117
- Ландау Л.Д., Лифшиц E.M. Статистическая физика: M.: Наука, 1964. 568 c.
- Palto S.P., Blinov L.M., Bune A.V. et al. // Ferroelectrics Lett. 1995. V. 19. P. 65. https://doi.org/10.1080/07315179508204276
- Bune A., Fridkin V., Ducharme S. et al. // Appl. Phys. Let. 1995. V. 67. P. 3975. https://doi.org/10.1063/1.114423
- Palto S., Blinov L., Bune A. et al. // Ferroelectrics. 1996. V. 184. P. 127.
- Bune A.V., Fridkin V.M., Ducharme S. et al. // Nature. 1998. V. 391. P. 874. https://dx.doi.org/10.1038/36069
- Bune A.V., Zhu C., Ducharme S. et al. // J. Appl. Phys. 1999. V. 85. P. 7869. https://digitalcommons.unl.edu/physicsducharme/15
- Fridkin V.M., Ducharme S. Ferroelectricity at the Nanoscale. Basic and Applications. New York: Springer, 2014. 120 p. https://doi.org/10.1007/978-3-642-41007-9
- Фридкин В.M., Дюшарме С. // Успехи физ. наук. 2014. Т. 184. С. 645. https://doi.org/10.3367/UFNe.0184.201406d.0645
- Блинов Л.М., Фридкин В.М., Палто С.П. и др. // Успехи физ. наук. 2000. Т. 170. С. 247. https://doi.org/10.3367/UFNr.0170.200003b.0247
- Vizdrik G., Ducharme S., Fridkin V.M., Yudin S.G. // Phys. Rev. В. 2003. V. 68. P. 094113. https://doi.org/10.1103/PhysRevB.68.094113
- Ievlev A., Verkhovskaya K., Fridkin V. // Ferroelectrics Lett. 2006. V. 33. P. 147. https://doi.org/10.1080/07315170601015031
- Ricinschi D., Harnagia C., Papusoi C. et al. // J. Phys. Condens. Matter. 1998. V. 10. P. 477. https://doi.org/10.1088/0953-8984/10/2/026
- Ландау Л.Д., Халатников И.T. // Докл. АН СССР. 1954. Т. 96. С. 469.
- Gaynutdinov R.V., Mitko S., Yudin S.G. et al. // Appl. Phys. Let. 2011. V. 99. P. 142904. https://doi.org/10.1063/1.3646906
- Gaynutdinov R.V., Yudin S., Ducharme S., Fridkin V. // J. Phys. Condens. Matter. 2012. V. 24. P. 015902. https://doi.org/10.1088/0953-8984/24/1/015902
- Wang J.L., Liu B.L., Tian B.B. et al. // Appl. Phys. Lett. 2014. V. 104. P. 182907. https://doi.org/10.1063/1.4875907
- Ducharme S., Fridkin V.M. // Condensed Matter. 2003. https://doi.org/10.48550/arXiv.cond-mat/0307293
- Gu Z., Imbrenda D., Bennett-Jackson A.L. et al. // Phys. Rev. Lett. 2017. V. 118. P. 096601. https://doi.org/10.1103/PhysRevLett.118.096601
- Stolichnov I., Cavalieri M., Colla E. et al. // ACS Appl. Mater. Interfaces. 2018. V. 10. P. 30514. https://doi.org/10.1021/acsami.8b07988
- Buragohain P., Richter C., Schenk T. et al. //Appl. Phys. Lett. 2018. V. 112. P. 222901. https://doi.org/10.1063/1.5030562
- Hoffmann M., Fengler F.P.G., Herzig M. et al. // Nature. 2019. V. 565. P. 464. https://doi.org/10.1038/s41586-018-0854-z
- Bystrov V.S. // Phys. В: Condens. Matter. 2014. V. 432. P. 21. https://doi.org/10.1016/j.physb.2013.09.016
- Paramonova E.V., Filippov S.V., Gevorkyan V.E. et al. // Ferroelectrics. 2017. V. 509. P. 143. https://doi.org/10.1080/00150193.2017.1296317
- Bystrov V.S., Paramonova E.V., Bystrova A.V. et al. // Math. Biol. Bioinform. 2015. V. 10. P. 372. https://doi.org/10.17537/2015.10.372
- Gevorkyan V.E., Paramonova E.V., Avakyan L.A., Bystrov V.S. // Math. Biol. Bioinform. 2015. V. 10. Р. 131. https://doi.org/10.17537/2015.10.131
- Murrell J.N., Harget A.J. Semi-Empirical Self-Consistent-Field Molecular Orbital Theory of Molecules. London: John Wiley & Sons, 1972. 180 p.
- Stewart J.J.P. // J. Comput. Chem. 1989. V. 10. P. 209. https://dx.doi.org/10.1002/jcc.540100208
- Stewart J.J.P. // J. Comput. Aided Mol. Des. 1990. V. 4. P. 1. https://doi.org/10.1007/BF00128336
- HyperChem (TM) 7.51, Tools for Molecular Modeling, HyperChem 8.0, Professional Edition, Gainesville, Hypercube. Inc., 2002 and 2010, Accessed 27.02.2020. http://www.hyper.com/7tabidD360
- Bystrov V.S., Bystrova N.K., Paramonova E.V. et al. // J. Phys. Condens. Matter. 2007. V. 19. P. 456210. https://doi.org/10.1088/0953-8984/19/45/456210
- Bystrov V.S., Paramonova E.V., Dekhtyar Y. et al. // J. Appl. Phys. 2012. V. 111. P. 104113. https://doi.org/10.1063/1.4721373
- Bystrov V.S., Paramonova E.V., Bdikin I.K. et al. // J. Mol. Model. 2013. V. 19. P. 3591. https://doi.org/10.1007/s00894-013-1891-z
- Nakhmanson S.M., Korlacki R., Johnston J.T. et al. // Phys. Rev. В. 2010. V. 81. P. 174120. https://doi.org/10.1103/PhysRevB.81.174120
- Duan C., Mei W.N., Hardy J.R. et al. // Europhys. Lett. 2003. V. 61. P. 81. https://doi.org/10.1209/epl/i2003-00248-2
- Yamada К., Saiki A., Sakaue H. et al. // Jpn. J. Appl. Phys. 2001. V. 40. P. 4829. https://doi.org/10.1143/JJAP.40.4829
Supplementary files







