MOLECULAR SIMULATION OF WATER STRUCTURE IN NARROW SLITLIKE PORES
- Authors: FOMIN Y.D.1, TSIOK E.N.1, BOBKOV S.A.2, RYZHOV V.N.1
-
Affiliations:
- Vereshchagin Institute of High Pressure Physics, Russian Academy of Sciences, Troitsk, Moscow, Russia
- National Research Centre “Kurchatov Institute,” Federal Center for Collective Use of Scientific Equipment “Complex for Simulation and Data Processing of Mega-Class Research Installations,” Moscow, Russia
- Issue: Vol 85, No 4 (2023)
- Pages: 526-548
- Section: Articles
- Submitted: 16.10.2023
- Published: 01.07.2023
- URL: https://journals.rcsi.science/0023-2912/article/view/137253
- DOI: https://doi.org/10.31857/S0023291223600360
- EDN: https://elibrary.ru/WRPHCO
- ID: 137253
Cite item
Full Text
Abstract
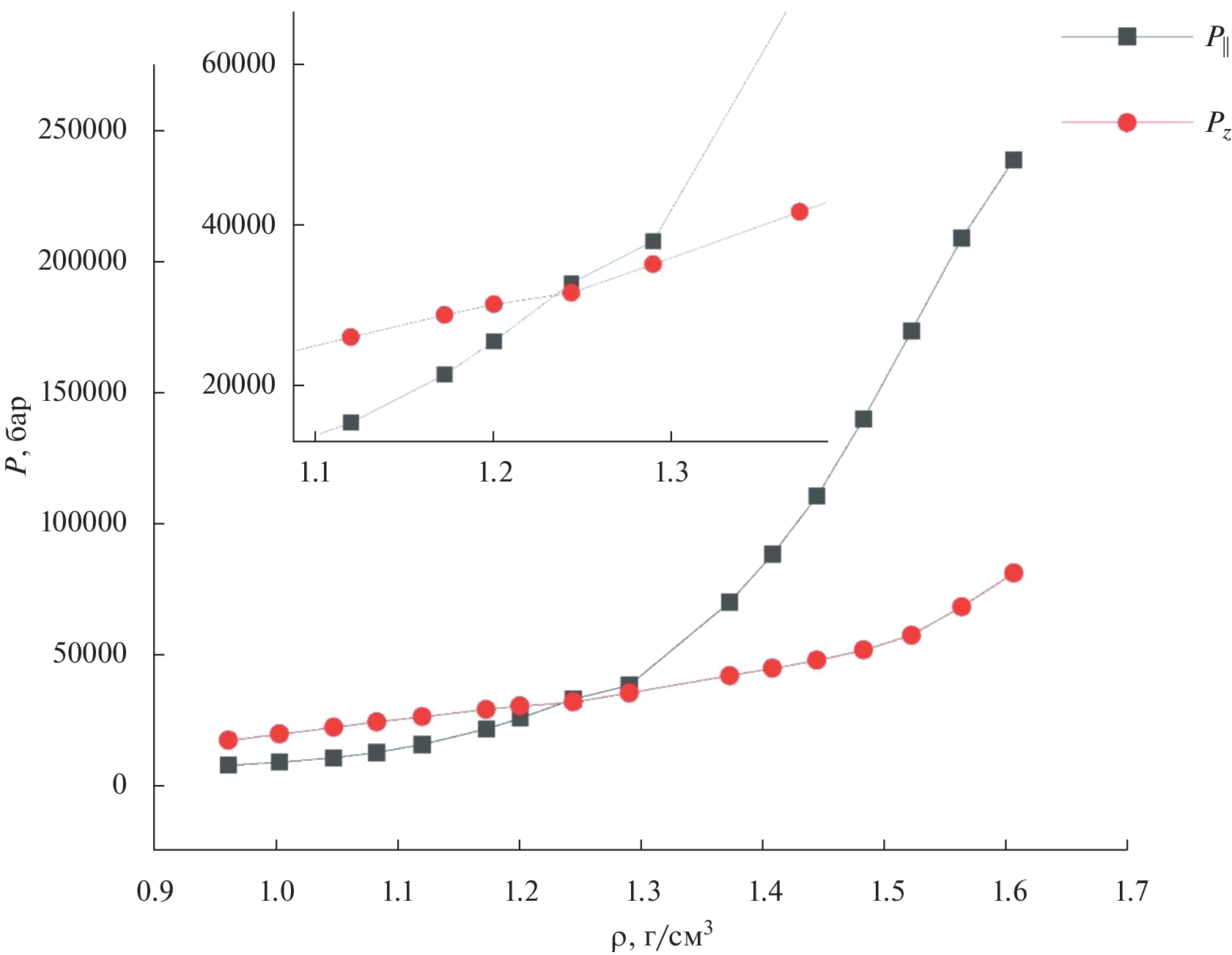
The structure of water in narrow slitlike pores has been studied by the methods of molecular dynamics simulation. Pores with interwall distances of 6.2–15.5 Å have been considered. Water structures resulting from spontaneous crystallization upon cooling to T = 300 K have been clarified on the basis of twoand three-dimensional order parameters. It has been shown that the observed structures can be described as sections of FCC or HCP crystals.
About the authors
YU. D. FOMIN
Vereshchagin Institute of High Pressure Physics, Russian Academy of Sciences, Troitsk, Moscow, Russia
Email: fomin314@mail.ru
Россия, 108840, Москва, Троицк,
Калужское шоссе, стр. 14
E. N. TSIOK
Vereshchagin Institute of High Pressure Physics, Russian Academy of Sciences, Troitsk, Moscow, Russia
Email: fomin314@mail.ru
Россия, 108840, Москва, Троицк,
Калужское шоссе, стр. 14
S. A. BOBKOV
National Research Centre “Kurchatov Institute,” Federal Center for Collective Use of Scientific Equipment “Complex for Simulation and Data Processing of Mega-Class Research Installations,” Moscow, Russia
Email: fomin314@mail.ru
Россия, 123182, Москва, площадь Академика Курчатова, дом 1
V. N. RYZHOV
Vereshchagin Institute of High Pressure Physics, Russian Academy of Sciences, Troitsk, Moscow, Russia
Author for correspondence.
Email: fomin314@mail.ru
Россия, 108840, Москва, Троицк,
Калужское шоссе, стр. 14
References
- Mansoori G.A., Rice S.A. Advanced in Chemical Physics. Confined Fluids: Structure, Properties and Phase Behavior. New York, 2015. https://doi.org/10.1002/9781118949702.ch5
- Vishnyakov A., Neimark A.V. Specifics of freezing of Lennard-Jones fluid confined to molecularly thin layers // J. Chem. Phys. 2003. V. 118. № 16. P. 7585. https://doi.org/10.1063/1.1560938
- Takaiwa D., Hatano I., Koga K., Tanaka H. Phase diagram of water in carbon nanotubes // PNAS. 2008. V. 105. № 1. P. 39–43. https://doi.org/10.1073/pnas.0707917105
- Pugliese P., Conde M.M., Rovere M., Gallo. P. Freezing temperatures, ice nanotubes structures, and proton ordering of TIP4P/ICE water inside a single wall carbon nanotubes // J. Phys. Chem. B. 2017. V. 121. № 45. P. 10371–10381. https://doi.org/10.1021/acs.jpcb.7b06306
- Fomin Yu. D. Molecular dynamics simulation of benzene in graphite and amorphous carbon slit pore // J. Comput. Chem. 2013. V. 34. № 30. P. 2615–2624. https://doi.org/10.1002/jcc.23429
- Fomin Yu.D., Tsiok E.N., Ryzhov V.N. The behavior of benzene confined in a single wall carbon nanotube // J. Comput. Chem. 2015. V. 36. № 12. P. 901–906. https://doi.org/10.1002/jcc.23872
- Fomin Yu.D., Tsiok E.N., Ryzhov V.N. The behavior of cyclohexane confined in slit carbon nanopore // J. Chem. Phys. 2015. V. 143. P. 184702. https://doi.org/10.1063/1.4935197
- Логунов М.А., Калиничев А.Г., Писарев В.В. Структура углеводородной жидкости и течения Куэтта в щелевых порах со стенками из пирофиллита // Высокомолекулярные соединения. Серия А. 2022. Т. 64. С. 470–480. https://doi.org/10.31857/S2308112022700262
- Pisarev V.V., Kalinichev A.G. Couette flow of pentane in clay nanopores: Molecular dynamics simulation // Journal of Molecular Liquids. 2022. V. 366. P. 120290. https://doi.org/10.1016/j.molliq.2022.120290
- Shchukin I.A., Fomin Yu.D. Crystal structure of a system with three-body interactions in strong confinement // Results in Physics. 2022. V. 34. P. 105239. https://doi.org/10.1016/j.rinp.2022.105239
- Stillinger F.H., Weber Th.A. Computer simulation of local order in condensed phases of silicon // Phys. Rev. B. 1985. V. 31. № 8. P. 5262. https://doi.org/10.1103/PhysRevB.31.5262
- Pansu B., Pieranski P., Strzelecki L. Thin colloidal crystals: a series of structural transitions // Journal de Physique. 1983. V. 44. № 4. P. 531–536. https://doi.org/10.1051/jphys:01983004404053100
- Murray Ch.A., Grier D.G. Video microscopy of monodisperse colloidal systems // Annual Review of Physical Chemistry. 1996. V. 47. P. 421–462. https://doi.org/10.1146/annurev.physchem.47.1.421
- Pansu. B., Pieranski Pi., Pieransli Pa. Structures of thin layers of hard spheres: High pressure limit // Journal de Physique. 1984. V. 45. № 2. P. 331–339. https://doi.org/10.1051/jphys:01984004502033100
- Fomin Yu.D. Between two and three dimensions: Crystal structures in a slit pore // J. Colloid and Interface Science. 2020. V. 580. P. 135–145. https://doi.org/10.1016/j.jcis.2020.06.046
- Iakovlev E., Zhilyaev P., Akhatov. I. Atomistic study of the solid state inside graphene nanobubbles // Scientific Reports. 2017. V. 7. P. 17906.
- Zamborlini G., Imam M., Patera L.L. et al. Nanobubbles at GPa pressure under graphene // Nano Letters. 2015. V. 15. № 9. P. 6162– 6169. https://doi.org/10.1021/acs.nanolett.5b02475
- Fomin Yu.D., Gribova N.V., Ryzhov V.N., Stishov S.M., Frenkel D. Quasibinary amorphous phase in a three-dimensional system of particles with repulsive-shoulder interactions // J. Chem. Phys. 2008. V. 129. № 6. P. 064512. https://doi.org/10.1063/1.2965880
- Gribova N.V., Fomin Yu.D., Frenkel D., Ryzhov V.N. Waterlike thermodynamic anomalies in a repulsive-shoulder potential system // Phys. Rev. E. 2009. V. 79. P. 051202. https://doi.org/10.1103/PhysRevE.79.051202
- Fomin Yu.D., Tsiok E.N., Ryzhov V.N. Complex phase behavior of the system of particles with repulsive shoulder and attractive well // J. Chem. Phys. 2011. V. 134. № 4. P. 044523. https://doi.org/10.1063/1.3530790
- Dudalov D.E., Fomin Yu.D., Tsiok E.N., Ryzhov V.N. Melting scenario of the two-dimensional core-softened system: first-order or continuous transition? // Journal of Physics: Conference Series. 2014. V. 510. P. 012016. https://doi.org/10.1088/1742-6596/510/1/012016
- Dudalov D.E., Fomin Yu.D., Tsiok E.N., Ryzhov V.N. Effect of a potential softness on the solid−liquid transition in a two-dimensional core-softened potential system // J. Chem. Phys. 2014. V. 141. № 18C522. https://doi.org/10.1063/1.4896825
- Kryuchkov N.P., Yurchenko S.O., Fomin Yu.D., Tsiok E.N., Ryzhov V.N. Complex crystalline structures in a two-dimensional core-softened system // Soft Matter. 2018. V. 14. № 11. P. 2152–2162. https://doi.org/10.1039/C7SM02429K
- Dudalov D.E., Fomin Yu.D., Tsiok E.N., Ryzhov V.N. How dimensionality changes the anomalous behavior and melting scenario of a core-softened potential system? // Soft Matter. 2014. V. 10. № 27. P. 4966. https://doi.org/10.1039/C4SM00124A
- Tsiok E.N., Fomin Yu.D., Ryzhov V.N. The effect of confinement on the solid–liquid transition in a core-softened potential system // Physica A. 2020. V. 550. P. 124521. https://doi.org/10.1016/j.physa.2020.124521
- Fomin Yu.D., Teslyuk A.B. The structure of a core-softened system in a narrow-slit pore // Physics and Chemistry of Liquids. 2022. V. 60. № 6. P. 809–826. https://doi.org/10.1080/00319104.2022.2053973
- Фомин Ю.Д., Циок Е.Н., Рыжов В.Н. Структура системы сглаженных коллапсирующих сфер в сильном конфайнменте // Коллоидный журнал. 2022. Т. 84. № 6. С. 809–826.
- Yeh In-Ch., Berkowitz M.L. Ewald summation for systems with slab geometry // J. Chem. Phys. 1999. V. 111. № 7. P. 3155–3162. https://doi.org/10.1063/1.479595
- Algara-Siller G., Lehtinen O., Wang F.C., Nair R.R., Kaiser U., Wu H.A., Geim A.K., Grigorieva I.V. Square ice in graphene nanocapillaries // Nature. 2015. V. 519. P. 443–445. https://doi.org/10.1038/nature14295
- Kumar P., Buldyrev S.V., Starr F.W., Giovambattista N., Stanley H.Eu. Thermodynamics, structure, and dynamics of water confined between hydrophobic plates // Phys. Rev. E. 2005. V. 72. № 5. P. 051503. https://doi.org/10.1103/PhysRevE.72.051503
- Han S., Choi M.Y., Kumar P., Stanley H.Eu. Phase transitions in confined water nanofilms // Nature Physics. 2010. V. 6. P. 685–689. https://doi.org/10.1038/nphys1708
- Zubeltzu J., Artacho E. Simulation of water nano-confined between corrugated planes // J. Chem. Phys. 2017. V. 147. № 19. P. 194509. https://doi.org/10.1063/1.5011468
- Mahoney M.W., Jorgensen W.L. A five-site model for liquid water and the reproduction of the density anomaly by rigid, nonpolarizable potential functions // J. Chem. Phys. 2000. V. 112. № 20. P. 8910–8922. https://doi.org/10.1063/1.481505
- Abascal J.L.F., Vega C. A general purpose model for the condensed phases of water: TIP4P/2005 // J. Chem. Phys. 2005. V. 123. № 23. P. 234505. https://doi.org/10.1063/1.2121687
- Sanz E., Vega C., Abascal J.L.F., MacDowell L.G. Phase Diagram of Water from Computer Simulation // Phys. Rev. Lett. 2004. V. 92. № 25. P. 255701. https://doi.org/10.1103/PhysRevLett.92.255701
- Vega C., Abascal J.L.F., Sanz E., MacDowell L.G., McBride C. Can simple models describe the phase diagram of water? // Journal of Physics: Condensed Matter. 2005. V. 17. № 45. P. S3283–S3288. https://doi.org/10.1088/0953-8984/17/45/013
- Steinhardt P.J., Nelson D.R., Ronchetti M. Bond-orientational order in liquids and glasses // Phys. Rev. B. 1983. V. 28. № 2. P. 784. https://doi.org/10.1103/PhysRevB.28.784
- Halperin B.I., Nelson D.R. Theory of two-dimensional melting // Phys. Rev. Lett. 1978. V. 41. № 2. P. 121. https://doi.org/10.1103/PhysRevLett.41.121
- Nelson D.R., Halperin B.I. Dislocation-mediated melting in two dimensions // Phys. Rev. B. 1979. V. 19. № 5. P. 2457. https://doi.org/10.1103/PhysRevB.19.2457
- Thompson A.P., Aktulga H.M., Berger R. et al. LAMMPS − a flexible simulation tool for particle-based materials modeling at the atomic, meso, and continuum scales // Computer Physics Communications. 2022. V. 271. P. 108171. https://doi.org/10.1016/j.cpc.2021.108171
- Chou T., Nelson D.R. Buckling instability of a confined colloid crystal // Phys. Rev. E. 1993. V. 48. № 6. P. 4611. https://doi.org/10.1103/PhysRevE.48.4611
- Hirata M., Yagasaki T., Matsumoto M., Tanaka H. Phase diagram of TIP4P/2005 water at high pressure // Langmuir. 2017. V. 33 № 42. P. 11561–11569. https://doi.org/10.1021/acs.langmuir.7b01764
Supplementary files
























