Colloidal system based on Pd(Acac)2–chiral stabilizer-H2 in the enantioselective hydrogenation of N-acetyl-α-amidocinminamic acid
- Authors: Nindakova L.O.1, Strakhov V.O.1, Badyrova N.M.1
-
Affiliations:
- Иркутский национальный исследовательский технический университет
- Issue: Vol 86, No 4 (2024)
- Pages: 482-495
- Section: Articles
- Submitted: 21.11.2024
- Accepted: 21.11.2024
- Published: 15.07.2024
- URL: https://journals.rcsi.science/0023-2912/article/view/270846
- DOI: https://doi.org/10.31857/S0023291224040079
- EDN: https://elibrary.ru/bzxkux
- ID: 270846
Cite item
Full Text
Abstract
It has been shown that the colloidal system Pd(Acac)2–mod–H2, where mod are chiral stabilizers of molecular (8S,9R)-cinhonidine, (-)-Сin, and ionic type (-)-Cin*HCl and (-)- Cin*2HCl, exhibits catalytic activity in the asymmetric hydrogenation of N-acetyl-α-amidocinnamic acid (AACA) at room temperature and a H2 pressure of 5 atm.
In the presence of protonated forms of cinchonidine, the esterification reaction of the product N-acetylphenylalanine (N-APha) was observed. The excess of the R-(-)-enantiomer of N-acetylphenylalanine reaches 78% on the Pd(Acac)2–(-)-Сin–H2 system at the ratio (-)-Сin/Pd = 1.5, while the protonated forms of the quinine alkaloid as modifiers of catalytic systems show less efficiency with respect to chiral induction.
Using XRD and HR-TEM, the formation of palladium nanoparticles with average size 5.3 ± 0.8 nm and 4.2 ± 0.5 nm, respectively, was established for the systems Pd(Acac)2–(-)-Cin–H2 and Pd(Acac)2–(-) -Сin *HCl–H2.
Full Text
СПИСОК СОКРАЩЕНИЙ
α-ААКК – α-N-ацетил-амидокоричная кислота
N-AФА – N-ацетил-фенилаланин
АcаcН – ацетилацетон
и.э. – избыток энантиомера
L-DOPA – 3,4-диоксифенилаланин
R,R-DPEN – (R,R)-1,2-дифенил-1,2-этандиамин
R,R-DIPAMP – (R,R)-1,2-бис[(2-метоксифенил)(фенилфосфино)]этан
R,R-CHIRAPHOS – (R,R)-2,3-бис(дифенилфосфино)бутан
(-)-Cin – (8S,9R) – цинхонидин
(+)-CN – (8S,9S) – цинхонин
ЭДС – энергодисперсионная рентгеновская спектроскопия
SAED – дифракция электронов на выбранной области поверхности образца
Dowex® 50WX8 – смола ионообменная, Н+ форма
ВВЕДЕНИЕ
Работы по асимметрическому гидрированию дегидрокислот молекулярным водородом на наночастицах переходных металлов, полученных в коллоидном синтезе и диспергированных в растворителе, встречаются крайне редко [1], несмотря на то, что в таких системах можно наблюдать результаты влияния природы стабилизаторов (модификаторов) на каталитическую эффективность систем в отсутствие влияния носителя.
В промышленности благодаря высокой частоте оборотов катализаторов и энантиоселективности реакций нередко используют комплексы переходных металлов с хиральными фосфор- и азотсодержащими лигандами [2–4]. Но, поскольку гетерогенные катализаторы могут быть легко отделены от продуктов для повторного применения, они обладают более высоким потенциалом при условии, что при этом достигаются высокие энантиомерные выходы продуктов [5–7].
Широкое распространение получили исследования по разработке каталитических методов синтеза биологически активных соединений в энантиомерно чистой форме, востребованных в фармакологии, пищевой промышленности, сельском хозяйстве. Противовоспалительные лекарственные препараты напроксен, (S)-6-метокси-α-метил-2-нафталинуксусная кислота (в виде натриевой соли), и ибупрофен, (R,S)-2-(4-изобутилфенил)-пропионовая кислота), получают в реакции асимметрического гидрирования соответствующих дегидрокислот. Такие продукты образуются в энантио- и диастереоселективных реакциях гидрирования либо на хирально-модифицированных катализаторах, либо в том случае, когда источник хиральности находится в одном из фрагментов субстрата. Применение палладиевых катализаторов объяснялось ранее более низкой ценой Pd в сравнении с другими благородными металлами (Rh, Pt), хотя в настоящее время соотношение цен на металлы резко изменилось. Наночастицы Pd и Ru, полученные из металлорганических предшественников в присутствии P-стереогенных фосфинов, оценены в реакциях гидрирования экзоциклических C = C–связей [8]. Наночастицы Pt, Pd, Ru и Rh, внесенные в сополимер β-циклодекстрина и эпихлоргидрина, дают в такой реакции избыток энантиомера не более 10% [9]. Заметный результат был достигнут с 1% Pd/SiO2 катализатором, модифицированным (8S,9R)-(-)-цинхонидином, на котором получено 27% и.э. в превращении 2-метил-2-пентеновой кислоты в (S)-2-метилпентановую кислоту [10].
В течение последних 30 лет в качестве хирального индуктора, благодаря своим структурным особенностям, широко используется (8S,9R)-(-)-цинхонидин, (S)-(-)-хинолин-4-ил-[(1S,2R,4S,5R)-5-винил-азабицикло [2.2.2]окт-2-ил]-метанол, (-)-Cin, один из натуральных алкалоидов, извлекаемый из коры хинного дерева [11]. (-)-Cin является довольно крупной, пространственно-затрудненной молекулой, эффективной в каталитической реакции Орито на платиновых катализаторах. Ключевым элементом, ответственным за синтетическую полезность природного (-)-Cin, является присутствие в его структуре нуклеофильного азота в хинуклидиновом фрагменте молекулы, который выступает в качестве дентатного атома и находится в хиральном окружении, создаваемом соседними атомами углерода (с конфигурацией R и S) в связывающем фрагменте соединения. Выбор его в качестве хирального стабилизатора позволял нам рассчитывать на достаточно высокий и.э.
В ранней работе Perez и др. [12] с использованием (-)-(Cin)-Pd/C катализатора было показано, что Na-соль (E)-2-фенилкоричной кислоты дает (S)-(+)-2,3-дифенилпропионат натрия с и.э. 30.5%, что открыло путь к изучению палладиевых систем в асимметрическом гидрировании прохиральных связей C = C в дегидрокислотах. Группой Szӧllősi и др. [13] в энантиоселективном гидрировании α,β-ненасыщенных карбоновых кислот на (-)-(Cin)-Pd/Al2O3 установлено, что значения и.э. продуктов возрастают с увеличением длины алифатической цепочки в молекуле кислоты, однако, максимальный и.э. не превышал 57%. Не очень высокий и.э. подтверждается и в других работах, в частности, Bartok c сотр. [14] получил 36% и.э. в гидрировании α-ААКК над (-)-(Cin)-Pd/TiO2 и и.э. 58 и 60% в продуктах гидрирования α-ААКК над Pd/Al2O3 в присутствии (8S,9R)-цинхонидина и (8S,9S)-цинхонина соответственно.
Широко известны работы Baiker’a c сотр. [15–17] по гидрированию ряда α,β-ненасыщенных кислот на Pd и Pt модифицированным (-)-(Cin). И.э. в значительной степени зависел от давления водорода, полярности растворителя и количества катализатора, также большой вклад вносила реакция изомеризации дегидрокислоты, приводящая к понижению и.э. продукта.
В работе [18] сообщалось, что рутениевые катализаторы, стабилизированные асимметрическими дендритными лигандами на основе R,R-DPEN, давали и.э. 85–90% в гидрировании 2-арилакриловых кислот.
N-ацетил-α-амидокоричная кислота (α-ААКК) – модельный субстрат, исторически сыгравший ключевую роль в развитии метода асимметрического каталитического гидрирования и понимании природы структурных взаимоотношений в процессе передачи хиральности на субстрат. Известный механизм асимметрического гидрирования Halperna на комплексе родия (+) с хиральными дифосфинами R,R-DIPAMP и R,R-CHIRAPHOS изучен именно для этого субстрата [19]. Продукт ее гидрирования, N-AФА, производное фенилаланина, является предшественником тирозина, моноаминового нейромедиатора дофамина, норэпинефрина (норадреналина) и адреналина [20]. Кроме того, в клинической практике для лечения болезни Паркинсона и синдрома Сегавы [21] применяется синтетический левовращающий изомер 3,4-диоксифенилаланина – L-DOPA.
Согласно сложившимся представлениям, хирально-модифицированный активный центр образуется при адсорбции хиральной молекулы-стабилизатора на поверхности металлических наночастиц. Водородные связи между функциональными группами стабилизатора (модификатора) и молекул субстрата управляют адсорбционным режимом (через re- или si-координацию) взаимодействующей молекулы. Предполагается, что разность энергий между поверхностными pro-S и pro-R субстратными комплексами определяет направление индукции и величину энантиоселективности [19].
Представляет интерес также поведение в реакциях ионных хиральных стабилизаторов, способных участвовать в стабилизации электростатического типа путем образования на поверхности частиц двойного электрического слоя, который приводит к кулоновскому отталкиванию между отдельными частицами.
Ранее было показано, что в процессе гидрирования С=О-связи в кетонах и эфирах кетокислот (ацетофенон, метилпируват, метилбензоилформиат) на изучаемой каталитической системе Pd(Acac)2–(-)-Сin–H2 активны образующиеся коллоидные наночастицы палладия [22], при этом результат энантиоселективного гидрирования кетонов и сложных эфиров зависит от отношения (-)-Cin/Pd и выбора растворителя.
Целью настоящего исследования является изучение возможности получения ионных соединений на основе природного алкалоида хинного ряда 8S,9R-(-)-цинхонидина, 1, и их применения в качестве стабилизаторов и хиральных модификаторов поверхности наночастиц палладия.
ЭКСПЕРИМЕНТАЛЬНАЯ ЧАСТЬ
Реактивы
Растворители и исходные реагенты, применявшиеся в данном исследовании, очищали по известным методикам [23]. (-)-Сin, 1, (Merk, 98%) перекристаллизован из метанола. N-ацетил-α-амидокоричная кислота (α-ААКК, Fluka, 98%) приобретена у фирмы ООО ТД “ХИММЕД”, молекулярный водород марки А (99.99%) – у фирмы ООО “ТД “Газпродукт”.
Синтез модификаторов и субстратов
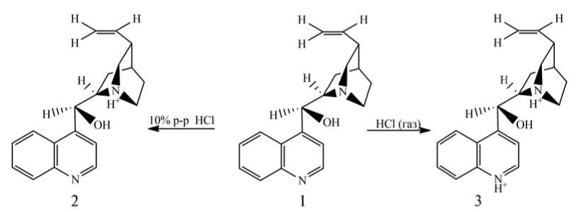
Гидрохлорид (8S,9R)-цинхонидина (2, (-)-Сin*HCl). К раствору (-)-Cin (0.894 г; 3.04 ммоль) в 25 мл этанола при перемешивании в течение 15 мин добавили 4.7 мл 5% раствора соляной кислоты (0.221 г; 6.072 ммоль). Реакционную смесь перемешивали в течение 1 ч, выпаривали растворители досуха на роторном испарителе, несколько раз промывали холодным этанолом, вновь сушили при давлении 20 мм рт. ст. и Т = 40°С. Получен белый порошок, Тпл = 223.7–227.3°С. [α]D = –91 (C = 0.17, МеOH); –129 (С = 0.046 Н2О). Выход: 0.782 г, 77.7 мольн. % от теоретического. 1H ЯМР (CD3ОD), δ, м.д.: 1.55 (тт, Н12, 2J 12.6 Гц), 1.89 (тш, Н13, 2J 10.8 Гц), 2.04 (м, Н14), 2.15 (м, Н11), 2.73 (тш, Н19), 3.18 (м, Н16+18), 3.51 (дд, Н17), 3.57 (тш, Н15), 4.17 (тш, Н9, 2J 12.5 Гц), 4.88 (с, ОН), 5.00 (дт, Н22, 2J 12.6 Гц, 3J 1.5 Гц), 5.09 (дт, Н21, 2J 20.5 Гц, 3J 12.6 Гц), 5.76 (м, Н20), 6.04 (с, Н8), 7.72 (т, Н5, 2J 10.0 Гц, 3J 1.5 Гц), 7.82 (д, Н1), 7.82 (т, Н4, 2J 10.0 Гц, 3J 1.5 Гц), 8.08 (д, Н3, 2J 10.0 Гц, 3J 1.5 Гц), 8.30 (д, Н6), 8.87 (д, Н2). Нумерация атомов приведена в соответствии с рис. 1.
Рис. 1. Обозначение атомов в молекулах (8S,9R)-цинхонидина и его протонированных форм.
Дигидрохлорид (8S,9R)-цинхонидина (3, (-)-Сin*2HCl). Через прозрачный раствор (20 мл) (-)-Cin (0.702 г; 2.39 ммоль) в этиловом спирте в течение 30 мин через узкий капилляр пропускали газообразный хлороводород. В сосуде образуются белые кристаллы по всему объему смеси. Растворитель декантировали, белый осадок промывали несколько раз холодным этиловым спиртом, сушили при давлении 20 мм рт. ст. и Т = 40°С на роторном испарителе в течение 3 ч. Получен белый порошок, Тпл = = 223 – 224.2°С. [α]D = – 67.8 (C = 0.15, МеOH); – 138 (С = 0.3, Н2О). Выход: 0.634 г, 72.2 мольн. % от теоретического.1H ЯМР (CD3ОD), δ, м.д.: 1.67 (тш, Н12), 2.00 (тш, Н13, 2J 12.4 Гц), 2.16 (м, Н14), 2.28 (м, Н11), 2.88 (с, Н19), 3.30 (м, Н16+18), 3.7 (тш, Н17), 3.64 (дд, Н15, 2J 13.2 Гц), 4.28 (т, Н9, 2J 11. 1 Гц), 4.95 (с, ОН), 5.02 (дт, Н22, 2J 12.4 Гц), 5.14 (Н21, 2J 20.4 Гц), 5.78 (м, Н20, 2J 20.4 Гц, 3J 12.4 Гц), 6.51 (с, Н8), 8.09 (т, Н5, 2J 9.0 Гц), 8.23 (т, Н4, 2J 9.0 Гц), 8.35 (д, Н1), 8.41 (д, Н3), 8.90 (д, Н6), 9.26 (д, Н2). Нумерация атомов приведена в соответствии с рис. 1.
Приборы и методы
Хроматомасс-спектрометрометрия. Анализ дегидроацетиламинокислот и продуктов их гидрирования проводили на хроматомасс-спектрометре Shimadzu GCMS-QP2010 Plus в режиме электронного удара при 70 эВ с последующим сканированием в диапазоне m/z от 40 до 350; капиллярная колонка Equity 5 (30 м·0.25 мм, 95% диметилполисилоксана, 5% дифенилполисилоксана, газ-носитель – гелий). Условия анализа: линейная скорость: 29.2 см/с; начальное давление на входе в колонку: 42.8 кПа, температура ввода 250°С, термопрограммируемый нагрев печи колонки от 130 до 250°С со скоростью 20°С/мин, с последующим выдерживанием при температуре 250°С в течение 15 мин.
Рентгенофазовый анализ (РФА) твердых осадков выполняли на дифрактометре Shimadzu XRD 7000, при комнатной Т в диапазоне углов 3.000–80.000°, шаг сканирования 0.05°, рентгеновская трубка с Cu анодом Kα (λ = 0.15418 нм), фокусировка по Бреггу–Брентано с монохроматором на дифрагированном пучке. Идентификацию фаз проводили с помощью международной базы данных PDF-2. Средний диаметр кристаллитов палладия оценивали по полуширине линии (111), измеренной в 2θ, по уравнению Дебая–Шеррера.
Спектры ЯМР 1Н записаны на импульсном спектрометре Bruker DPX250 при 298 K в 5 мм ампулах с использованием широкополосного датчика BBO 5mm Z3074/58, внутренний стандарт – ГМДС. Концентрация растворов для записи спектров ЯМР 1Н составляла ~5%.
ПЭМ ВР. Изображения получены на приборе FEI Tecnai G2 с ускоряющим напряжением 200 кВ, оснащенным энергодисперсионным детектором (ЭДС) для выполнения элементного анализа. Анализ периодической структуры и фильтрация изображений выполнена с использованием быстрого преобразования Фурье (FFT) и обратного преобразования Фурье (IFFT). Межатомные расстояния определяли с помощью программы Digital Micrographs 2.30.
Каплю раствора катализатора (СPd = = 5–10 ммоль∙л–1), сформированного in situ, наносили на опорную сеточку, покрытую углеродной пленкой, и высушивали в атмосфере аргона. Условия съемки исключали плавление и разложение исследуемых образцов под действием электронного пучка.
Оптическое вращение чистых компонентов или их растворов определяли на цифровом автоматическом поляриметре ADP410 при длине волны 589 нм (длина кюветы – 50 мм, концентрация растворов – 1–5 г/100 мл). Энантиомерная чистота определена с использованием газового хроматографа Agilent 7890A GC, снабженного переключателем Дина, хиральной капиллярной колонкой CYCLODEX-B (30 м∙0.25 мм) и пламенно-ионизационным детектором.
Методика проведения типичного эксперимента
Гидрирование проводили в 100 мл автоклаве GlasUster cyclone 075 фирмы BUCHI в стальном сосуде с рубашкой. Автоклав снабжен цифровым манометром, клапаном для сброса давления газа, мотором циклон 075, вкрученным в крышку, соединенным с контроллером, воронкой с винтовой крышкой.
Бис-ацетилацетонат палладия (0.0304 г, 0.1 ммоль) растворяли в отдельном стеклянном сосуде в смеси 3 мл толуола с 4 мл метилового спирта, после чего в потоке молекулярного водорода вносили раствор (-)-цинхонидина (0.0294 г, 0.1 ммоль) в 5 мл метанола и перемешивали. Восстановление палладия газообразным водородом до элементного состояния через 25–30 мин было установлено в предварительных опытах: образуется темно-коричневый раствор, характерный для высокодисперсных наночастиц палладия, количество свободного ацетилацетона по данным ГХ–МС соответствует расчетному. После потемнения раствора соли палладия (~ 25 мин) переносили его через воронку в токе водорода в автоклав, вносили раствор субстрата (0.2 г, 4.6 ммоль) в 8 мл метилового спирта, поднимали давление Н2, включали перемешивание. Пробы для GCMS анализа отбирали каждые полчаса (час) через вмонтированный в автоклав донный выпускной клапан, сбросив предварительно давление Н2.
Для отделения продукта от катализатора пропускали реакционную смесь через слой хроматографического оксида алюминия ~ 16–25 см, добавляли в раствор продукта 0.5 г катионобменной смолы DOWEX 50W×10, перемешивали в течение 30 мин, отделяли смолу на фильтре Шотта и сушили при пониженном давлении (комнатная температура/10 мм рт. ст.).
Определение избытка энантиомеров
Избыток энантиомеров продуктов гидрирования – N-ацетил-R-фенилаланина и метилового эфира N-ацетил-R-фенилаланина определяли путем измерения удельного вращения раствора на поляриметре B+S ADP 410 (желтая линия натрия), используя поляриметрическую кювету длиной 5 см, и метиловый спирт в качестве растворителя.
Расчет удельного вращения проводили по формуле
,
где – удельное вращение плоскости поляризации образцом, α – значение угла вращения плоскости поляризации для образца, град; с – концентрация раствора, г/100 мл; l – длина кюветы, дм).
Избыток энантиомера определяли по формуле:
.
ОБСУЖДЕНИЕ РЕЗУЛЬТАТОВ
Стабилизаторы коллоидных частиц
Как известно, для увеличения устойчивости диспергированных в растворителях наночастиц металлов используют стабилизаторы, в качестве которых применяют как органические нейтральные молекулы и макромолекулярные системы, так и соединения ионного типа. Нейтральные стабилизаторы, как правило, координируются к поверхностным атомам металла через донорные гетероатомы (P, N, O, S и др.) и обеспечивают стерическую стабилизацию. Электростатическая стабилизация реализуется при использовании соединений ионного типа, таких как, например, четвертичные фосфониевые или аммонийные соли.
Целью настоящего исследования является изучение возможности получения ионных соединений на основе природного алкалоида хинного ряда 8S,9R-(-)-цинхонидина, 1, и их применения в качестве стабилизаторов и хиральных модификаторов поверхности наночастиц палладия.
Для получения ионного стабилизатора 2 проведено протонирование раствором HCl азотного атома хинуклидинового бициклического фрагмента. При обработке раствора (8S,9R)-(-)-цинхонидина, (-)-Cin, 1, газообразным HCl образуется стабилизатор 3, протонированный по двум атомам азота: в хинуклидиновом бициклическом фрагменте и в хинолиновом кольце (см. схему 1).
Схема 1. Синтез ионных стабилизаторов 2 и 3.
Характеристика катализаторов
Кинетические кривые гидрирования α-ААКК, характеризующиеся индукционными периодами различной продолжительности, образование темно-коричневых растворов при взаимодействии раствора Pd(Acac)2 c водородом, характерных для квазигомогенных металлических систем, свидетельствуют в пользу образования наночастиц палладия в каталитических системах [24, 25]. Для изучения коллоидных растворов и образцов палладия, выделенных из них, применены методы ПЭМ ВР, РФА.
Микрофотографии наночастиц Pd, образующихся в системе Pd(Аcac)2 – n1 – H2 в метаноле (n = 1, СPd = 10 ммоль∙л-1), приведены на рис. 2а и 2б. На врезке слева (рис. 2a) представлена дифракционная картина выделенной области (SAED) образца. Статистическое распределение ~ 300 частиц по размерам, полученное с микрофотографий, представлено на рис. 2в. Наблюдаются частицы со средневзвешенным диаметром 5.3 ± 0.8 нм, при высоком разрешении на атомном уровне проявляется их кристаллическая структура (рис. 2б). По снимкам ПЭМ ВР были определены межплоскостные расстояния, равные 2.2421; 1.9531; 1.3841; 1.1716 Å, которым, согласно базе PDF-2, соответствуют индексы Миллера 111 (2.2458 Å), 200 (1.9451 Å), 220 (1.3754 Å) и 311 (1.1716 Å) для элементного палладия. Энергодисперсионный спектр наночастиц палладия на медной сетке, покрытой углеродом, подтвердил присутствие в выбранной точке образца (рис. 2г) таких элементов, как углерод, кислород, палладий и медь (материал сетки).
Рис. 2. ПЭМ ВР микрофотографии каталитической системы Pd(Acаc)2–1–H2 и спектр РФА образца, выделенного из нее: а) микрофотография в масштабе 20 нм, вставка – дифракционная картина (SAED) от наночастиц Pd, б) микрофотография в масштабе 5 нм, в) гистограмма распределения наночастиц по размерам, д) спектр РФА выделенного образца, г) энергодисперсионный спектр (ЭДС) наночастиц палладия.
Твердый образец, выделенный из каталитической системы, дает наблюдаемые на спектрах РФА рефлексы кубического палладия Pd (рис. 2д), (пространственная группа Fm3m, JCPDS 46-1043), соответствующие плоскостям 111 (2θ = 40.15°), 200 (2θ = 46.60°), 220 (2θ = 68.15°). По уширению пиков на дифрактограммах были вычислены размеры областей когерентного рассеяния рентгеновских лучей (ОКР), соответствующие средним размерам наночастиц палладия. Так, на рис. 2д размер ОКР составляет 5.6 нм, что сопоставимо с результатами, полученными из микроснимка ПЭМ ВР, 5.6 и 5.3 нм соответственно. На электронограммах образцов, выполненных с помощью ПЭМ ВР, четко проявляются кольца {111}, {200}, {220}, {311}, соответствующие гранецентрированной кубической решетке.
Микрофотографии и гистограмма распределения по размерам наночастиц Pd в системе Pd(Аcac)2–n2–H2 в метаноле (СPd = 10 ммоль/л) приведены на рис. 3а и 3б. Индивидуальные частицы в скоплениях имеют средневзвешенный размер 4.2 ± 0.5 нм (рис. 3в) с толщиной межчастичных слоев около 1 нм, которые, вероятно, содержат ионы (8S,9R)-(-)-Cin*HCl, обеспечивающие электростатическую стабилизацию наночастиц палладия. На атомном уровне также проявляется кристаллическая структура наночастиц (рис. 3в), межплоскостные расстояния составляют 2.24 Å (плоскость 111 (2.2458 Å), база (JCPDS 46-1043).
Рис. 3. Микрофотографии ПЭМ ВР в масштабе 20 нм TEM образцов, выделенных из каталитических системы Pd(Acac)2–2–H2 (а), и Pd(Acac)2–3–H2 (в); гистограммы распределения наночастиц по размерам (б, г).
В отсутствие стабилизатора в системе Pd(Acac)2–H2 наблюдается образование Pd-черни со средневзвешенным размером частиц 10.5 ± 0.15 нм, показывающей наиболее высокую скорость процесса среди наблюдаемых (строка 7 табл. 1). Средневзвешенный размер частиц при переходе от системы Pd(Acac)2–1–H2 к системам со стабилизаторами 2 и 3 изменяется в ряду 5.3 ± 0.8 нм → 4.2 ± 0.5 нм → 4.7 ± 0.8 нм, при этом скорости реакции гидрирования W на этих системах соизмеримы по величине (табл. 1, строки 1, 4, 6). Таким образом, ионные стабилизаторы на основе (-)-цинхонидина позволяют получить наночастицы меньшего размера, чем в присутствии (-)-Cin.
Таблица 1. Влияние природы модификатора на гидрирование α-ААКК на каталитических системах Pd(acac)2 –n mod–H2 (СPd = 5 мM; СААКК = 0.24 M; mod/Pd = 1, Sub/Pd = 50; Vр-ра = 20 мл, Т = 25°С; PН2 = 5 атм, tреакции ~ 28 ч, растворитель – смесь толуол : метанол = 3 : 17)
№ п/п | Mod, (d, нм) | tинд, ч | Выход, % | и.э. (R)-(-), % | W, мМ∙ч–1 | CPd max B5, мМ | Aг, ч–1 | ||||
NАФА | МЭ N-АФА | α-ААКК1 | α-ААКК2 | WААКК2/ WААКК1 | α-ААКК1 | α-ААКК2 | |||||
1 | 2 | 3 | 4 | 5 | 6 | 7 | 8 | 9 | 10 | 11 | 12 |
1 | 1 (5.3) | 6.0 | 48.7 | 8.4 | 34.8 | 3.7 | 24.9 | 6.7 | 0.31 | 11.9 | 79.9 |
2а | 1 | 2.5 | 73.7 | 26.3 | 5.4 | 43.1 | 63.1 | 1.5 | 0.31 | 138.3 | 202.4 |
3б | 1 | 0 | 90.9 | 9.1 | 1.0 | 35.6 | 43.1 | 1.2 | 0.31 | 112.6 | 138.3 |
4 | 2 (4.2) | 2.5 | 83.5 | 11.0 | 22.9 | 16.4 | 29.4 | 1.8 | 0.46 | 36.0 | 64.6 |
5в | 2 | 0 | 60.3 | 22.7 | 6.8 | 5.8 | 6.4 | 1.1 | |||
6 | 3 (4.7) | 2.5 | 66.5 | 33.5 | 9.6 | 18.7 | 28.3 | 1.5 | 0.40 | 47.2 | 71.4 |
7 | (10.5) | 6.0 | 99.2 | 0.8 | 0 | 24.6 | 31.6 | 1.3 | 0.10 | 259.0 | 332.6 |
а – T = 40оС, б – T = 60°С, в – рН2 = 9 атм, г – активность рассчитана как W/CPd max B5
При гидрировании прохиральной С=С связи в N-ацетил-α-амидокоричной кислоте (α-ААКК) на исследуемых каталитических системах Pd(Acac)2–mod–H2 протекает реакция насыщения С=С связи по схеме 2.
Схема 2. Гидрирование N-ацетил-α-амидокоричной кислоты.
Исходный субстрат для энантиоселективного гидрирования по данным масс-спектрометрии представляет собой смесь Z- и E-изомеров α-ацетиламидокоричной кислоты (α-ААКК) в молярном соотношении 70 : 30. Метод 1Н и 13С ЯМР-спектроскопии не позволяет различить геометрические изомеры: химические сдвиги изомеров совпадают в условиях сьемки. При гидрировании этой смеси варьировали природу стабилизаторов: (-)-цинхонидин, 1, (-)-Cin, гидрохлорид цинхонидиния 2, (-)-Cin*HCl, бис-гидрохлорид цинхонидиния, 3, (-)-Cin*2HCl.
Одним из недостатков метода ГХ является требование относительно высокой летучести продукта, однако большинство хиральных колонок для ГХ имеют верхний предел температуры 180–230°C, поэтому и.э. продукта в опытах определяли поляриметрическим методом.
Влияние природы модификатора на эффективность каталитической системы Pd(Acac)2–mod–H2 в процессе гидрирования α-ААКК
Типичные результаты процессов гидрирования приведены в табл. 1. Во всех случаях, кроме эксперимента в отсутствие (-)-Cin (табл. 1, строка 7), в реакционной смеси помимо N-ацетил-фенилаланина образуется его метиловый эфир, причем этерификация N-АФА начинается сразу после или еще до полного превращения α-ААКК. Применение в качестве стабилизаторов протонированных производных 1 приводит: а) к увеличению выхода продуктов этерификации (табл. 1, строки 1, 4, 5, 6), что может быть связано с изменением типа стабилизации (стерического на электростатический) и б) к увеличению скорости гидрирования ААКК1 (табл. 1, строки 1, 4, 6) из-за потери координации стабилизатора с поверхностью наночастиц металла через азотные атомы. Наиболее высокий избыток (R)-(-)-N-АФА получен в присутствии (-)-цинхонидина.
На рис. 4а, 4б приведен пример наиболее типичной зависимости концентраций исходных изомеров и продукта реакции N-АФА от времени при гидрировании α-ААКК на каталитической системе Pd(Аcac)2 –1–H2 для двух температур. При Т = 25°C наблюдается предварительная частичная изомеризация ААКК1 (W = 5.9 мМ∙л–1) в изомер ААКК2, затем – гидрирование обоих изомеров в N-АФА со скоростями 3.7 и 24.9 мМ∙л–1 для ААКК1 и ААКК2 соответственно. При Т = 60°С (рис. 4б) протекает параллельное гидрирование изомеров в N-АФА, через 24 ч в реакционной смеси появляется около 9% метилового эфира N-АФА. Можно отметить, что и.э. продукта резко отличаются: 34.8% (25°С, табл. 1, строка 1) и 1% (60°С, табл. 1, строка 3), как и скорости гидрирования изомеров ААКК: если при 25°С, отношение WААКК2/WААКК1 = 6.7, то при Т = 60°С и Т = 40°С эта величина падает до 1.2, и 1.5 соответственно.
Рис. 4. Гидрирование изомеров α-ААКК1 (1) и α-ААКК2 (2) на каталитической системе Pd(Аcac)2–1–H2 с образованием N-АФА (3) (а) Т = 25°С; б) Т = 60°С; PН2 = 5 Бар, растворитель – смесь толуол : метанол = 3 : 17).
Приведенные закономерности основаны на анализе соотношения скоростей процессов гидрирования изомеров в отдельных экспериментах. При оценке удельной активности катализатора А в зависимости от подхода каждое измеренное значение скорости в эксперименте будет отнесено к одной и той же концентрации катализатора, будь то исходная концентрация всех атомов палладия или концентрация поверхностных атомов палладия, или концентрация включающих более одного поверхностного атома активных участков, количество которых обычно неизвестно. Полученное соотношение активностей гидрирования изомеров по-прежнему будет совпадать с соотношением скоростей.
Для оценки числа активных участков был применен митоэдрический метод исследования высокодисперсных металлических катализаторов [26, 27], разработанный профессором МГУ О.М. Полтораком. C учетом средневзвешенных размеров НЧ Pd (метод ПЭМ ВР) определено число атомов на поверхности частиц и количество активных центров (B5-sites) на поверхности граней кубооктаэдра, содержащего рассчитанное количество атомов. К этой величине (СPd max B5, мМ) были отнесены измеренные в экспериментах скорости (табл. 1, графы 11, 12). Тот факт, что скорости гидрирования изомеров при 40°С превышают таковые при 60°С, вероятно, указывает на уменьшение числа активных областей на поверхности наночастиц с возрастанием температуры эксперимента (табл. 1, строки 2 и 3).
Результаты, приведенные в табл. 2, показывают, что в реакции каталитического энантиоселективного гидрирования N-ацетил-α-амидокоричной кислоты во всех случаях преимущественно образуется (R)-(-)-энантиомер N-АФА, причем его выход достигает максимальных значений при отношении (-)-Cin/Pd = 2.
Таблица 2. Влияние мольного отношения (-)-Cin/Pd на гидрирование изомеров α-ААКК на каталитических системах Pd(Аcac)2–nCin–H2 (СPd = 5 мМ; Sub/Pd = 50; Vр-ра = 20 мл, Т = 25°С; PН2 = 5 атм, растворитель – смесь толуол : метанол = 3 : 17)
№ п/п | n | tинд, ч | Выход, % | и.э. (R)-(-) N-АФА, % | W, мМ∙ч-1 | ||||
N-АФА | МЭ N-АФА | α-ААКК1 | α-ААКК2 | WААКК2/ WААКК1 | N-АФА | ||||
1 | 0 | 6.0 | 99.2 | 0.8 | 0 | 24.6 | 31.6 | 1.3 | |
2 | 1 | 6.0 | 48.6 | 8.4 | 34.8 | 3.7 | 24.9 | 6.7 | 4.8 |
3 | 1.5 | 6.5 | 80.7 | 10.2 | 46.6 | 2.2 | 13.5 | 6.4 | 10.0 |
4 | 2 | 3.5 | 81.9 | 12.1 | 78.1 | 1.5 | 11.8 | 7.9 | 8.7 |
5а | 6 | 0.5 | 49.5 | 50.5 | 20.4 | 4.3 | 7.9 | 1.8 | 4.0 |
а – отношение Sub/Pd = 12.5.
Влияние мольного отношения 1/Pd на гидрирование изомеров α-ААКК на каталитической системе Pd(acac)2–n1–H2
В экспериментах (рис. 5) с увеличением мольного отношения 1/Pd от 1 до 2 уменьшаются скорости гидрирования изомеров, при этом соотношение WААКК2/WААКК1 растет от 6.7 до 7.9, что сопровождается увеличением и.э. (R)-(-)-энантиомера N-АФА до 78.1% (табл. 2, строки 1–4). Наблюдается углубление процесса этерификации продукта энантиоселективного гидрирования – N-АФА.
Рис. 5. Зависимость скорости гидрирования изомеров α- ААКК2 (1), ААКК1 (2) и и.э. (R)-(-)-N-АФА (3), на каталитических системах Pd(Аcac)2–nCin–H2 от мольного отношения 1/Pd.
Значительное падение скорости реакции на системе Pd(Аcac)2–nCin–H2 при шестикратном избытке стабилизатора может быть объяснено сокращением доступных активных центров поверхности наночастиц палладия в результате смещения адсорбционно-десорбционного равновесия (-)-Cin/(-)-Cinадс. Уменьшение соотношения WААКК2/WААКК1 до 1.8 коррелирует с падением избытка (R)-(-)-энантиомера продукта до 20.4% в результате увеличения скорости гидрирования альтернативного изомера ААКК1, приводящего к (S)-(+)-N-АФА.
Производительность системы (TON) определена при Т = 60°С. До полной дезактивации катализатора (С = 0.31 мМ) на 1 активном центре прогидрировалось 3.7 порций субстрата по 250 мМ, что составляет 925 мМ, а TON = 2984 оборота (рис. 6).
Рис. 6. Образование N-АФА на системе Pd(Аcac)2–Cin–H2 (СPd = 0.31 мМ; Sub/Pd = 1000; Vр-ра = 20 мл, Т = 60оС; PН2 = 5 атм, стрелками указано время внесения порции субстрата).
Таким образом, изомер ААКК2 приводит к (R)-(-)-N-АФА, а ААКК1 к (S)-(+)-N-АФА, реакция протекает под термодинамическим контролем. Можно отметить, что преимущественное образование (R)-(-)-N-АФА при гидрировании α-ААКК на модифицированном (-)-Cin катализаторе Pd/Al2O3, что отмечено и в работе [17].
Квантово-химические расчеты, проведенные для определения более термодинамически устойчивого изомера α-ААКК путем оптимизации геометрии в программе PС Gammes [28], предсказывают более устойчивую структуру (на 4 ккал/моль) для Z-изомера N-ААКК. Вероятно, содержание именно этого изомера в исходной смеси составляет 70% (ААКК2).
Если предположить, что в реакции гидрирования присоединение атома водорода к прохиральному атому углерода в субстрате происходит со стороны наблюдателя, то из Z-изомера образуется R-энантиомер N-ацетилфенилаланина, а из Е-изомера, соответственно, S-энантиомер (рис. 7).
Рис. 7. Гидрирование геометрических изомеров (Z)-N-ААКК и (E)-N-ААКК c образованием энантиомеров N-АФА.
Таким образом, система Pd(Аcаc)2–mod–H2, где mod – (8S,9R)-цинхонидин, может обеспечить хороший и.э. только в том случае, когда скорость миграции двойной связи в α-ААКК превосходит скорость ее гидрирования и концентрация Z-изомера кислоты увеличивается [17, 29].
Подобные ограничения хирально-модифицированных катализаторов Pd можно ожидать при гидрировании других ненасыщенных соединений, имеющих связь C = C или C = N, из-за обычно высокой активности Pd в отношении миграции двойной связи [17].
Этерификация N-АФА
Наряду с классическими методами этерификации кислот в присутствии оснований, кислот Бренстеда и Льюиса, в научной литературе известны способы этерификации карбоновых кислот в присутствии хлоридов металлов: палладия (2+) [30], олова (2+) [31], индия (3+) [32].
Образование МЭ N-АФА в заметном количестве в системах Pd(Acac)2–2(3)–H2 с протонированными производными (-)-Cin, очевидно, объясняется тем, что реакция этерификации катализируется протонами кислоты HCl (см. табл. 1, строки 4, 5, 6).
В то же время этерификацию N-АФА при гидрировании α-ААКК на каталитической системе Pd(Acac)2–1–H2 нельзя объяснить кислотным катализом с участием HCl. Можно предположить, что в этом случае реализуется автокаталитическая реакция этерификации с участием α-ААКК, как источника протона. Можно отметить, что реакция этерификации начинает преобладать при отношении (-)-Cin/Pd > 4, когда реакция гидрирования на наночастицах палладия подавлена избытком модификатора на поверхности.
ЗАКЛЮЧЕНИЕ
Коллоидная каталитическая система Pd(Аcаc)2– mod–H2, где mod – (8S,9R)-цинхонидин, 1, и его протонированные производные (8S,9R)-цинхонидин*HCl, 2, (8S,9R)-цинхонидин*2HCl, 3, проявляет каталитическую активность в асимметрическом гидрировании α-ААКК. Во всех системах происходит формирование наночастиц палладия со средневзвешенными размерами 5.3 ± 0.8 нм, 4.2 ± 0.5 нм и 4.7 ± 0.8 нм соответственно, при соизмеримых по величине скоростях реакции гидрирования.
Увеличение соотношения скоростей гидрирования двух изомеров α-ААКК от 6.1 до 8.2 при росте мольного отношения (-)-Cin/Pd от 0 до 2 приводит к возрастанию избытка (R)-(-)-энантиомера N-АФА до 78% и углублению процесса этерификации продукта энантиоселективного гидрирования N-АФА.
Согласно стереохимическому анализу изомеры α-ААКК гидрируются с образованием энантиомеров N-АФА разного знака в продукте. В условиях реакции наблюдается цис-транс изомеризация одного изомера α-ААКК в другой, предваряющая процесс гидрирования.
Очевидным следствием конкурирующей реакции гидрирования изомеров субстрата является необходимость тщательного анализа влияния параметров в реакциях асимметричного гидрирования, катализируемых Pd.
Избыток энантиомера N-ацетилфенилаланина достигает 78% (R)-(-)-энантиомера на системе Pd(Аcаc)2–1–H2 при отношении (8S,9R)-(-)-цинхонидин/Pd = 1.5, тогда как протонированные формы хинного алкалоида в качестве модификаторов каталитической системы Pd(Аcаc)2–mod–H2 показывают меньшую эффективность в отношении хиральной индукции.
ФИНАНСИРОВАНИЕ РАБОТЫ
Работа финансировалась за счет средств ФГБОУ ВО “Иркутский национальный исследовательский технический университет”.
СОБЛЮДЕНИЕ ЭТИЧЕСКИХ СТАНДАРТОВ
В данной работе отсутствуют исследования человека или животных.
КОНФЛИКТ ИНТЕРЕСОВ
Авторы заявляют об отсутствии конфликта интересов, требующего раскрытия в данной статье.
About the authors
L. O. Nindakova
Иркутский национальный исследовательский технический университет
Author for correspondence.
Email: nindakova@istu.edu
Russian Federation, ул. Лермонтова, 83, Иркутск, 664074
V. O. Strakhov
Иркутский национальный исследовательский технический университет
Email: nindakova@istu.edu
Russian Federation, ул. Лермонтова, 83, Иркутск, 664074
N. M. Badyrova
Иркутский национальный исследовательский технический университет
Email: nindakova@istu.edu
Russian Federation, ул. Лермонтова, 83, Иркутск, 664074
References
- Jansat S., Picurelli D., Pelzer K., Philippot K., Gómez M., Muller G., Lecante P., Chaudret B. Synthesis, characterization and catalytic reactivity of ruthenium nanoparticles stabilized by chiral N-donor ligands// New J. Chem. 2006. V. 30. № 1. P. 115–122. https://doi.org/10.1039/B509378C
- Blaser H.U., Federsel H.-J. Asymmetric catalysis on industrial scale: Challenges, approaches and solutions. Weinheim: Wiley-VCH, 2011.
- Blaser H.U., Pugin B., Spindler F. Progress in enantioselective catalysis assessed from an industrial point of view // J. Mol. Catal. A: Chem. 2005. V. 231. № 1–2. P. 1–20. https://doi.org/10.1016/j.molcata.2004.11.025
- Tang W., Zhang X. New chiral phosphorus ligands for enantioselective hydrogenation // Chem. Rev. 2003. V. 103. № 8. P. 3029–3070. https://doi.org/10.1021/cr020049i
- Tao F. Metal Nanoparticles for Catalysis: Advances and Applications. RSC Catalysis Series // Royal Society of Chemistry Book. 2014. V. 17. P. 1–156. https://doi.org/10.1039/9781782621034
- Barbaro P., Santo V.D., Liguori F. Emerging strategies in sustainable fine-chemical synthesis: Asymmetric catalysis by metal nanoparticles // Dalton Trans. 2010. V. 39. № 36. P. 8391–8402. https://doi.org/10.1039/C002051F
- Yasukawa T., Suzuki A., Miyamura H., Nishino K., Kobayashi S. Chiral metal nanoparticle systems as heterogeneous catalysts beyond homogeneous metal complex catalysts for asymmetric addition of arylboronic acids to α,β-unsaturated carbonyl compounds // J. Am. Chem. Soc. 2015. V. 137. № 20. P. 6616–6623. https://doi.org/10.1021/jacs.5b02213
- Grabulosa A., Lavedan P., Pradel Ch., Muller G., Gómez M., Raluy E. P-stereogenic phosphines for the stabilisation of metal nanoparticles. A surface state study // Catalysts. 2016. V. 6. № 12. P. 213. https://doi.org/10.3390/catal6120213
- Smith G.V., Cheng J., Song R. Enantioselective hydrogenation of prochiral C=C bonds over nobel metal catalysts supported by β-cyclodextrin polymer. Catalysis of organic reactions. New York-Basel-Hong Kong: Marcel Dekker, 1996.
- Hall T.J., Johnston P., Vermeer W.A.H., Watson S.R., Wells P.B. Enantioselective hydrogenation catalysed by palladium // Stud. Surf. Sci. Catal. 1996. V. 101. P. 221–230. https://doi.org/10.1016/S0167-2991(96)80232-1
- Li M., He W., Zhang S-Y. The use of cinchona alkaloid derivatives as chiral ligands and organocatalysts in asymmetric catalysis // Mini-Rev. Org. Chem. 2022. V. 19. № 2. P. 146–165. http://dx.doi.org/10.2174/1570193X18666210428133120
- Perez J.R.G., Malthete J., Jacques J. Hydrogenation asymetrique d’acides cinnamiques prochiraux en presence de Pd sur charbon et de bases chirales // Compt. Rend. 1985. V. 300. № 5. P. 169–172.
- Szӧllősi G., Niwa S.I., Hanaoka T.A., Mizukami F. Enantioselective hydrogenation of α,β-unsaturated carboxylic acids over cinchonidine-modified Pd catalysts: Effect of substrate structure on the adsorption mode // J. Mol. Cat. A. Chem. 2005. V. 230. № 1–2. P. 91–95. https://doi.org/10.1016/j.molcata.2004.12.019
- Szӧllősi G., Szabó E., Bartók M. Enantioselective hydrogenation of N-acetyldehydroamino acids over supported palladium catalysts // Adv. Synth. Catal. 2007. V. 349. № 3. P. 405–410. https://doi.org/10.1002/adsc.200600304
- Borszeky K., Mallat T., Baiker A. Enantioselective hydrogenation of 2-methyl-2-pentenoic acid over cinchonidine-modified Pd/alumina // Catal. Lett. 1996. V. 41. P. 199–202. https://doi.org/10.1007/BF00811491
- Borszeky K., Mallat T., Baiker A. Enantioselective hydrogenation of α,β-unsaturated acid. Substrate-modifier interaction over cinchonidine modified Pd/Al2O3 // Tetrahedron: Asymmetry. 1997. V. 8. № 22. P. 3745–3753. https://doi.org/10.1016/S0957-4166(97)00526-0
- Borszeky K., Mallat T., Baiker A. Palladium-catalysed enantioselective hydrogenation of alkenoic acids. Role of isomerization // Catal. Lett. 1999. V. 59. P. 95–97. https://doi.org/10.1023/A:1019049311321
- Deng G.-J., Fan Q.-H., Chen X.-M., Liu D.-S., Chan A.S.C. A novel system consisting of easily recyclable dendritic Ru-BINAP catalyst for asymmetric hydrogenation // Chem. Commun. 2002. № 15. P. 1570–1571. https://doi.org/10.1039/B203117E
- Chan A.S.C., Pluth J.F., Halpern J. Identification of the enantioselective step in the asymmetric catalytic hydrogenation of a prochiral olefins // J. Amer. Chem. Soc. 1980. V. 102. № 18. P. 5952–5954. https://doi.org/10.1021/ja00538a064
- Broadley K.J. The vascular effects of trace amines and amphetamines // Pharmacology & Therapeutics. 2010. V. 125. № 3. P. 363–375. https://doi.org/10.1016/j.pharmthera.2009.11.005
- Segawa M. Hereditary progressive dystonia with marked diurnal fluctuation // Brain Dev. 2000. № 22. P.65–80. https://doi.org/10.1016/s0387-7604(00)00148-0
- Ниндакова Л.О., Страхов В.О., Колесников С.С. Гидрирование кетонов на диспергированных хирально-модифицированных наночастицах палладия // Журнал общей химии. 2018. Т. 88. № 2. С. 219–227.
- Гордон А., Форд Р. Спутник Химика. Перевод с англ. Розенберг Е.Л., Коппель С.И. Москва: Мир, 1976. С. 437–465.
- Bonnemann H., Braun G., Brijoux W., Brinkmann R., Schulze T.A., Seevogel K., Siepen K. Nanoscale colloidal metals and alloys stabilized by solvents and surfactants. Preparation and use as catalyst precursors // J. Organomet. Chem. 1996. V. 520. № 1–2. P. 143–162. https://doi.org/10.1016/0022-328X(96)06273-0
- Hagen C. M., Widegren J.A., Maitlis P.M., Finke R.G. Is it homogeneous or heterogeneous catalysis? Compelling evidence for both types of catalysts derived from [rh(η5-c5me5)cl2]2 as a function of temperature and hydrogen pressure // J. Am. Chem. Soc. 2005. V. 127. № 12. P. 4423–4432. https://doi.org/10.1021/ja044154g
- Poltorak O.M., Boronin V.S. A new method of studying active centres in crystalline catalysts // Russ. J. Phys. Chem. 1966. V. 40. P. 1436–1445.
- Van Hardeveld R., Hartog F. The statistics of surface atoms and surface sites on metal crystals // Surface Science. 1969. V. 15. № 2. P. 189–230. https://doi.org/10.1016/0039-6028(69)90148-4
- Schmidt M.W., Baldridge K.K., Boatz J.A., Elbert S.T., Gordon M.S., Jensen J.H., Koseki S., Matsunaga N., Nguyen K.A., Su S., Windus T.L., Dupuis M., Montgomery J.A. General atomic and molecular electronic structure system // J. Comput. Chem. 1993. V. 14. № 11. P.1347–1363. https://doi.org/10.1002/jcc.540141112
- Tungler A., Sipos E., Hada V. Heterogeneous catalytic asymmetric hydrogenation of the C=C bond // Current Organic Chemistry. 2006. V. 10. № 13. P. 1569–1583. https://doi.org/10.2174/138527206778249595
- Свирский К.С., Кунакова Р.В., Зайнуллин Р.А., Докичев В.А. Катализируемая PdCl2 этерификация карбоновых кислот и переэтерификация сложных эфиров // Башкирский химический журнал. 2010. Т. 17. № 2. С. 162–164.
- Cho C., Kim D., Choi H., Kim T., Shim S. Catalytic activity of tin(II) chloride in esterification of carboxylic acids with alcohols // Bull. Korean Chem. Soc. 2002. V. 23. № 4. P. 539–540. https://doi.org/10.1002/chin.200244079
- Mineno T., Kansuii H. High yielding methyl esterification catalyzed by indium (III) chloride // Chem. Pharm. Bull. 2006. V. 54. № 6. P. 918–919. https://doi.org/10.1248/cpb.54.918
Supplementary files












