Role of molecular nitrogen in the radiolysis of the primary coolant of a water-water energy reactor
- Authors: Grachev V.A.1, Bystrova O.S.1, Sazonov A.B.1
-
Affiliations:
- Kurchatov Institute
- Issue: Vol 58, No 4 (2024)
- Pages: 284-295
- Section: RADIATION CHEMISTRY
- URL: https://journals.rcsi.science/0023-1193/article/view/274631
- DOI: https://doi.org/10.31857/S0023119324040078
- EDN: https://elibrary.ru/TQBOKF
- ID: 274631
Cite item
Full Text
Abstract
The results of modeling of radiation-chemical transformations in the coolant of the VVER primary circuit are presented. It is shown that under conditions of intensive irradiation molecular nitrogen dissolved in the coolant exhibits chemical activity. The reaction of N2 molecule with excited hydroxyl initiates the formation of ammonia and nitrous acid. Further decomposition of ammonia yields only oxidized forms of nitrogen, with N2 acting as an intermediate product. Maintenance of hydrogen and oxygen concentrations within the norms at ammonia water-chemical regime (WCR) appears to be possible only at constant dosing of NH3 and degassing of the coolant. On the contrary, in the case of WCR with dosing (at the initial moment) of H2 in the absence of perturbations the steady-state regime is quickly established, satisfying the requirements of the WCR norms for VVER. The difference between the two WCRs is due to the presence of nitrogen in the NH3 molecule and its transformations as an element, regardless of the initial chemical form.
Full Text
Математическое моделирование радиолиза теплоносителя первого контура ВВЭР необходимо для правильного выбора и обоснования параметров водно-химического режима (ВХР), а также для анализа ситуаций, связанных с его нарушениями. Радиолиз в активной зоне (АЗ) ВВЭР – это совокупность огромного множества химических реакций, что обусловлено, помимо прочего, довольно сложным химическим составом самого теплоносителя. Как показывает практика, для корректного описания протекающих превращений следует учитывать присутствие в воде не только растворенных в ней борной кислоты и корректирующих реагентов, но и некоторых примесей. К числу последних относится, в частности, растворенный азот, концентрация которого определяет скорость и глубину разложения аммиака, добавляемого для подавления образования окислительных продуктов радиолиза воды.
Как показывают исследования, разложение аммиака в теплоносителе ядерного реактора обратимо [1]. Обратный процесс восстановления N2 до NH3 – радиационно-индуцированная фиксация растворенного в воде молекулярного азота, детальный механизм которой до настоящего времени остается предметом дискуссий. Так, в работе [2] была выдвинута гипотеза о том, что разрыв связи N≡N происходит при встрече молекулы азота с гидроксильным радикалом в возбужденном состоянии (ОН*):
N2 + ОН* → NH + NO. (1)
В свою очередь в работе [3] предлагается рассматривать диссоциацию N2 как результат прямого действия ионизирующего излучения на молекулы азота:
N2 → N + N. (2)
Путем постулирования “эффективного” начального радиационно-химического выхода процесса (2), равного 45 молекулам/100 эВ, авторам [4] удалось добиться приемлемого согласия расчетных и экспериментальных результатов.
В работе [5] ее авторы, помимо реакции (2), рассматривают дополнительный канал фиксации азота с участием возбужденных молекул воды:
N2 + Н2О* → NH2 + NO . (3)
Следует отметить, что число работ, посвященных экспериментальному изучению образования аммиака из азота и водорода в водном растворе под действием излучения, исчисляется единицами [2–6]. В связи с этим прямых свидетельств в пользу того или другого механизма до сих пор получено не было. Тем не менее имеется ряд соображений, согласно которым процесс (1) следует рассматривать как наиболее вероятный.
Прежде всего укажем, что полученные в работе [4] значения выхода связывания азота, даже с учетом обратных реакций, составили несколько десятков молекул на 100 эВ поглощенной энергии, что абсолютно не характерно для первичных выходов разложения, обусловленного прямым действием излучения. Неубедительным выглядит и назначение обратной реакции 2NH → N2 + H2 с энергией активации 20 ккал/моль, призванной объяснить резкое падение наблюдаемого выхода образования аммиака с ростом температуры: для реакций диспропорционирования двух радикалов характерны, как правило, низкие энергетические барьеры.
Что касается участия возбужденных молекул воды, то, как показывают последние исследования [7], среднее время жизни самого нижнего из них (11B1 с энергией возбуждения около 8.3 эВ) не превышает нескольких фс. За это время большинство таких молекул Н2О* в жидкости успевает претерпеть превращения, выражаемые схемой
Н2О* + Н2О → OH + H + Н2О →
→ OH + Н3О → OH + H3O+ + e–aq , (4)
где Н3О – т.н. ридбергов радикал, слабо связанная пара электрона и катиона. Таким образом, возбужденные молекулы воды “исчезают” еще до завершения негомогенной стадии радиолиза, вследствие чего их реакция с растворенным N2 может иметь место лишь внутри треков. Последнее, однако, совершенно не согласуется с экспериментально наблюдаемыми значениями выхода связанного азота.
Первое электронно-возбужденное состояние гидроксила А 2Σ+ имеет намного более длительное время жизни. Согласно как теоретическим, так и экспериментальным оценкам, время жизни флуоресценции его нижних колебательно-вращательных уровней, для которых предиссоциация не имеет места [8], составляет от 0.6 до 0.75 мкс [9, 10]. В жидкой воде, когда переход А 2Σ+→ X 2П будет дополнительно осуществляться по механизму внешней конверсии, снижение эффективности тушения флуоресценции и перенос энергии возбуждения на значительные расстояния может объясняться процессом образования и распада комплекса OH с молекулой воды:
НО* + Н2О → (H‒O ··· H‒O‒H)* →
→ (H‒O‒H ··· O‒H)* → Н2О + OH*. (5)
Образование гидроксильного радикала в состоянии А2Σ+ с энергией возбуждения чуть более 4 эВ наблюдалось в парах воды [11], в жидкой воде [12] и во льду [13] при облучении ультрафиолетовыми лучами дальнего диапазона (около 10 эВ), рентгеновскими лучами от синхротронного источника (0.6 кэВ) и ускоренными электронами (2 МэВ) соответственно. Во всех случаях главный максимум эмиссионного спектра OH, соответствующего переходу А 2Σ+→X 2П, лежит в диапазоне 310–330 нм, претерпевая лишь небольшие смещения при изменении как энергии излучения, так и агрегатного состояния воды. Отношение выходов А 2Σ+ и X 2П OH при диссоциации молекул H2O из состояния 11B1, получаемого при возбуждении ультрафиолетом 121.6 нм, оценивается как ~0.22 (для молекул D2O аналогичное отношение составляет около 0.5) [14].
На основании гипотезы об участии возбужденного гидроксила в процессе фиксации растворенного азота авторами [15] была разработана математическая модель радиолиза водных растворов аммиака. Проведена верификация этой модели по опубликованным в литературе экспериментальным данным, в том числе полученным в петлевом эксперименте. Результаты тестовых расчетов продемонстрировали адекватность модели: стандартное отклонение расчетных концентраций от соответствующих экспериментальных значений составило в среднем 36%.
В настоящей работе представлены результаты моделирования радиационно-химических превращений в водных растворах в условиях, имитирующих теплоноситель первого контура ВВЭР. Целью работы стало определение стационарных концентраций продуктов радиолиза в отсутствие внешних возмущений. При этом особое внимание уделено концентрациям водорода и кислорода как нормируемым показателям качества ВХР ВВЭР. Данная работа является продолжением публикации [15], в которой изложен сформированный авторами научный задел для решения этой и других проблем, связанных с расчетным обоснованием норм ВХР для ВВЭР нового поколения.
МАТЕМАТИЧЕСКАЯ МОДЕЛЬ
Основные положения модели радиолиза теплоносителя первого контура ВВЭР подробно описаны в работе [15]. В отсутствие поступления и удаления компонентов теплоносителя из контура изменение их концентраций во времени представляется системой дифференциальных уравнений следующего вида:
(6)
где Сi – мольная концентрация i-ой частицы (молекулы, иона, радикала); t – время; P′ – мощность поглощенной дозы; ρ – плотность теплоносителя; Gi – радиационно-химический выход образования (разложения) i-ой частицы, усредненный по спектру ЛПЭ излучения; kij – константа скорости бимолекулярной реакции между i-ой и j-ой частицами; δi(m, n) – множитель, равный 1, если в ходе реакции между m-ой и n-ой частицами образуется i-я частица, и 0 во всех остальных случаях.
Система уравнений объединяет 28 частиц (включая OH*), перечень которых приведен в работе [15]. В настоящем варианте модели исключены реакции аниона борной кислоты в силу их пренебрежимо малого влияния на результаты расчетов. По той же причине исключены реакции образования и разложения N2O, реакция гидратированного электрона с ионом аммония и обратная ей.
Первое слагаемое в правой части (6) описывает прямое действие ионизирующего излучения на воду. Мощность поглощенной дозы в АЗ ВВЭР рассматривается как сумма мощностей доз от быстрых нейтронов, γ-излучения и α-частиц, образующихся в реакции 10B(n, α)7Li. Методы определения каждой из составляющих изложены в литературе [16–18]. Расчет значений P’(t) проводили на основании тепловой мощности реактора, с учетом содержания 10B в теплоносителе первого контура.
Радиационно-химические выходы первичных продуктов радиолиза жидкой воды определяли в общем случае путем усреднения по спектру ЛПЭ смешанного реакторного излучения. Зависимость выходов от температуры представляли в виде аппроксимации экспериментальных данных работ [19, 20] уравнением
, (7)
где gi – значения выходов при 0 °С, βi – коэффициенты, θ – температура в °С. В качестве базовых значений gi использовали экспериментальные результаты, суммированные в работе [21]. Параметры gi и βi приведены в табл. 1.
Таблица 1. Параметры уравнения (7) для расчета радиационно-химических выходов первичных продуктов радиолиза воды
Частица | eaq‒ | H | OH | H2 | H2O2 | HO2 | H2O |
gi, частиц/100 эВ | 0.941 | 0.362 | 1.141 | 1.095 | 0.89 | 0.19 | –3.301 |
βi·103, частиц/(100 эВ· оС) | 3.41 | 1.29 | 7.17 | 0.69 | –1.49 | 0.63 | 5.45 |
Указанный в таблице выход гидроксильного радикала есть сумма его выходов в состояниях X 2П и А 2Σ+. Принимается, что последний составляет ровно половину полного выхода GОН, что, с учетом поправки на конденсированное состояние воды и способа возбуждения ее молекул, разумно согласуется с результатами [14]. При выбранном значении константы скорости внешней конверсии в чистой воде 105 л · моль–1 · с–1 [15] время жизни состояния А 2Σ+ при 25°C составляет около 0.2 мкс, что все же как минимум в три раза меньше, чем время флуоресценции [9, 10]. Что касается взаимодействия OH* с другими молекулами в составе теплоносителя ВВЭР (кроме N2), то эти реакции не были включены в модель, так как, вступая в реакции с H2 или NH3, оба состояния гидроксила дают одни и те же продукты.
Второе и третье слагаемые описывают изменение концентраций частиц в результате их химических реакций друг с другом. В табл. 2 перечислены только те реакции, кинетические параметры которых были изменены, по сравнению с приведенными в работе [15]. В этой же таблице приведены три реакции, дополняющие механизм радиолиза. В отсутствие литературных данных кинетические параметры этих реакций выбирались таким образом, чтобы согласовать результаты тестовых расчетов с реальным опытом поддержания показателей качества теплоносителя реакторных установок с ВВЭР в рамках действующих норм ВХР. Причиной корректировки послужила попытка расширить массив экспериментальных данных для верификации модели, включив в него данные работ [2] и [4]. Результаты этой попытки будут обсуждаться в следующем разделе.
Таблица 2. Элементарные реакции, константы скорости при 25 оС (k25) и энергии активации (Ea) после корректировки модели
№ | Уравнение реакции | k25, л/(моль · с) | Ea, кДж/моль |
7* | NH2 + NO → N2 + H2O | 109 | 12.6 |
25* | NH4+ + HO2– → NH3 + H2O2 | 109 | 12.6 |
39* | NH + H2 → NH3 | 6×105 | 12.6 |
42* | H3BO3 + OH → H2BO3 + H2O | 5×104 | 12.6 |
43* | H3BO3 + NH2 → H2BO3 + NH3 | 2.0×105 | 12.6 |
44* | H2BO3 + H → H3BO3 | 108 | 12.6 |
46** | NH + NH → N2 + H2 | 108 | 12.6 |
47** | NH4+ + HNO2 → N2 + H2O + H3O+ | 3.5 [22] | 60.0 [23] |
48** | H3BO3 + H → H2BO3 + H2 | 105 | 12.6 |
* Согласно [15].
** Продолжение нумерации [15].
Численное решение жесткой системы нелинейных дифференциальных уравнений (6) в настоящей работе осуществляли методом формул дифференцирования назад.
ВЕРИФИКАЦИЯ МОДЕЛИ
Для верификации скорректированной модели использовали, в первую очередь, данные по облучению воды и водных растворов водорода, кислорода, аммиака и т.д., которые уже рассматривались в работе [15]. Как показало сравнение, среднее отклонение расчетных значений концентраций веществ от экспериментальных, увеличившись в одних случаях и уменьшившись в других, в среднем не изменилось, составив 33%.
В качестве примера на рис. 1 представлены результаты моделирования динамики разложения аммиака в “петлевых” экспериментах, описанных в работе [24]. Несмотря на видимое отличие новых результатов от полученных в работе [15], т.е. до корректировки модели, среднее значение стандартного отклонения σ снизилось с 36 до 27%. Таким образом, можно утверждать, что качество воспроизведения экспериментальных данных, взятых в работе [15] для верификации, в целом не ухудшилось после внесения изменений в модель.
Рис. 1. Разложение аммиака в теплоносителе исследовательского реактора. Точки – эксперимент [24], линии – расчет. 1, □ – 5.5 ммоль/л NH3 + 70 ммоль/л H3BO3 (30°C); 2, ▲ – 5.25 ммоль/л NH3 (30°C); 3, × – 5.3 ммоль/л NH3 + 168 ммоль/л H3BO3 (180°C).
На рис. 2 представлены значения выхода связанного азота (–GN2) в зависимости от температуры и концентраций N2 и H2 в облучаемом растворе для дозы 60 кГр при мощности дозы 40 кГр/с. Значения первичных выходов продуктов радиолиза воды брались для ЛПЭ, соответствующей быстрым нейтронам. Все перечисленные параметры были выбраны так, чтобы максимально близко воспроизвести условия эксперимента, описанного в работе [4].
Рис. 2. Выход связывания азота при облучении раствора H2 (мг/кг) / N2 (мг/кг): 1 – 3/20; 2 – 4/35; 3 – 5/50; 4 – 6/65; 5 – 8/95.
С ростом температуры расчетные значения –GN2 увеличиваются, а затем, проходя через максимум в районе 100–120°С, быстро уменьшаются. Появление максимума обусловлено тем, что при повышении температуры раствора наблюдается, с одной стороны, линейный рост выхода OH*, а с другой стороны, экспоненциальный рост скорости внешней конверсии возбужденного состояния.
Как показывает сравнение расчетных и экспериментальных результатов, значения выходов, приведенных в работе [4], почти на два порядка выше представленных на рис. 2. Причина этого – отнесение концентрации образовавшегося NH3 к энергии, поглощенной только растворенным азотом. После отнесения ее к полной энергии излучения выходы становятся на два порядка меньше расчетных. Скорее всего, авторами [4] не принято во внимание образование нитратов, наблюдавшееся другими авторами при облучении водных растворов N2 и H2 [6]. В этом случае, как будет показано далее, оценка выхода связанного азота, приведенная в работе [4], действительно сильно занижена.
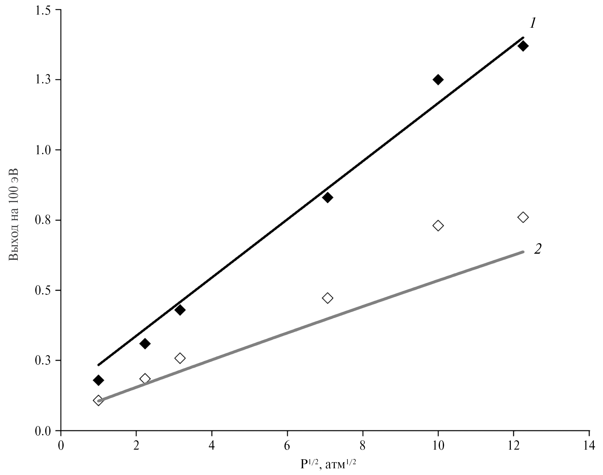
На рис. 3 представлены значения выхода связанного азота и выхода образования аммиака (GNH3) при 25оС в зависимости от давления N2 над раствором для условий экспериментов, описанных в работе [2]: быстрые электроны или γ-излучение, мощность дозы 2.5 Гр/с и доза до ~5 кГр. Как можно заметить, наблюдается хорошее совпадение расчетных и экспериментальных результатов для –GN2 и вполне удовлетворительное для GNH3. Выход нитратов (и нитритов), согласно как наблюдениям [2], так и расчетам, составляет около половины общего выхода связанного азота. Последнее, однако, справедливо лишь для невысоких степеней превращения N2: примерно до 30%. Если же степень превращения существенно выше, что соответствует дозам порядка 100 кГр, то в этом случае основными продуктами радиолиза становятся кислородные соединения азота – нитраты и нитриты [25]. В этих условиях величина GNH3 составляет еще меньшую долю от –GN2.
Рис. 3. Выходы связанного азота и образования аммиака (атом N/100 эВ) при 25оС в зависимости от давления P азота над раствором. Точки – эксперимент [2], сплошные линии – расчет. ♦, 1 – N2; ◊, 2 – NH3.
Таким образом, результаты работ [2] и [4] фактически противоречат друг другу. В этом случае экспериментальную базу для верификации модели следует дополнить данными работы [2], отдавая им предпочтение как качественно согласующимся с результатами других наблюдений.
МОДЕЛИРОВАНИЕ РАДИОЛИЗА ТЕПЛОНОСИТЕЛЯ ВВЭР
Реализованный в практике эксплуатации ВВЭР ВХР теплоносителя первого контура носит название “аммиачного” . Для подавления образования окислительных продуктов радиолиза с целью снижения коррозии конструкционных материалов в первый контур ВВЭР-1000/1200 периодически или непрерывно подается раствор NH3. В то же время на строящихся энергоблоках с ВВЭР-ТОИ планируется реализовать т.н. “водородный” ВХР, когда, как на всех зарубежных реакторах PWR, вместо аммиака в первый контур подается непосредственно водород (Н2). С другой стороны, появление молекулярного азота в первом контуре ВВЭР-ТОИ также возможно вследствие растворения N2 в компенсаторе давления, при частичной аэрации потоков дистиллята подпитки и реагентов, а также при разложении избытка гидразина, добавляемого для связывания растворенного O2. Таким образом, для обоих типов ВХР ожидается присутствие в теплоносителе восстановительных компонентов (H2 и NH3), а также N2. Целью расчетов стало исследование поведения молекулярного азота при радиолизе и его влияния на содержание окислительных продуктов радиолиза воды (O2, H2O2 и т.п.) при поддержании в контуре ВХР того или другого типа.
При проведении расчетов значение энергии излучения АЗ относили ко всему объему теплоносителя первого контура. Адекватность такой “точечной” модели обусловлена быстрой циркуляцией теплоносителя через АЗ, объем которой составляет около 4% полного объема контура. Средняя мощность поглощенной теплоносителем дозы составила при этом 190 Гр/с. Первичные выходы продуктов радиолиза воды, указанные в табл. 1, пересчитывались на среднюю температуру теплоносителя θ = 300оС. Принималось, что на протяжении всего рассматриваемого времени высокотемпературный водородный показатель теплоносителя остается постоянным и равным 7.0, а концентрация борной кислоты равна 4 г/кг.
Из практики эксплуатации реакторов с кипящей водой хорошо известно, что без добавления в теплоноситель восстановителя (водорода или аммиака) концентрации водорода и кислорода в нем растут до таких высоких значений, что необходимо непрерывное удаление растворенных газов. Как показывают проведенные расчеты, присутствие азота в воде принципиально не изменяет ситуации. В табл. 3 в строке, соответствующей т.н. ВХР “N” , приведены концентрации основных продуктов радиолиза. Можно видеть (рис. 4), что в данном случае концентрации водорода и кислорода уже через несколько минут облучения лежат далеко за пределами норм ВХР для ВВЭР (H2 не более 4.5 мг/кг и O2 не более 5 мкг/кг).
Таблица 3. Концентрация основных продуктов радиолиза воды и аммиака в теплоносителе ВВЭР
ВХР | NH3, мг/кг * | H2, мг/кг | N2, мг/кг | O2, мкг/кг | ΣO, мкг/кг ** | HNO2, мг/кг | |||
τ = 0 | τ = t | τ = 0 | τ = t | τ = 0 | τ = t | ||||
t = 10 мин | |||||||||
N | 0 | 1.48 | 0 | 8.35 | 14 | 10.2 | > 5 × 104 | > 6 × 104 | 5.97 |
H | 0 | 0 | 3 | 3.09 | 0 | 0 | 0.019 | 3.32 | 0 |
HN | 0 | 1.59 | 3 | 3.06 | 14 | 11.3 | 0.164 | 11.5 | 3.73 |
А | 17 | 4.85 | 0 | 2.33 | 0 | 9.64 | 0.086 | 5.54 | 1.02 |
АN | 17 | 9.07 | 0 | 1.60 | 14 | 20.2 | 0.162 | 5.86 | 0.78 |
t = 24 ч | |||||||||
HN | 0 | 0.39 | 3 | 3.92 | 14 | 9.05 | 0.300 | 28.7 | 13.7 |
А | 17 | 0.63 | 0 | 3.58 | 0 | 10.3 | 0.274 | 21.8 | 9.13 |
АN | 17 | 0.49 | 0 | 4.20 | 14 | 21.3 | 0.275 | 35.8 | 17.1 |
С | 11 | 4.37 | 3 | 4.40 | 14 | 18.7 | 0.093 | 7.02 | 1.70 |
t = 10 сут | |||||||||
HN | 0 | 0.06 | 3 | 5.41 | 14 | 2.52 | 0.291 | 48.2 | 36.3 |
А | 17 | 0.06 | 0 | 5.39 | 0 | 2.63 | 0.291 | 48.0 | 36.0 |
АN | 17 | 0.07 | 0 | 7.44 | 14 | 6.82 | 0.200 | 65.6 | 66.7 |
С | 11 | 0.12 | 3 | 7.87 | 14 | 8.80 | 0.225 | 54.4 | 42.7 |
* Включая NH4+.
** В пересчете на окислительный эквивалент O2.
Рис. 4. Концентрация продуктов радиолиза воды и аммиака в теплоносителе ВВЭР, ВХР “N” : 1 – N2; 2 – H2; 3 – NH3; 4 – HNO2; 5 – окислительные продукты; 6 – O2.
При добавлении к облучаемой воде водорода (ВХР “Н” в табл. 3) в ней быстро устанавливаются стационарные концентрации веществ, соответствующие режиму подавленного радиолиза, когда суммарная концентрация кислорода и других окислительных продуктов ΣO невелика. При этом в соответствии с результатами расчетов, при водородном ВХР в теплоносителе устанавливается действительно стационарное состояние, когда значения концентраций в дальнейшем могут измениться только под действием внешних возмущений. Если же теплоноситель, для которого планируется реализовать водородный ВХР, помимо водорода будет содержать азот, то описываемое стационарное состояние не будет достигнуто даже через 10 суток работы реактора (ВХР “НN” в табл. 3).
На рис. 5 и 6 представлены результаты, демонстрирующие установление квазистационарных концентраций веществ при аммиачном ВХР. Первый случай (рис. 5) соответствует превращениям, идущим в теплоносителе, содержавшем в начальный момент времени аммиак в количестве 17 мг/кг (ВХР “А” ). Во втором случае (рис. 6) рассматривается ситуация, когда тот же теплоноситель дополнительно содержит 14 мг/кг молекулярного азота (ВХР “АN” ). Как следует из вида кривых, приведенных на рис. 5, 6, квазистационарное состояние действительно достигается и поддерживается некоторое время. Однако, как следует из данных табл. 3, со временем происходят медленные изменения, в результате которых в теплоносителе накапливаются как HNO2 и H2, так и окислительные продукты радиолиза воды (в основном H2O2). Тем не менее можно ожидать, что аммиачный ВХР в течение некоторого времени действительно будет устойчивым к возмущению в виде попадания в теплоноситель N2.
Рис. 5. Концентрация продуктов радиолиза воды и аммиака в теплоносителе ВВЭР, ВХР “A” : 1 – N2; 2 – H2; 3 – NH3; 4 – HNO2; 5 – окислительные продукты; 6 – O2.
Рис. 6. Концентрация продуктов радиолиза воды и аммиака в теплоносителе ВВЭР, ВХР “AN” : 1 – N2; 2 – H2; 3 – NH3; 4 – HNO2; 5 – окислительные продукты; 6 – O2.
Сравнивая различные режимы, представленные в табл. 3, можно видеть, что попадание N2 в теплоноситель, содержавший аммиак, приводит к увеличению содержания кислорода и всех остальных окислителей, тогда как концентрация водорода на время уменьшается, становясь вначале меньше минимально допустимой (2.2 мг/кг), а впоследствии выше максимально допустимой. Похожим образом реагирует на добавку молекулярного азота и теплоноситель при установлении водородного ВХР (“HN” в табл. 3). Хотя концентрация H2 со временем не падает, а только увеличивается, но имеет место рост концентрации окислителей – существенно выше допустимых нормами ВХР.
Если рассматривать установление равновесия радиолиза с точки зрения материального баланса, можно ожидать, что стационарное состояние теплоносителя, соответствующее как содержанию в 1 кг 17 г NH3, так и смеси 3 г H2 и 14 г N2, будет одним и тем же. Однако, как показывает расчет, это имеет место лишь спустя очень долгое время – более 10 суток. Как в случае аммиака, так и в случае смеси азота с водородом, в течение этого времени происходит глубокое разложение NH3, а также накопление в растворе окислительных продуктов и HNO2.
В общем случае при содержании в теплоносителе аммиака, водорода и азота (табл. 3, ВХР “C” ) стационарное состояние устанавливается также в течение весьма длительного времени (рис. 7). При этом концентрации водорода и окислителей лежат за пределами области значений, допускаемых нормами ВХР. Расчеты, проведенные в рамках представленной здесь модели, показывают, что стационарные концентрации этих веществ удовлетворяют нормам лишь в случае водородного ВХР при невысоком содержании примесного азота – не более 1 мг/кг при концентрации H2 ~ 3 мг/кг. Реализация на практике аммиачного ВХР, т.е. поддержание стационарных концентраций основных компонентов (аммиака, водорода и др.) в пределах норм, возможна только за счет использования внешних средств. Роль последних играют дозирование в теплоноситель первого контура раствора NH3 и удаление из него малорастворимых газов на деаэраторе, а также нитритов на анионообменных фильтрах байпасной очистки: ионообменная очистка препятствует накоплению в теплоносителе HNO2 и образованию нитратов.
Рис. 7. Концентрация продуктов радиолиза воды и аммиака в теплоносителе ВВЭР, ВХР “C” : 1 – N2; 2 – H2; 3 – NH3; 4 – HNO2; 5 – окислительные продукты; 6 – O2.
Таким образом, превращения растворенного в воде молекулярного азота под действием ионизирующего излучения реактора можно описать как последовательность следующих (неэлементарных) реакций:
N2 + 2Н2О → NH3 + HNO2, (8)
NH3 + 2Н2О → 3H2 + HNO2, (9)
или в сумме
N2 + 4Н2О → 3H2 + 2HNO2. (10)
Параллельно с (8) и (9) происходит и радиолиз воды:
2Н2О → H2 + H2O2 → 2H2 + O2 . (11)
Многостадийный процесс (8) протекает достаточно медленно, благодаря чему аммиак играет роль долгоживущего промежуточного продукта (рис. 8). С другой стороны, при высоком начальном содержании аммиака в растворе в роли промежуточного продукта может выступать и сам молекулярный азот:
2NH3 → N2 + 3H2, (12)
диспропорционирующий далее в реакции с возбужденным гидроксилом. Оксид азота NO, образующийся в реакции (1) и быстро окисляющийся гидроксильными радикалами в основном состоянии до HNO2, является еще одним интермедиатом на пути окисления азота в нитрит, что хорошо видно на рис. 8.
Рис. 8. Концентрация продуктов радиолиза воды и аммиака в теплоносителе ВВЭР, ВХР “N” : 1 – N2; 2 – H2; 3 – NH3; 4 – HNO2; 5 – NO.
Отметим, что с ростом концентрации окислительных продуктов радиолиза воды степень окисления связанного азота будет повышаться до +5, что в условиях радиолиза водных растворов формально можно записать в виде реакции:
HNO2 + Н2О → H2 + HNO3. (13)
Однако, согласно [2], обратные радиационно-индуцированные реакции разложения нитрата и нитрита в растворе идут с заметной скоростью только при очень больших концентрациях. В связи с этим в настоящую модель, во избежание ее избыточного усложнения, не включали реакции превращения нитрита в нитрат и обратно.
ВЫВОДЫ
Проведенное в настоящей работе расчетно-теоретическое исследование показывает, что роль молекулярного азота в теплоносителе первого контура ВВЭР не может быть сведена к роли инертного вещества, не оказывающего никакого влияния на ВХР. Благодаря взаимодействию с возбужденным гидроксилом – продуктом радиолиза воды – молекула N2 претерпевает диспропорционирование, конечным результатом которого становится связывание азота в составе аммиака (аммония) и азотистой кислоты (нитрит-иона). При этом дальнейшее радиационно-индуцированное разложение аммиака в итоге дает только окисленные формы азота.
Благодаря описанным процессам аммиачный ВХР теплоносителя, реализуемый на реакторных установках с ВВЭР-1000/1200, не является абсолютно устойчивым с точки зрения установления постоянных концентраций продуктов радиолиза (водород, кислород) в пределах действующих норм ВХР. В отсутствие постоянного дозирования аммиака и отвода летучих продуктов радиолиза стационарное состояние теплоносителя первого контура не соответствует режиму подавленного радиолиза воды. В противоположность этому при водородном ВХР, реализованном на зарубежных PWR и запланированном для ВВЭР-ТОИ, удается достичь стационарного состояния в режиме подавленного радиолиза. Концентрации водорода и суммы окислительных продуктов радиолиза воды лежат в данном случае в требуемом диапазоне.
Отмеченная разница между двумя типами ВХР обусловлена не чем иным, как наличием азота в составе аммиака и его превращениями как химического элемента, вне зависимости от начальной химической формы. Как показывают проведенные расчеты, для поддержания в замкнутой системе стационарного состояния, отвечающего требованиям норм ВХР для ВВЭР, необходимо, чтобы содержание общего азота в теплоносителе не превышало 1 мг/кг. В противном случае, чтобы снизить текущие концентрации водорода и окислителей, необходимы операции по удалению растворенных газов на деаэраторе и по подпитке первого контура необходимым количеством чистого водорода. Очевидно, однако, что при проведении этих операций рассматриваемая система перестает быть замкнутой. Анализ стационарных состояний в таких системах и исследование их устойчивости представляется направлением дальнейших исследований, начало которым отчасти уже положено [26].
ИСТОЧНИК ФИНАНСИРОВАНИЯ
Работа выполнена за счет средств государственного задания НИЦ “Курчатовский институт” .
About the authors
V. A. Grachev
Kurchatov Institute
Author for correspondence.
Email: Grachev_VA@nrcki.ru
Russian Federation, Moscow
O. S. Bystrova
Kurchatov Institute
Email: Grachev_VA@nrcki.ru
Russian Federation, Moscow
A. B. Sazonov
Kurchatov Institute
Email: Grachev_VA@nrcki.ru
Russian Federation, Moscow
References
- Bulanov A.V., Kolesov B.I., Lukashenko M.L. et al. // Atomnaya Energiya. 2000. V. 88. No. 5. P. 353.
- Dmitriev M.T. // Journal of Applied Chemistry. 1963. V. 36. P. 1123.
- Shaede E.A., Edwards B.F.P., Walker D.C. // J. Geophys. Phys. Chem. 1970. V. 74. № 17. P. 3217.
- Kabakchi S.A., Arkhipov O.P., Verkhovskaya A.O., Lukashenko M.L. // VANT Physics of Nuclear Reactors. 2023. № 2. P. 105.
- Karasawa H., Ibe E., Uchida S., Etoh H., Yasuda T. // Radiat. Phys. Chem. 1991. V. 37. № 2. P. 193.
- Etoh Y., Karasawa H., Ibe E., et al. // Journal of Nuclear Science and Technology. 1987. V. 24. № 8. P. 672.
- Yamamoto Y., Suzuki T. // J. Phys. Phys. Chem. Lett. 2020. V. 11. P. 5510.
- German K.R. // J. Chem. Phys. 1975. V. 63. P. 5252.
- German K.R. // J. Chem. Phys. 1975. V. 62. P. 2584.
- Qin X., Zhang S.D. // Journal of the Korean Physical Society. 2014. V. 65. № 12. P. 2017.
- Zanganeh A.H., Fillion J.H., Ruiz J.et al. // J. Chem. Phys. 2000. V. 112. P. 5660.
- Hans A., Ozga C., Seide R. et al. // J. Phys. Phys. Chem., B. 2017, V. 121. № 10. P. 2326.
- Miyazaki T., Nagasaka S., Kamiya Y., Tanimura K. // J. Phys. Phys. Chem. 1993. V. 97. № 41. P. 10715.
- Mordaunt D.H., Ashfold M.N.R., Dixon R.N.. // J. Chem. Phys. 1994. V. 100. P. 7360.
- Grachev V.A., Sazonov A.B. // High Energy Chemistry. 2022. V. 56. № 2. P. 120.
- Egorov Yu.A. Fundamentals of Radiation Safety of Nuclear Power Plants. Moscow: Energoizdat, 1982. 272 p.
- Gordeev A.V., Ershov B.G. // Atomic Energy. 1992. V. 73. № 4. P. 322.
- Gordeev A.V., Ershov B.G. // Atomic Energy. 1992. V. 73. № 4. P. 325.
- Elliot. A.J., Chenier M.P., Ouellette D.C. // J. Chem. Chem. Soc., Faraday Trans. 1993. V. 89. № 8. P. 1193.
- Sunaryo G.R., Katsumura Y., Hiroishi D., Ishigure K. // Radiat. Phys. Chem. 1995. V. 45. № 1. P. 131.
- Kabakchi S.A. Mathematical modeling of radiation impact on water coolants of nuclear power plants. Moscow: Kurchatov Institute, 2018. 111 p.
- da Silva G., Dlugogorski B.Z., Kennedy E.M. // International Journal of Chemical Kinetics. 2007. V. 39. № 12. P. 645.
- da Silva G., Dlugogorski B.Z., Kennedy E.M. // Chem. Eng. Sci. 2006. V. 61. P. 3186.
- Habersbergerova A., Bartonicek B. // Nukleonika. 1981. V. 26. № 7–8. P.783.
- Dey G.R. // Radiat. Phys. Chem. 2011. V. 80. № 3. P. 394.
- Grachev V.A., Sazonov A.B., Bystrova O.S. // XXII International Conference of Young Specialists on Nuclear Power Plants. Collection of reports. Podolsk, JSC OKB GIDROPRESS, 2022. P. 128.
Supplementary files










