Коллоидные свойства дисперсии плодов софоры японской
- Authors: Васильева П.А.1, Дмитриева И.Б.1
-
Affiliations:
- ФГБОУ ВО Санкт-Петербургский химико-фармацевтический университет
- Issue: Vol 86, No 1 (2024)
- Pages: 26-36
- Section: Articles
- Submitted: 21.06.2024
- Accepted: 21.06.2024
- Published: 15.01.2024
- URL: https://journals.rcsi.science/0023-2912/article/view/257594
- DOI: https://doi.org/10.31857/S0023291224010047
- ID: 257594
Cite item
Full Text
Abstract
Лекарственное растительное сырье является важным источником биологически активных веществ (БАВ), которые применяются в фармацевтической, косметической, пищевой и других отраслях промышленности. Плоды софоры японской содержат комплекс БАВ, наибольшее количество из которых составляют флавоноиды. В работе представлены данные по изучению коллоидных свойств измельченных плодов софоры японской (далее софоры) с целью улучшения извлечения БАВ. Для достижения цели были поставлены следующие задачи: изучение ζ-потенциала частиц софоры при различном времени контакта частиц с экстрагентом и pH средой; определение изоэлектрической точки (ИЭТ) частиц софоры методом электрофореза; определение точки нулевого заряда (ТНЗ) частиц софоры при помощи потенциометрического титрования; изучение влияния pH среды, размера частиц софоры, температуры, присутствия поверхностно-активных веществ и ионов, природы экстрагента на процесс набухания софоры. Точка нулевого заряда pHтнз водной дисперсии софоры составляет 5.8, экстрагируемых флавоноидов – 5.2, что близко по значению с pHиэт. Набухание частиц софоры – ограниченное и сопровождается постепенным разрушением растительной клетки. Адсорбционное равновесие достигается в течение 30 мин. В щелочной области и в присутствии спирта набухание частиц софоры ухудшается, а при воздействии температуры и в присутствии ионов NaI набухание возрастает.
Full Text
ВВЕДЕНИЕ
Извлечение биологически активных веществ (БАВ) из природного сырья и применение соответствующих экстрактов в фармацевтической, косметической и пищевой промышленности в настоящее время является актуальным вследствие широкого спектра действия этих веществ [1]. Флавоноиды относятся к одним из наиболее важных метаболитов растений, а сырье, содержащее комплекс данных веществ, активно используется для экстракции [2–4].
Плоды софоры японской содержат большое количество флавоноидов, основным из которых является рутин. Данное лекарственное-растительное сырье (ЛРС) описано в Государственной фармакопее Российской Федерации, а настойка из него под названием “Софорин” разрешена Фармакопейным комитетом. Широкий спектр действия способствует использованию софоры японской при лечении различных патологий (образовании рубцов, гнойном отите, тонзиллите, варикозных расширениях вен голени и др.) [5–7]. В Корее экстракт из плодов софоры японской рекомендуется при менопаузе, а также описывается процедура его регистрации [8].
Процесс экстракции БАВ из ЛРС состоит из нескольких стадий: предварительной подготовки сырья (сушки и измельчения), набухания частиц растительных клеток в жидкости (экстрагент), диффузии БАВ из клеточного сока к стенкам клетки и от стенок клетки в объем экстрагента, адсорбции БАВ на клеточной стенке и последующей десорбции их в экстрагенте [9, 10].
Увеличение выхода БАВ в процессе экстракции достигается подбором метода экстракции (мацерация, перколяция, непрерывная экстракция в аппарате “Сокслет”) и подходящего экстрагента; путем использования добавок, таких как электролиты и поверхностно-активные вещества; применение ультразвукового, микроволнового воздействий или высоких температур [11–14]. В прошлых работах автора, а также в работах других исследователей было отмечено, что экстракцию флавоноидов из плодов софоры японской возможно проводить такими методами, как мацерация, перколяция и экстракция с обратным холодильником [3, 9]. Все эти методы имеют достаточно высокий выход флавоноидов, что позволяет использовать их для оценки параметров экстракции, в том числе и оценки коллоидных свойств дисперсии частиц плодов софоры японской. Особенности методов состоят в аппаратурном различии и методиках, а также в различии количественного содержания флавоноидов в экстракте при использовании того или иного метода. Так, наибольший выход флавоноидов в процессе экстракции из плодов софоры японской отмечен в процессе экстракции спиртом этиловым 50% при нагревании с обратным холодильником. А наиболее простой методикой, дающей значительный выход в данном процессе, является перколяция. Различные виды ЛРС обладают собственным уникальным составом, также части растения (плоды, листья, цветки), используемые для извлечения, влияют на экстракцию, поэтому для каждого вида природного сырья существует индивидуальный метод экстракции, позволяющий выделить наибольшее количество ценных веществ [15]. Данные особенности также связаны с коллоидными свойствами получаемых дисперсий растений в экстрагенте.
Исследование коллоидных свойств дисперсии измельченных плодов и взаимодействие их с извлекателем способствует более детальному описанию механизма экстракции флавоноидов из данного вида сырья и оценке показателей, способствующих интенсификации процесса.
К коллоидным свойствам дисперсии ЛРС авторы относят: размер частиц дисперсии; ζ-потенциал частиц; изоэлектрическую точку, точку нулевого заряда частиц. Эти показатели влияют на характер взаимодействия частиц с экстрагентом и, тем самым, воздействуют на процесс адсорбции и десорбции БАВ в процессе экстракции.
При уменьшении размера частиц ЛРС площадь контакта экстрагента с частицей увеличивается, улучшается смачиваемость сырья. Однако чрезмерное измельчение способствует увеличению выхода балластных веществ, которые могут снижать экстракцию целевых компонентов; также возможно образование мути в экстракте и сложность его фильтрации [16].
Растительная клетка высушенного сырья имеет свои особенности: в процессе сушки клетки растительного сырья теряют влагу, протоплазма сморщивается, а содержимое клеток превращается в сухой остаток. Внутренняя часть такой клетки состоит из воздуха, а высушенный материал представляет собой губчатую структуру. В отличие от живой клетки, где экстрагент проникает внутрь клетки в процессе осмоса через полупроницаемую протоплазму, в высушенный растительный материал экстрагент проникает через пористую перегородку [17].
Растительная клеточная оболочка состоит из метилцеллюлозы, гемитилцеллюлозы, лигнина, пектинов. Клеточная мембрана также может содержать кутин, суберин. Все эти вещества вносят большой вклад в ее поверхностный заряд [18]. ζ-потенциал представляет собой электрический потенциал в двойном слое на границе раздела фаз (между частицей и экстрагентом).
Также на электрический заряд влияют физико-химические факторы [19]. Авторы относят к таким pH экстрагента, время контакта частиц с экстрагентом, поэтому данные факторы были оценены в данной статье.
pH, при котором происходит равенство адсорбированных H+ и OH– ионов, называют рН точки нулевого заряда. Изоэлектрическая точка соответствует состоянию дисперсной системы, при котором ζ-потенциал равен нулю. В отсутствие специфической адсорбции изоэлектрическая точка (ИЭТ) и точка нулевого заряда (ТНЗ) совпадают, а в случае специфической адсорбции данные величины смещаются и не совпадают [20].
Многие авторы обращают внимание на то, что pH экстрагента является важным фактором при экстракции флавоноидов, который оказывает существенное влияние на выход извлекаемых веществ [21].
Помимо коллоидных свойств дисперсии ЛРС, на процесс экстракции влияют свойства экстрагента (его полярность, вязкость, поверхностная активность, ионная сила и др.) за счет способности смачивания и проникновения по капиллярам внутрь клетки, особое влияние оказывает способность извлекателя растворять целевые компоненты [14, 22, 23].
В работе представлены данные по изучению коллоидных свойств измельченных плодов софоры японской с целью улучшения извлечения БАВ.
Для достижения цели были поставлены следующие задачи: изучение ζ-потенциала частиц софоры при различном времени контакта частиц с экстрагентом и pH среды; определение ИЭТ частиц софоры методом электрофореза; определение ТНЗ частиц софоры при помощи потенциометрического титрования; изучение влияния pH среды, размера частиц софоры, температуры, ультразвука, присутствия поверхностно-активных веществ и ионов, природы экстрагента на процесс набухания софоры.
ЭКСПЕРИМЕНТАЛЬНАЯ ЧАСТЬ
Объектом исследования являлись плоды софоры японской ТУ 9198–001–0145156605–16, которые предварительно механически измельчали и просеивали с помощью фракционных сит различного размера.
Для оценки влияния различных факторов на процесс набухания измельченных плодов софоры японской использовали следующую методику. Сырье с определенным размером частиц (в зависимости от цели эксперимента) взвешивали на лабораторных весах Shinko HTR-220 CE 0010104000921. Навеску 2 ± 0.025 г помещали в мерный цилиндр на 10 ± 0.10 мл, к ней добавляли 4 ± 0.10 мл экстрагента.
В качестве экстрагента использовали: воду очищенную, спирт этиловый 50%, растворы электролитов (хлорида, иодида и роданида натрия) и поверхностно-активных веществ (ПАВ). Растворы ПАВ (лаурета-2, натрия лаурил саркозината и кокамидопропиленгликольдимонийхлоридфосфата) готовили выше и ниже критической концентрации мицеллообразования (ККМ). ККМ определяли при помощи прибора Де-Нуи (тензиометрически).
Объем частиц измельченных плодов софоры японской, занимающий цилиндр, фиксировали в начальный момент времени и через 10, 20, 30, 40, 60, 90, 120 мин после добавления экстрагента. Степень набухания рассчитывали по формуле:
, (1)
где Vt – объем, занимаемый частицами плодов софоры японской, в момент времени t; V0 – объем, занимаемый частицами плодов софоры японской, в начальный момент времени.
Для изучения коллоидных свойств дисперсии и вытяжки плодов софоры японской проводили экстракцию методом перколяции и экстракцию при кипячении с обратным холодильником.
Методика экстракции перколяцией. Навески измельченного сырья (5 ± 0.025 г) с размером частиц от 0.1 до 0.2 см заливали частью экстрагента и отстаивали в течение 60 мин. Далее набухшее сырье загружали в перколятор, на дне которого была установлена марля. Выше перколятора помещали делительную воронку с рассчитанным количеством экстрагента.
В работе использовались следующие экстрагенты: дистиллированная вода, дистиллированная вода, подкисленная соляной кислотой 0.1 моль/л до определенного значения рН (2.80; 3.90; 5.29), дистиллированная вода, подщелоченная едким натром 0.01 моль/л до pH (8.00; 8.23; 9.00). Подачу экстрагента устанавливали таким образом, чтобы скорость подачи была равна скорости выхода вытяжки с целью поддержания разности концентраций и стабильного контакта жидкости с сырьем.
После чего анализировали вытяжку и дисперсию.
Определение ζ-потенциала осуществляли электрофоретическим методом. Измерения проводили непосредственно после получения вытяжки, через 30, 45 мин, через 1 ч. Расчеты ζ-потенциала проводили по формуле (2).
, (2)
где h – смещение границы золя, м; h – вязкость дисперсной среды (0.0011 Н·с/м2); l – расстояние между электродами, м; t – время электрофореза, с; e – диэлектрическая проницаемость среды; e0 – электрическая постоянная (8.85 ∙ 10–12А ∙ с/(В ∙ м)); Е – напряженность электрического поля, В.
Сорбцию ионов H+ и OH– на частицах водной дисперсии софоры определяли при помощи метода непрерывного потенциометрического титрования исходного раствора, экстракта и водной дисперсии плодов софоры японской.
Методика экстракции при кипячении с обратным холодильником использовалась для количественного определения флавоноидов в извлечении. Навески измельченного сырья (5 ± 0.025 г) с размером частиц от 0.1 до 0.2 см заливали частью экстрагента и отстаивали в течение 60 мин в круглодонной колбе. Далее к набухшему сырью добавляли оставшуюся часть экстрагента, колбу помещали на кипящую водяную баню, соединяли с обратным холодильником и выдерживали 15 мин с момента закипания содержимого внутри колбы, после чего содержимое колбы охлаждали и фильтровали. Измеряли объем полученного фильтрата и доводили его до заданного объема 20 мл.
Количественное определение флавоноидов проводили спектрофотометрическим методом по реакции комплексообразования с хлоридом алюминия. Готовили раствор А (раствор сравнения) следующим образом: в колбу на 25 мл помещали 3 мл извлечения, 0.2 мл 1% уксусной кислоты, далее этиловым спиртом 95% доводили до метки.
Раствор Б готовили аналогично: в колбу на 25 мл помещали 3 мл извлечения, 0.2 мл 1% уксусной кислоты, 5 мл 10% раствора алюминий хлорида, далее этиловым спиртом 95% доводили до метки.
Раствор А и раствор Б выдерживали 30 мин. Далее определяли оптическую плотность при длине волны 410 нм на фотоколориметре СФ-2000. Для количественной оценки использовали градировочный график по стандарту рутина и соответствующую формулу (3) для расчета [9]:
, (3)
где D – оптическая плотность испытуемого раствора; Dст – оптическая плотность стандартного раствора рутина; Cст – концентрация стандартного раствора рутина, мг/мл; Kр – коэффициент разведения; Vизвл – объем получаемого извлечения, мл; l – толщина кюветы, см.
Статистическая обработка данных проводилась в программе Excel. Оценку достоверности различий между выборками проводили параметрическим методом для независимых выборок, определяя t-критерий Стьюдента.
РЕЗУЛЬТАТЫ И ОБСУЖДЕНИЕ
В ходе изучения электрокинетических свойств водных дисперсий частиц софоры японской проведено исследование влияния времени контакта частиц софоры японской с раствором НСl на ζ-потенциал (рис. 1) и рН растворов (рис. 2).
Рис. 1. Зависимость ζ-потенциала от времени контакта частиц софоры и растворителя при рН (2.80; 3.90; 5.29).
Рис. 2. Зависимость ζ-потенциала частиц софоры от pH среды.
В первые 30 мин происходит уменьшение электрокинетического потенциала, а затем достигается равновесие и процесс диффузии веществ из дисперсии в раствор прекращается. Таким образом, данное время является оптимальным для проведения экстракции БАВ из плодов софоры японской.
Влияние pH экстрагента на ζ-потенциал дисперсии плодов софоры японской представлено на рис. 2. Измерение было проведено через 30 мин после получения экстракта.
В кислой области (при рН < 6) частицы плодов софоры заряжены положительно, с увеличением рН в щелочную область величина ζ-потенциала уменьшается. Вследствие адсорбции и десорбции ионов H+ и OH– на активных центрах частиц софоры образуется заряд. Активными центрами частиц плодов софоры японской являются амино-, карбоксигруппы и др., которые являются составляющими белков, углеводов, липидов, нуклеиновых и органических кислот клеток растений [6–10]. Положительный заряд частиц в кислой области обусловлен сорбцией ионов H+, отрицательный заряд в щелочной области обусловлен сорбцией OH–. В пределах рН ~ 6 ζ-потенциал равен нулю, это значение соответствует изоэлектрической точке (pHиэт). Наличие плато на кривой ζ – рН в диапазоне рН 4–6, по-видимому, связано с экстракцией различных БАВ из диспергированных частиц софоры.
На рис. 3 представлены кривые потенциометрического титрования фонового раствора, экстракта и водной дисперсии плодов софоры японской.
Рис. 3. Кривые потенциометрического титрования водной дисперсии софоры, экстракта и фонового раствора.
При титровании полученного экстракта, как и при титровании частиц, остающихся после фильтрации (жмыха), получены схожие результаты. При pH 5.8 в случае титрования жмыха и при pH 5.2 в случае экстракта происходит пересечение кривых с исходной кривой (кривой титрования кислоты щелочью). Эти значения соответствуют точке нулевого заряда (pHтнз), то есть происходит равенство количества адсорбированных ионов H+ и OH–. Данное значение близко к значению pHиэт, что подтверждает отсутствие специфической сорбции других ионов.
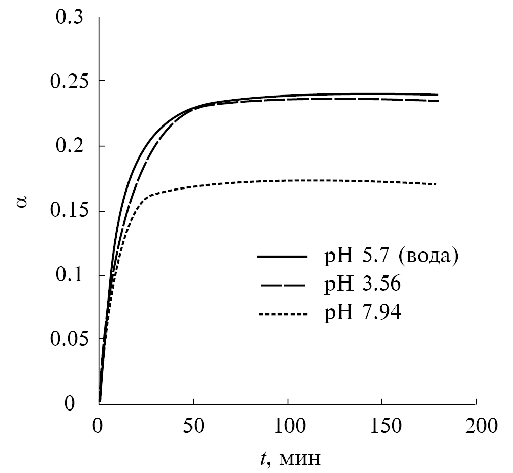
На экстракцию из растительного сырья влияет способность частиц плодов софоры японской к набуханию. На рис. 4 приведена зависимость степени набухания частиц софоры от времени контакта с растворами при различных рН. Значение pH 5.7 соответствует наибольшему набуханию частиц софоры японской, более кислое значение pH не влияет на увеличение максимальной степени набухания (aмакс), а щелочное значение снижает aмакс (рис. 4). Константа набухания при изменении pH экстрагента увеличивается, что соответствует снижению скорости набухания (табл. 1). Интересно отметить, что в растворах высокомолекулярных соединений (ВМС) наименьшему набуханию соответствует значение pHиэт [24]. Однако при набухании лекарственного растительного сырья этого не происходит, несмотря на то, что оно состоит из различных ВМС. Авторы объясняют это тем, что растительные вещества имеют клеточную структуру, благодаря чему сворачивание их в глобулу, как в растворах ВМС, не происходит. Данное значение pH соответствует естественному значению pH воды. В воде не происходит влияния агрессивной среды (как в присутствии кислоты или щелочи) на клеточную структуру, при которой разрушаются внутренние связи в матрице полимера, и ухудшается процесс набухания [23].
Рис. 4. Зависимость степени набухания частиц плодов софоры японской при различных pH от времени.
Таблица 1. Характеристики процесса набухания плодов софоры японской при различных значениях pH
pH экстрагента | 5.7 | 3.56 | 7.94 |
aмакс | 0.24 | 0.24 | 0.17 |
Время набухания, мин | 90 | 90 | 90 |
Константа набухания (К) | 0.05 | 0.06 | 0.09 |
Размер частиц дисперсии софоры японской оказывает существенное влияние как на процесс набухания, так и экстракции флавоноидов. На рис. 5 представлена зависимость степени набухания от времени контакта частиц с дистиллированной водой для различных размеров частиц. Процесс набухания частиц софоры японской во всех случаях является ограниченным, так как степень набухания выходит на постоянное значение. Это происходит вследствие того, что полимер, из которого состоит растительная клетка, представляет собой пространственную сетку, которая препятствует отрыву макромолекул друг от друга и переходу их в раствор. Гемицеллюлозы и лигнин, входящие в состав оболочки клетки, имеют разветвленную и сшитую структуру, свободное пространство каркаса полимера может активно заполняться водой при контакте. Максимальная степень набухания соответствует пределу набухания клетки и является важной характеристикой для оценки процесса набухания. При набухании плодов софоры японской с размером частиц 0.05–0.1 см максимальная степень набухания наименьшая среди рассматриваемых случаев, но она достигается через 60 мин, как и в случае частиц с размером 0.1–0.2 см. Это происходит вследствие чрезмерного измельчения плодов софоры японской, из-за которого в экстракт выделяются балластные вещества (такие как слизи), которые могут увеличивать вязкость экстрагента, забивать поры клетки, что нарушает процесс экстракции целевых компонентов (флавоноидов). При размере частиц от 0.2 до 0.5 см происходило постоянное увеличение степени набухания за длительное время вследствие меньшего разрушения каркаса клетки и уменьшения площади контакта жидкости с частицами плодов софоры японской.
Рис. 5. Зависимость степени набухания софоры от времени контакта частиц с экстрагентом при различных размерах частиц.
На рис. 6 представлены результаты зависимости aмакс от размера частиц, а на рис. 7 – зависимость количественного содержания рутина в полученном экстракте от размера частиц. Таким образом определено, что для плодов софоры японской оптимальным размером частиц для проведения процесса экстракции является 0.1–0.2 см, так как при данном размере достигается aмакс за оптимальный срок, константа набухания также имеет среднее значение (табл. 2), а экстракция флавоноидов не затруднена выходом балластных веществ, что подтверждает максимальное их содержание в экстракте.
Рис. 6. Зависимость максимальной степени набухания плодов софоры японской от размера частиц.
Рис. 7. Зависимость содержания флавоноидов в экстракте от размера частиц плодов софоры японской.
Таблица 2. Характеристики процесса набухания плодов софоры японской с различным размером частиц
Размер частиц, см | 0.05–0.1 | 0.1–0.2 | 0.2–0.5 |
aмакс | 0.19 | 0.24 | 0.60 |
Время набухания, мин | 30 | 90 | 240 |
Константа набухания (К) | 0.11 | 0.05 | 0.01 |
Использование ультразвука способствует увеличению максимальной степени набухания, которая достигается за более короткое время (40 мин) (рис. 4, табл. 3). Это происходит из-за разрушения прочных связей каркаса клетки под воздействием ультразвука.
Таблица 3. Характеристики процесса набухания плодов софоры японской при воздействии температуры и ультразвука
Особенности набухания | При температуре 20°C | При температуре 60°C | При УЗ-воздействии |
aмакс | 0.24 | 0.39 | 0.33 |
Время набухания, мин | 90 | 90 | 40 |
Константа набухания (К) | 0.05 | 0.04 | 0.12 |
Увеличение температуры также способствует интенсификации процесса набухания измельченных плодов софоры японской. В данных условиях происходит увеличение максимальной степени набухания, при этом скорость набухания не изменяется. Максимальная степень набухания выше, по сравнению с набуханием при воздействии ультразвука и при комнатной температуре, однако достигается за более длительный период 120 мин (рис. 8, табл. 3). На данные изменения влияет разрушение прочных связей растительной клетки, а также уменьшение вязкости экстрагента, что способствует лучшей растекаемости и контакту растительной клетки с жидкостью, а также лучшему растворению веществ при температуре (рис. 9, табл. 3).
Рис. 8. Зависимость степени набухания частиц софоры японской при воздействии ультразвука и без.
Рис. 9. Зависимость степени набухания частиц плодов софоры от температуры.
Отмечено, что ПАВ оказывают влияние как на процесс набухания, так и на выход флавоноидов в процессе экстракции. При этом важны такие характеристики ПАВ, как ККМ и тип ПАВ. В ходе эксперимента определены значения ККМ для каждого вида исследуемых ПАВ, представленные в табл. 4.
Таблица 4. Характеристики ПАВ
Название ПАВ | лаурет-2 (лауриловый спирт 2 этоксилат) | натрий лаурил саркозинат | кокамидопропиленгликоль-димонийхлоридфосфат |
Тип ПАВ | неионогенное | анионное | амфотерное |
ККМ, моль/л | 0.004 | 0.0016 | 0.01 |
При концентрации ниже ККМ влияния на набухание сырья не было отмечено, так как в этом случае в растворе недостаточно молекул для выстраивания необходимого количества на границе раздела фаз для улучшения смачиваемости, а также в этом случае не происходит образование мицелл, что способствовало бы лучшей солюбилизации флавоноидов. При набухании частиц плодов софоры японской в растворе неионогенном ПАВ, лаурет-2 (концентрациях выше ККМ) максимальная степень набухания выше, чем при набухании в воде (рис. 10). Лучшее набухание также способствует лучшей десорбции веществ из клеток, а следовательно, и экстракции флавоноидов из плодов софоры японской (рис. 11). Амфотерное и анионное ПАВ не оказали существенного влияния на набухание исследуемого объекта (aмакс практически не изменилась, а время набухания снизилось до 60 мин (табл. 5)). Авторы предполагают, что данные различия связаны с наличием в лаурет-2 длинной гидрофобной части, а также более легкого разрушения связи между гидрофобным участком и гидрофильным (гидроксигруппой).
Рис. 10. Влияние на набухание частиц плодов софоры японской добавления поверхностно-активных веществ в экстрагент: 1 – вода, 2 – кокамидопропиленгликольдиамонийхлоридфосфат, 3 – натрий лаурил саркозинат, 4 – лаурет-2.
Рис. 11. Влияние на выход флавоноидов при экстракции из плодов софоры японской поверхностно-активных веществ: 1 — вода, 2 – кокамидопропиленгликольдиамонийхлоридфосфат, 3 – натрий лаурил саркозинат, 4 – лаурет-2.
Таблица 5. Характеристики процесса набухания плодов софоры японской в присутствии ПАВ
Тип ПАВ | вода | лаурет-2 (лауриловый спирт 2 этоксилат) | натрий лаурил саркозинат | кокамидопропиленгликоль-димонийхлоридфосфат |
aмакс | 0.24 | 0.41 | 0.19 | 0.22 |
Время набухания, мин | 90 | 90 | 60 | 60 |
Константа набухания (К) | 0.05 | 0.04 | 0.07 | 0.09 |
Выход флавоноидов в экстракт при экстракции натрий лаурет саркозинатом не изменился по сравнению с водой, но увеличился в 1.3 раза при экстракции кокамидопропиленгликольдимонийхлоридфосфатом и в 1.5 раза – при экстракции лаурет-2 (рис. 9). Авторы объясняют данные изменения лучшей солюбилизацией флавоноидов в присутствии ПАВ с более длинной гидрофобной частью.
В целях оценки влияния ионов на процесс набухания сначала осуществили подбор концентрации, при которой влияние будет наилучшим. Отмечено, что в 0.001М растворе хлорида натрия наблюдается лучшее набухание частиц софоры японской.
С учетом вышеописанного исследования, изучение влияния электролитов проводили при концентрации растворов 0.001М. На рис. 12 представлены зависимости степени набухания от времени для растворов хлорида натрия, иодида натрия и роданида натрия. Наибольшее влияние на набухание плодов софоры японской наблюдается в растворах иодида натрия. В этом случае aмакс наибольшая при максимальной скорости набухания. При использовании хлорида и роданида изменения aмакс и скорости набухания были не существенны (табл. 6).
Рис. 12. Зависимость степени набухания плодов софоры японской в растворе электролитов от времени.
Таблица 6. Характеристики процесса набухания в присутствии ионов
Экстрагент | вода | NaCl | NaI | NaCNS |
aмакс | 0.24 | 0.26 | 0.30 | 0.26 |
Время набухания, мин | 90 | 60 | 40 | 60 |
Константа набухания (К) | 0.05 | 0.08 | 0.11 | 0.08 |
Природа экстрагента оказывает существенное влияние на процесс набухания и экстракции в целом. В этиловом спирте 50% максимальная скорость набухания плодов софоры японской снижается в два раза по сравнению с набуханием в очищенной воде (рис. 13, табл. 7) вследствие уменьшения полярности среды. При использовании этилового спирта различной концентрации при экстракции методом перколяции и при нагревании получены различные зависимости. В обоих случаях выход при экстракции водой практически одинаковый. С увеличением концентрации спирта в экстрагенте при экстракции методом перколяции плавно уменьшается выход флавоноидов, а при использовании чистого спирта резко снижается. При нагревании выход плавно возрастает, а затем снижается, максимальный выход соответствует концентрации этилового спирта 50% (рис. 14).
Рис. 13. Зависимость степени набухания частиц софоры японской в воде и 50% этиловом спирте от времени.
Таблица 7. Характеристики процесса набухания плодов софоры японской в воде и спирте этиловом 50%
Экстрагент | вода | спирт этиловый 50% |
aмакс | 0.24 | 0.11 |
Время набухания, мин | 90 | 90 |
Константа набухания (К) | 0.05 | 0.05 |
Рис. 14. Содержание флавоноидов в экстракте, полученном методом перколяции (1) и при нагревании (2).
С одной стороны, этиловый спирт отнимает воду от клеток растений, вследствие чего они сжимаются, что затрудняет подход экстрагента внутрь клетки (данный эффект преобладает в процессе перколяции). С другой стороны, этиловый спирт обладает поверхностной активностью, что улучшает процесс растекания экстрагента по измельченным плодам софоры японской. Спирт этиловый также обладает большей полярностью и способностью лучше растворять многие БАВ. При температуре улучшается контакт растворителя с плодами за счет уменьшения вязкости спирта и ускорения процесса диффузии веществ в экстрагент, также происходит разрушение прочных связей клеточной оболочки, что уменьшает эффект сморщивания клеток.
ЗАКЛЮЧЕНИЕ
Изучение коллоидных свойств водных дисперсий софоры японской позволило определить оптимальные условия экстракции БАВ из софоры: время проведения экстракции 30 мин, в качестве экстрагента – спирт 50%, pH экстрагента около 5.7, размер частиц плодов софоры японской 0.1–0.2 см, экстракция при повышенной температуре или в присутствии ультразвука. Также показана возможность использовать лаурет-2 для увеличения выхода флавоноидов. Установлено, что максимальная степень набухания частиц софоры происходит в изоэлектрическом состоянии в отличие от многих высокомолекулярных веществ (желатина, агар-агара, альбумина и т. д.), которые в ИЭТ имеют минимальную степень набухания [25]. Это происходит вследствие разрушения структуры клеток софоры.
Размер частиц измельченных плодов софоры японской оказывает существенное влияние на набухание и, как следствие, на увеличение диффузии флавоноидов в экстрагент. Отмечено, что при большем измельчении плодов набухание увеличивается, однако при чрезмерном измельчении в экстрагент выходят большое количество балластных веществ, что затрудняет процесс экстракции – диффузия флавоноидов ухудшается. Оптимальный размер частиц для экстракции флавоноидов из плодов софоры японской соответствует 0.1–0.2 см.
При нагревании дисперсии софоры возрастает максимальная степень набухания и увеличивается скорость диффузии веществ, что способствует увеличению выхода флавоноидов в экстрагент.
Гликозидные формы флавоноидов лучше растворимы в спирте, чем в воде [26], но понижение степени набухания в спиртовых растворах приводит к уменьшению их экстракции из частиц софоры. Определено оптимальное содержание этилового спирта в экстрагенте – 50%.
ФИНАНСИРОВАНИЕ РАБОТЫ
Данная работа финансировалась за счет средств бюджета университета. Никаких дополнительных грантов на проведение или руководство данным конкретным исследованием получено не было.
СОБЛЮДЕНИЕ ЭТИЧЕСКИХ СТАНДАРТОВ
В данной работе отсутствуют исследования человека или животных.
КОНФЛИКТ ИНТЕРЕСОВ
Авторы заявляют, что у них нет конфликта интересов.
About the authors
П. А. Васильева
ФГБОУ ВО Санкт-Петербургский химико-фармацевтический университет
Author for correspondence.
Email: polina.vasileva@spcpu.ru
Russian Federation, 197376, Санкт-Петербург, ул. проф. Попова, д. 14
И. Б. Дмитриева
ФГБОУ ВО Санкт-Петербургский химико-фармацевтический университет
Email: polina.vasileva@spcpu.ru
Russian Federation, 197376, Санкт-Петербург, ул. проф. Попова, д. 14
References
- Liga S., Paul C., Péter F. Flavonoids: Overview of biosynthesis, biological activity, and current extraction techniques // Plants. 2023. V. 12. № 14. P. 2732. https://doi.org/10.3390/plants12142732
- Bazarnova Ju., Chernikova D., Sevastyanova A., Đurović S. Extraction of polyphenolic compounds from the Juglans regia L. pellicles of using ultrasound // Khimija Rastitel’nogo Syr’ja. 2023. № 1. P. 273–278. https://doi.org/10.14258/jcprm.20230111970
- Локарев А.В., Кузякова Л.М., Огай М.А., Глижова Т.Н., Ковтун Е.В., Нам Н.Л. Сравнительный анализ содержания флавоноидов в извлечении из комплексного лекарственного растительного сырья при различных методах экстракции // Современная наука и инновации. 2020. № 2. С. 158–165.
- Тверитинов А.И., Головин А.В., Скрыпник Л.Н. Определение оптимальных условий экстракции флавоноидов из листьев пижмы обыкновенной Tanacetum vulgare L. методом математического планирования многофакторного эксперимента // ХимБиоSeasons 2023: Сб. тезисов докладов Всероссийского форума молодых исследователей, Кемерово. 2023. С. 83.
- Аслонова И.Ж., Кароматов И.Д. Лечебные свойства растения софора японская // Биология и интегративная медицина. 2017. № 11. С. 179–190.
- Уютова Е.В., Шишканов Д.В., Курманова Е.Н. Оценка капилляропротекторных свойств софоры японской // Современные тенденции развития технологий здоровьесбережения: Сб. научных трудов Х Международной научно-практической конференции молодых ученых, Москва. 2022. С. 421–424. https://doi.org/10.52101/9785870191058_421
- Aly S.H., Elissawy A.M., Mahmoud A.M.A., El-Tokhy F.S., Mageed S.S.A., Almahli H., Al-Rashood S.T., Binjubair F.A., Hassab M.A.E., Eldehna W.M. et al. Synergistic effect of Sophora japonica and Glycyrrhiza glabra flavonoid-rich fractions on wound healing: In vivo and molecular docking studies // Molecules. 2023. V. 28. № 7. P. 2994. https://doi.org/10.3390/molecules28072994
- Choi M.-J., Kim K.-M., Cho E.-J., Jeong T.-B., Jung J.-Ch. A practical registration procedure of Korean health functional food ingredient: The registration of Sophora japonica L., fruit extract for excellent female menopausal efficacy // Food supplements and biomaterials for health. 2021. V. 1. № 1. P. 1–10. https://doi.org/10.52361/fsbh.2021.1.e1
- Васильева П.А., Нестерова Д.И., Чеботова П.А., Дмитриева И.Б. Изучение влияния физико-химических характеристик экстрагента на процесс извлечения флавоноидов из плодов софоры японской // Бутлеровские сообщения. 2022. Т. 71 № 8. С. 118–125. https://doi.org/10.37952/ROI-jbc-01/22-71-8-118
- Быков И.И., Компанцев Д.В., Привало И.М. Экстрагирование биологически активных веществ из Zingiber officinalе roscoe в технологии фитопрепаратов (обзор) // Вестник Смоленской государственной медицинской академии. 2017. Т. 16. № 2. С. 170–180.
- Адекенов С.М., Хабаров И.А., Искаков А. Оптимизация технологии экстракции корней Peganum harmala L. // Химия растительного сырья. 2020. № 3. С. 279–284. https://doi.org/10.14258/jcprm.2020037763
- Новикова А.Е., Скрыпник Л.Н. Оптимизация условий мицеллярно-ферментативной экстракции пектина из плодов боярышника (Crataegus monogyna Jacq.) // Техника и технология пищевых производств. 2021. Т. 51. № 4. С. 733–742. https://doi.org/10.21603/2074-9414-2021-4-733-742
- Макарова Н.В., Еремеева Н.Б. Сравнительное изучение влияния ультразвуковых воздействий на экстракцию антиоксидантных соединений ягод черники (Vaccinium myrtillus L.) // Химия растительного сырья. 2020. № 1. С. 167–177. https://doi.org/10.14258/jcprm.2020014425
- Liu X.-m., Liu Y., Shan C.-h., Yang X.-q., Zhang Q., Xu N., Xu L.-y., Song W. Effects of five extraction methods on total content, composition, and stability of flavonoids in jujube // Food Chemistry. 2022. V. 14. P. 100287. https://doi.org/10.1016/j.fochx.2022.100287
- Кастерова Е.А., Прокопьева Е.С., Мудрикова А.Е., Кравцова С.С. Сравнительное изучение содержания полифенольных соединений в растениях видов Cirsium esculentum, Cirsium serratuloides и Ancathia igniaria (Asteraceae) // Растительные ресурсы. 2022. Т. 58. № 3. С. 261–271. https://doi.org/10.31857/S0033994622030062
- Kazub V.T., Kosheleva M.K., Rudobashta S.P. Kinetics of grinding of vegetable raw materials during electric discharge extraction // ChemChemTech. 2021. V. 64. № 6. P. 76–82. https://doi.org/10.6060/ivkkt.20216406.6385
- Бойко Н.Н., Макаревич Н.А., Писарев Д.И., Жилякова Е.Т., Новиков О.О. Роль сорбционных явлений в распределении экстрактивных веществ между Glycyrrhizae radices и экстрагентом // Сорбционные и хроматографические процессы. 2018. Т. 18. № 4. C. 479–487. https://doi.org/10.17308/sorpchrom.2018.18/555
- Котлярова И.А., Степина И.В. Кинетика набухания древесины сосны, модифицированной аминборатами // Вестник Белгородского технологического университета им. В.Г. Шухова. 2018. № 3. С. 81–88.
- Меледина Т.В., Маньшин Д.В., Головинская О.В., Харба Р.А., Иванова В.А., Морозов А.А. Факторы, влияющие на поверхностный электрический заряд дрожжевых клеток Saccharomyces cerevisiae // Хранение и переработка сельхозсырья. 2020. № 2. С. 73–84. https://doi.org/10.36107/spfp.2020.246
- Чухно А.С., Дмитриева И.Б., Силаева Д.С., Сенина А.С., Кошевенко А.С., Назипова А.Р. Сорбция ионов Н+ и ОН- на хлорофилле, влияние рН на устойчивость водных дисперсий хлорофилла // Бутлеровские сообщения. 2013. Т. 34. № 5. С. 124–130.
- Ab Rahman Z., Zaidan M.W.A.M., Othman A.N. et al. Optimizing extraction of phenolics and flavonoids from Solanum ferox fruit // Natural Science. 2019. V. 11. № 4. P. 99–105. https://doi.org/10.4236/ns.2019.114011
- Апаева А.В., Ямансарова Э.Т., Куковинец О.С. Исследование экстракции флавоноидов из плодовых оболочек гречихи в различных условиях // Вестник Башкирского университета. 2015. С. 1223–1225.
- Феськова Е.В., Леонтьев В.Н., Игнатовец О.С., Адамцевич Н.Ю., Бесараб А.Ю. Условия экстракции и идентификации флавоноидов, стимулирующих регенерацию тканей // Труды БГТУ. 2019 C. 49–53.
- Алексеева Т.В., Полянский К.К., Климова Е.А., Калгина Ю.О. Влияние кислотности среды на характер равновесного набухания биополимеров пищевой композиции в воде и технологических средах // Вестник Воронежского государственного университета. Серия: Химия. Биология. Фармация. 2020. № 2. С. 5–15.
- Ji F., Zhou W., Zhang Z., Zhang B. Effects of relative molecular weight distribution and isoelectric point on the swelling behavior of gelatin films // Front. Chem. 2022. V. 10. P. 857976. https://doi.org/10.3389/fchem.2022.857976
- Miao L., Zhang H., Yang L., Chen L., Xie Y., Xiao J. Chapter 4.8 – Flavonoids // Antioxidants Effects in Health. 2022. P. 353–374. https://doi.org/10.1016/B978-0-12-819096-8.00048-3
Supplementary files
















